滇东老厂矿区煤层气储层地应力特征研究

邢亚楠1,2,3,张松航1,2,3,唐书恒1,2,3,郭莹莹1,2,3,喻天成1,2,3,朱卫平4

(1.中国地质大学(北京) 能源学院,北京 100083; 2.海相储层演化与油气富集机理教育部重点实验室,北京 100083;3.非常规天然气地质评价与开发工程北京市重点实验室,北京 100083;4.中国石油吐哈油田公司勘探开发研究院,新疆 哈密 839009)

摘 要:地应力特征是煤层气勘探开发,尤其是压裂设计的基础研究内容。为了探明滇东老厂矿区地应力分布特征,基于测井资料、岩石力学试验及水力压裂曲线,利用带附加构造应力项的Anderson模型,计算了滇东老厂矿区煤层气储层地应力特征参数,分析了地应力分布规律及对储层渗透率的影响。结果表明:滇东老厂矿区煤储层地应力整体为10~30 MPa,属中高应力区。最大水平主应力σH,最小水平主应力σh和垂直主应力σV随埋深增加而增加,并且垂向上应力场随埋深增加逐渐由水平主应力主导变为垂直主应力主导,800 m为应力转换点,800 m以浅以σH>σV>σh为主,表明有利于走滑断层应力场活动,煤层处于压缩状态;800 m以深以正断层应力场(σV>σH>σh)为主,垂直主应力σV为主控应力,煤层处于拉张应力状态。侧压系数整体上位于中国和Hoek-Brown内外包络线之内,且随埋深增加逐渐由大于1为主,减小到应力转换带深度下的普遍小于1。地应力通过埋深对渗透率起控制作用,煤层埋深在800 m内,孔隙在挤压应力作用下逐渐闭合,渗透率随埋深增加呈负指数减小,800 m以深垂直主应力为渗透率主控因素,储层处于拉张应力状态,且天然裂缝近乎垂直发育,天然裂缝在垂直主应力作用下开启,渗透率随埋深增加而增加,渗透率变化点与应力场变化点基本一致。

关键词:老厂矿区;煤层气;地应力;侧压系数;渗透率

0 引 言

滇东黔西地区是我国南方重要的煤层气开发区,其晚二叠世含煤地层总体上形成于潮坪-三角洲体系海陆过渡环境,多期数个沉积三角洲叠合聚煤造就了垂向上多煤层叠置现象[1],其煤层非均质性尤为突出,加之渗透率低,开发难度大,必须依靠水力压裂实现煤层气的有效开采[2]。地应力控制了水力压裂裂缝扩展模式和形态,影响着煤层气解吸吸附和运移、渗透率和储层压力的大小、煤储层裂缝分布[3],因此加强地应力研究才能为储层后期压裂增产改造提供保障,最终实现煤层气高效开发。对滇东地区地应力研究,目前多是通过水力压裂曲线法分析地应力分布特征,并探讨对储层渗透率的影响[4-5],然而水力压裂曲线要在压裂施工后才能获取,且施工层位有限,因此需要建立地应力预测模型,以期实现对煤层气勘探选区,乃至压裂施工的指导。

地应力的测量分为直接法和间接法,直接法包括水力压裂法、声发射法[6-7]、地质测绘法等,间接法包括套心应力解除法、应力恢复法、滞弹性应变恢复法等。直接法测量精度高,尤其是水力压裂法,被认为是测量地应力最直接准确的方法,但是实测地应力受限于工程及岩心数量,很难获取到连续的地应力数值,为了获取连续的地应力解释剖面,全面了解区块地应力场特征,基于水力压裂和测井资料联合反演地应力场的方法已成为开发设计的必须[8-10]。笔者结合室内三轴力学试验、水力压裂和测井资料,分析建立滇东老厂矿区地应力预测模型,为后期储层压裂改造和煤层气开发提供理论依据。

1 地质背景

滇东地区属黔西-滇东-川南晚二叠世上扬子聚煤沉积盆地的一部分[11],位于环太平洋构造域与特提斯构造域的交接复合带。早二叠世的东吴运动与康滇古陆裂谷带扩张那运动为聚煤创造了条件,后经印支运动的大面积抬升和喜马拉雅运动期大断裂、大褶皱的改造,形成高陡背斜和宽缓向斜的大褶皱区域[1],部分陡背斜轴部的上二叠统煤系地层被剥蚀,而高陡背斜之间的多数向斜和复向斜上二叠统煤系地层得以保存。整体上老厂矿区为一走向NE的不对称复式背斜,区内NNE、NE向断裂及背斜褶皱密集分布,且褶皱以背斜窄向斜宽的组合为主,同时穿插众多伴生及派生断裂构造,地质构造较为复杂[12-13] (图1)。矿区主要为晚二叠世含煤地层(上二叠龙潭组和长兴组),煤层埋深500~1 500 m,多在1 000 m以浅,含煤层数多、总厚度大,稳定煤层达26层、厚度达40.75 m。2、7—9、13、16—19号煤全区可采,其中7、9、13、19号煤层位稳定,厚度大,为煤及煤层气开发的主力层位。

图1 老厂矿区构造纲要图

Fig.1 Structure outline in Laochang Mining Area

2 采样和研究方法

计算水平地应力的模型有多种,以弹性力学理论为基础的黄氏模型未考虑岩性对地层应力的影响,基于广义虎克定律的组合弹簧模型忽略了岩层非线弹性的特性[14],这2种模型不适用于构造复杂的滇东黔西地区,由黄氏模型变形而来的葛式模型,热应力和剥蚀应力参数不易获取。结合研究区地层与现有资料,笔者选择带附加构造应力项的Anderson模型[15]计算滇东老厂矿区地应力:

(1)

(2)

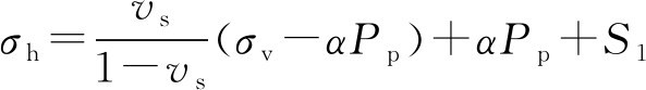
其中:σH为最小水平主应力,MPa;σh为最小水平主应力,MPa;Pp为储层压力,MPa;υs为静态泊松比;σv为垂直主应力,MPa;α为Biot弹性系数;S2为最小水平附加构造应力,MPa;S1为最大水平附加构造应力,MPa。

公式中,垂直主应力是地层深度和密度的函数,近似等于上覆岩层压力,可由经过垂向深度校正的密度测井值求积获取,即:

σv=ρ(h)gdh

(3)

式中:H为埋深,m;h为地层厚度,m;g为重力加速度,9.8 m/s2;ρ(h)为随地层深度变化的地层密度函数,g/cm3

岩石力学参数(静态泊松比、Biot弹性系数)和附加构造应力(包括最大最小水平附加构造应力)为待定值,分别通过岩石力学测试校正的声波时差测井反演和水力压裂反演获取。

声波时差具有垂向连续性,由此建立了基于岩石力学测试、压裂资料和测井资料的连续性地应力预测方法。岩石力学测试岩样共4块,分别采自老厂天井煤矿3、7+8号煤和白龙山2号煤。此外课题组搜集了研究区LC01、 LC02和LC03三口参数井的岩石力学参数资料、测井资料和压裂资料用于研究(图1)。

2.1 岩石力学参数

岩石力学参数主要有泊松比υ、弹性模量E、体积压缩系数Cma、Biot弹性系数α、抗张强度σt等,其中泊松比和弹性模量为独立参数,通过计算能够获取其他参数。岩石力学参数可以通过2种方法求取,一是通过测井资料计算的动态岩石力学参数,二是通过三轴岩石力学试验测得的静态岩石力学参数。由于钻井过程中可能发生的钻井液渗漏事件、岩石应力状态改变等破坏岩石原始环境状态的平衡[16],加之岩石中天然微裂隙和裂缝的存在导致动态岩石力学参数与静态岩石力学参数在数值上不等甚至会出现较大的差别。相对而言,岩层中应力的形成、赋存条件及作用机理更接近于静态岩石力学参数的测试条件,因此基于静态岩石力学参数计算地应力相对精确[17]。但是静态参数实测数据点少,在实际使用中需要进行动静转换。

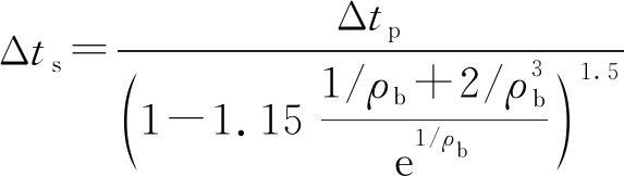
动态岩石力学参数一般基于声波测井的纵横波时差求取。对于不涉及横波测量的常规测井,可以通过补偿声波和密度测井资料,采用具有岩性均一适用性的纵横波转换公式(4),获得横波数据,并在此基础上求取岩石力学参数。

(4)

(5)

(6)

其中:Δtp、Δts分别为纵波、横波时差,μs/m;ρb为地层密度,g/cm3a为单位转换系数,ρbE为岩石弹性模量,GPa;Δtmp、Δtms分别为地层骨架纵波、横波时差,分别取168、332.98 μs/m。

2.2 水平附加构造应力

水平附加构造应力基于公式(1)和公式(2)的反向求取。针对开展储层压裂施工的层位,可根据压裂施工曲线求取水平地应力值,进而求取附加构造应力值。基于最大单轴拉应力破坏准则,水力压裂利用人工注入流体装置创造高压环境,改变储层岩石原应力状态,致使储集层形成人工诱导裂缝。当注入的流体量足以使裂缝扩展长度约为钻孔直径的3倍时停泵[18],使裂缝逐渐闭合;当裂缝处于临界闭合状态时,裂缝内的流体压力与垂直于裂缝平面的最小水平主应力相平衡,两者近似相等[19]。 因此,可以通过小型压裂停泵后的压力递减与时间平方根的关系曲线(斜率发生变化的点即闭合压力值)来确定闭合压力,即最小水平主应力。在水力压裂过程中,随着井内液体压力增大,井壁岩石破裂的最大切向应力逐渐转变为拉应力,并最终超过岩石极限抗拉承受点时,孔壁岩石发生拉伸破坏,裂缝开始起裂扩展,此时最大水平主应力由破裂压力、孔隙压力及岩石抗张强度确定,即

σH=3σh-Pf-Pp+σt

(7)

σh=Pc

(8)

其中:Pc为闭合压力,MPa;Pf为破裂压力,MPa。式中,PfPc可通过压裂施工曲线读取,Pp通过注入压降试井获取。需要注意的是压裂曲线上的压力代表的是地面泵站出口处的压力而不是岩壁致裂处承载的压力[20],二者之间相差液柱压力和压裂液在管柱内流动时产生的摩擦阻力。

煤储层压力指煤层孔隙中流体的压力(包括气压和水压),亦称地层压力或孔隙流体压力。通过对注入压降试井资料分析,老厂矿区煤储层压力3.71~11.27 MPa,平均7.95 MPa,研究区垂向上存在不同的含气系统具有储层压力波动的趋势,但整体上储层压力随埋深的增加而增加(图2)。

Pp=0.011 6H+0.101 9 (R2=0.740 1)

(9)

图2 储层压力与埋深的关系

Fig.2 Relationship between reservoir pressure and depth

3 结果和分析

3.1 地应力计算结果分析

通过三轴岩石力学试验对煤岩(样品TJ-1、TJ-2和BLS)及顶底板(样品TJ-3)进行了岩石力学参数的测定,测试结果部分展示见表1。抗拉强度在1.80~1.35 MPa,变化范围大,存在较低值,说明煤岩样品中存在微裂隙。

表1 煤岩力学参数测试结果

Table 1 Test results of mechanical parameters of coal and rock

样品编号层位围压/MPa抗压强度/MPa弹性模量/GPa泊松比抗拉强度/MPaTJ-13煤层555.604.420.341.74TJ-27煤层556.223.820.351.35BLS2煤层541.693.320.301.80TJ-37号煤层顶板593.2612.970.22—

笔者综合了LC07矿区顶底板岩石力学测定报告(表2),煤岩三轴岩石力学试验结果(表1)与测井资料获得的岩石力学参数,对弹性模量和泊松比进行动静态相关性分析并建立二者之间的转换联系(图3)。

表2 岩石力学参数

Table 2 Rock mechanics parameters

层位深度/m岩性弹性模量/GPa泊松比7+8号顶板542.58~548.18粉砂质泥岩21.60.267+8号底板553.96~55.60粉砂质泥岩19.20.3419号顶板611.21~614.12粉砂质泥岩28.50.3019号底板636.00~637.93泥质粉砂岩23.90.27

图3 动静态岩石力学参数转换

Fig.3 Conversion relation of dynamic and static rock mechanics parameters

将水力压裂资料确定的水平主应力,测井资料和力学试验得到的泊松比、Biot弹性系数,试井资料分析计算得到的煤储层压力代入到式(1)和式(2)中,求出相对应压裂段的最大最小水平方向上的附加构造应力值(表3),并以产生垂直裂缝时的周向最小应力3σh-σH-Pf-αPp≤-|σt|为约束条件,结合式(1)和式(2)获取可以代表整个井位的S1S2,由此可计算单井地应力(图4)。

3.2 地应力变化规律

由上述地应力模型计算得到老厂矿区7口煤层气井90组煤层地应力数据,统计发现煤储层埋深540~850 m,储层最大水平主应力为14.51~27.06 MPa ,平均20.54 MPa;最小水平主应力8.78~20.53 MPa,平均15.60 MPa;垂向主应力13.82~20.10 MPa,平均17.24 MPa。 根据应力等级评定标准[21] :0~10 MPa 为低应力区,10~18 MPa为中应力区,18~30 MPa为高应力区,30 MPa以上为超高应力区,老厂地区整体介于10~30 MPa,属于中~高应力区。对水平主应力和埋深进行拟合发现,水平主应力随埋深增加有增大的趋势(图5a,图5b),但数据离散性大,这可能与老厂地区各煤层力学性质的差异导致的地应力层域差异有关[22]。煤层埋深范围内,走滑断层应力场σH>σV>σh类型的有56组,占62.2%;正断层应力场σV>σH>σh类型有34组,占37.7%。整体上煤储层在800 m以浅处于走滑断层应力场中,煤储层受挤压,800 m以深垂直主应力开始占主导作用,煤储层位于正断层应力场中。由于煤层埋深在850 m内,缺乏深部范围内数据点,图5c中的趋势在确定深部应力状态时存在不明确性,但是结合滇东黔西其他学者[23]对该地区地应力状态的研究可以确定深度1 000 m内侧压系数仍小于1。

图4 LC01单井地应力解释柱状

Fig.4 In-situ stress interpretation histogram of LC01

图5 地应力与埋深关系

Fig.5 Relationships of in-situ stress with depth

表3 附加构造应力

Table 3 Value of additional tectonic stress

井名层位深度/mσH/MPaσh/MPaνσv/MPaαPp/MPaS2/MPaS1/MPaLC017+8685.3828.5718.540.3718.510.895.764.8314.869706.0030.7519.700.3719.060.906.355.5116.5513731.7530.0619.590.3519.760.826.155.8016.2719792.5027.1118.420.3721.400.895.862.5611.25LC028+1644.2515.4911.790.3717.390.895.69-1.162.5316698.2520.0914.450.3618.850.927.360.436.0718724.0012.3610.860.3519.550.887.46-3.21-1.72LC037+8617.0319.0513.390.3616.660.906.601.176.839634.9422.4915.170.3617.140.907.682.509.82LC047+8723.2517.6716.080.3219.530.928.492.664.2519834.5021.8419.690.3622.530.899.783.365.51LC057+8686.9516.6214.080.3718.550.908.070.282.8219812.3019.1316.500.3521.930.939.520.493.12LC067+8717.8521.8116.200.3619.380.938.431.897.5019839.1519.2717.500.3622.660.919.840.702.47

3.3 侧压系数变化规律

侧压系数k定义为水平主应力的平均值与垂直主应力的比值,用来描述某点地应力状态[24],即:

(10)

计算并统计侧压系数在0.75~1.18,平均0.94,煤层埋深小于800 m时,k值变化范围大,但埋深大于800 m时,k值变化范围减小(图6)。参照Hoek-Brown的双曲线拟合方法进行了拟合,拟合结果如下:

150/H+0.5≤k≤500/H+0.5

(11)

图6 侧压系数与埋深的关系

Fig.6 Relationship between lateral pressure coefficient and depth

整体上位于中国和Hoek-Brown内外包络线之内,但在数值上相差较大,原因是Hoek-Brown统计的地应力数据里包含了岩浆岩变质岩及沉积岩等3种岩性,且煤储层主要是沉积岩并存在断层褶曲等地质构造[21]。此外侧压系数在深度范围内离散分布,则是受浅部煤层受断层裂隙及构造因素的影响,但随埋深增加,侧压系数逐渐变小,由上覆岩层产生的垂直主应力逐渐增大,改变了构造应力占主导地位的局面,当侧压系数等于1时,地应力发生转换,通过计算,在800 m处垂直主应力数值上全部向1靠拢,此时接近静水压力状态。

3.4 地应力对渗透率的影响

影响渗透率的因素多种多样,包括地应力、区域构造应力、孔裂隙系统、煤阶、煤体结构、煤层埋深等,而地应力的改变会影响煤储层孔裂隙开合度,从而影响储层渗透率,即渗透率随地应力的增加而减小,这反映了上覆地层的垂向作用和水平构造作用。老厂矿区试井渗透率为(0.005 6~0.87)×10-3 μm2,平均为0.092×10-3 μm2,属于低渗-超低渗储层[25]。老厂矿区埋深对渗透率有一定的影响(图7),煤层埋深800 m以浅,渗透率随埋深的增加呈负指数减小;800 m以深,渗透率随埋深增加而增加,埋深对煤层渗透率的影响体现在地应力对渗透率的关系上,800 m以浅储层应力场属于σH>σV>σh型,在水平构造应力作用下储层处于挤压状态,使孔裂隙被压缩,渗透率应随埋深增加而减小,此埋深范围内出现渗透率异常高值(橙色点),这与老厂背斜轴部较大构造曲率有关(有效应力促使裂隙张开)[26]。800 m以深,储层应力场属于σV>σH>σh型,侧压系数小于1,煤层处于拉张应力状态,同时地下煤层的现场测量发现天然裂缝呈垂直或亚垂直走向,主要走向为NW—SE向和NE—SW向,大部分裂缝倾角大于80°,在正断层应力状态下,有利于裂缝张开,渗透率提高[27-28]。渗透率这一变化点与应力场转换点几乎一致,揭示了地应力对煤储层渗透率的控制作用。

图7 埋深与渗透率的关系

Fig.7 Relationship between permeability and depth

4 结 论

1)结合测井资料和室内岩石力学试验,构建了研究区动静态岩石力学参数转换关系式。基于压裂施工曲线得到的破裂压力和闭合压力及水平地应力模型建立了适用于研究区的地应力模型。

2)揭示滇东老厂地区煤储层属中高应力区,800 m以浅以走滑断层应力场类型为主,800 m以深以正断层应力场类型为主;侧压系数整体上位于中国和Hoek-Brown内外包络线之内且随埋深增加变化范围减小并在800 m后普遍小于1,800 m为应力转换点,由水平主应力控制下的构造应力场转变为垂直主应力占主导地位。

3)探讨了地应力对储层渗透率的影响,老厂矿区煤储层属低渗-超低渗储层,地应力对储层渗透率具有控制作用,煤层埋深800 m内,渗透率在水平主应力的控制下随埋深的增加呈负指数减小,800 m以深垂直主应力为渗透率主控因素,储层处于拉张应力状态,天然裂缝呈垂直或亚垂直走向, 大部分裂缝倾角大于80°,渗透率随埋深增加而增加,渗透率变化点与应力场变化点基本一致。

参考文献(References):

[1] 顾成亮.滇东、黔西地区煤层气地质特征及远景评价[J]. 新疆石油地质, 2002, 23(2): 106-110.

GU Chengliang. Geological characteristics and prospect evaluation of coal-bed methane in eastern Yunnan and western Guizhou[J] .Xinjiang Petroleum Geology, 2002, 23(2): 106-110.

[2] 徐 刚,彭苏萍,邓绪彪.煤层气井水力压裂压力曲线分析模型及应用[J]. 中国矿业大学学报, 2011, 40(2): 173-178.

XU Gang, PENG Suping,DENG Xubiao. Hydraulic fracturing pressure curve analysis and its application to coalbed methane wells[J]. Journal of China University of Mining & Technology, 2011, 40(2): 173-178.

[3] 逄思宇,贺小黑.地应力对煤层气勘探与开发的影响[J]. 中国矿业, 2014, 23(S2): 173-177.

PANG Siyu, HE Xiaohei.Influence of crustal stress on coalbed methane exploration and development [J]. China Mining Magazine,2014,23(S2):173-177.

[4] 吴财芳,王 肖,刘小磊,等. 滇东老厂矿区多煤层条件下地应力特征及其影响研究[J]. 煤炭科学技术, 2019, 47(1):118-124.

WU Caifang, WANG Xiao, LIU Xiaolei,et al.Study on geostress features and influences under multi-seam condition in Laochang Mining Area of East Yunnan[J]. Coal Science and Technology,2019,47(1):118-124.

[5] CHEN S,TANG D,SHU T,et al. In-situ stress measurements and stress distribution characteristics of coal reservoirs in major coalfields in China: Implication for coalbed methane (CBM) development[J]. International Journal of Coal Geology, 2017, 182: 66-84.

[6] 姜永东,鲜学福,许 江.岩石声发射Kaiser效应应用于地应力测试的研究[J]. 岩土力学, 2005, 26(6): 946-950.

JIANG Yongdong, XAIN Xuefu, XU Jiang. Research on application of Kaiser effect of acoustic emission to measuring initial stress in rock mass[J]. Rock and Soil Mechanics, 2005, 26(6): 946-950.

[7] 李彦兴,董平川.利用岩石的Kaiser效应测定储层地应力[J].岩石力学与工程学报, 2009, 28(S1): 2802-2807.

LI Yanxing,DONG Pingchuan. In-situ stress measurement of reservoir using Kaiser effect of rock[J]. Chinese Journal of Rock Mechanics and Engineering,2009, 28(S1): 2802-2807.

[8] 杨 红,许 亮,何 衡,等. 利用测井、压裂资料求取储层地应力的方法[J]. 断块油气田, 2014, 21(4):509-512.

YANG Hong, XU Liang, HE Heng,et al. Method for obtaining ground stress of reservoir using logging and fracturing data [J]. Fault-Block Oil & Field,2014,21(4):509-512.

[9] 吕俊丰, 刘 鹏, 林庆祥,等. 地应力分析解释技术在压裂中的应用[J]. 大庆石油地质与开发, 2005, 24(2): 64-66.

LYU Junfeng,LIU Peng,LIN Qingxiang,et al. Application of in-situ stress analysis and interpretation technology in fracturing [J]. Petroleum Geology & Oilfield Development in Daqing, 2005, 24(2): 64-66.

[10] 邢力仁, 柳迎红, 王存武,等. 基于测井信息的煤层气区块地应力预测与综合评价[J]. 煤炭科学技术, 2018, 46(10): 216-221.

XING Liren,LIU Yinghong,WANG Cunwu,et al. Geostress prediction and comprehensive evaluation based on logging information in coalbed methane block[J]. Coal Science and Technology,2018,46(10):216-221.

[11] 桂宝林,王朝栋. 滇东-黔西地区煤层气构造特征[J]. 云南地质, 2000, 19(4): 321-351.

GUI Baoli, WANG Chaodong. Tentonic characteristics of coalbed methane in eastern Yunnan and Western Guizhou[J]. Yunnan Geology, 2000, 19(4): 321-351.

[12] 王朝栋, 桂宝林, 郭秀钦,等. 恩洪煤层气盆地构造特征[J]. 云南地质, 2004, 23(4): 471-478.

WANG Chaodong, GUI Baolin,GUO Xiuqin,et al.Tentonic characteristics of the seam gas in Enhong basin[J]. Yunnan Geology, 2004, 23(4): 471-478.

[13] 贾高龙, 莫日和, 赖文奇,等. 云南恩洪-老厂煤层气勘查区地质特征及勘探开发策略[J]. 中国海上油气, 2016, 28(1): 29-34.

JIA Gaolong,MO Rihe,LAI Wenqi, et al. CBM geological characteristics and exploration and development strategy of Enhong-Laochang explorati[J]. China Offshore Oil and Gas, 2016, 28(1): 29-34.

[14] 印兴耀, 马 妮, 马正乾,等. 地应力预测技术的研究现状与进展[J]. 石油物探, 2018, 57(4): 488-504.

YIN Xingyao, MA Ni, MA Zhengqian, et al. Review of in-suit stress predition technology[J]. Geophysical Prospecying for Petroleum,2018,57(4):488-504.

[15] 姜 波, 汪吉林, 屈争辉,等. 大宁—吉县地区地应力特征及其对煤储层渗透性的影响[J]. 地学前缘, 2016, 23(3):17-23.

JIANG Bo,WANG Jilin, QU Zhenghui, et al. The stress characteristics of the Daning-Jixian Area and its influence on the permeability of the coal reservoir[J]. Earth Science Frontiers,2016,23(3):17-23.

[16] 路保平,鲍洪志. 岩石力学参数求取方法进展[J]. 石油钻探技术, 2005, 33(5): 47-50.

LU Baoping,BAO Hongzhi. Progress in the method of calculating rock mechanics parameters[J]. Petroleum Driling Techniques, 2005, 33(5): 47-50.

[17] 陈峥嵘, 刘书杰, 张滨海,等. 沁水盆地北缘煤层气井地应力模型研究[J]. 煤炭科学技术, 2018, 46(10): 136-142.

CHEN Zhengrong, LIU Shujie, ZHANG Binhai,et al. Study on geostress model of coalbed methane wells in north edge of Qinshui Basin[J]. Coal Science and Technology,2018,46(10):136-142.

[18] AMADEI B,STEPHANSSON O. Rock Stress and Its Measur-ement[M].London:Chapman & Hall, 1986.

[19] 侯明勋, 葛修润,王水林. 水力压裂法地应力测量中的几个问题[J]. 岩土力学, 2003, 24(5): 840-844.

HOU Mingxun,GE Xiurun,WANG Shuilin.Discussion on application of hydraulic fracturing method to geostress measurement[J]. Rock and Soil Mechanics,2003,24(5):840-844.

[20] 尤明庆. 水压致裂法测量地应力方法的研究[J]. 岩土工程学报, 2005, 27(3): 350-353.

YOU Mingqing. Study on the geo-stress measurement with hydro-fracture of borehole[J]. Chinese Journal of Geotechnical Engineering,2005,27(3):350-353.

[21] 康红普, 姜铁明, 张 晓,等. 晋城矿区地应力场研究及应用[J]. 岩石力学与工程学报, 2009, 28(1): 1-8.

KANG Hongpu, JIANG Tieming, ZHANG Xiao,et al. Research on in-suit stress field in Jincheng mining area and its application[J].Chinese Journal of Rock Mechanics and Engineering,2009,18(1):1-8.

[22] 杨兆彪,秦 勇. 地应力条件下的多层叠置独立含气系统的调整研究[J]. 中国矿业大学学报, 2015, 44(1): 70-75.

YANG Zhaobiao,QIN Yong. Study of unattached multiple superposed coalbed methane system under stress conditions[J].Journal of China University of Mining & Technology,2015,44(1):70-75.

[23] JU Wei, JIANG Bo, QIN Yong, et al. The present-day in-situ stress field within coalbed methane reservoirs, Yuwang Block, Laochang Basin, south China[J]. Marine and Petroleum Geology, 2019, 102: 61-73.

[24] 王 丹, 赵峰华, 耿 昊,等. 临汾区块上主力煤层地应力场特征[J]. 断块油气田, 2015, 22(3): 287-290.

WANG Dan, ZHAO Fenghua, GENG Hao, et al. Characteristics of in-situ stress field for upper main coal seam of Linfen Block[J]. Fault-Block Oil & Gas Field,2015,22(3):287-290.

[25] 郭 晨,卢玲玲. 黔西煤层气成藏特性空间分异及其对开发的启示[J]. 煤炭学报, 2016, 41(8): 2006-2016.

GUO Chen, LU Lingling. Spatial distribution and variation of coalbed methane reservoir characteristics and its significance for CBM development in Western Guizhou[J].Journal of China Coal Society,2016,41(8):2006-2016.

[26] 徐宏杰, 桑树勋, 易同生,等. 黔西地区煤层埋深与地应力对其渗透性控制机制[J]. 地球科学(中国地质大学学报), 2014, 39(11): 1607-1616.

XU Hongjie, SANG Shuxun, YI Tongsheng, et al. Control mechanismof buried depth and in-situ stress for coal reservoir permeability in Western Guizhou[J]. Earth Science-Journal of China University of Geosciences,2014,39( 11) : 1607-1616.

[27] WANG Chenlin,ZHANG Xiaodong. Distribution rule of the in situ stress state and its influence on the permeability of a coal reservoir in the southern Qinshui Basin, China[J]. Arabian Journal of Geosciences, 2018, 11(19): 586.

[28] XU Hongjie, SANG Shuxun, YANG Jingfen,et al.In-situ stress measurements by hydraulic fracturing and its implication on coalbed methane development in Western Guizhou, SW China[J]. Journal of Unconventional Oil and Gas Resources, 2016,15:1-10.

Study on in-situ stress characteristics of coalbed methane reservoir in Laochang Mining Area, eastern Yunnan

XING Yanan1,2,3, ZHANG Songhang1,2,3,TANG Shuheng1,2,3, GUO Yingying1,2,3, YU Tiancheng1,2,3,ZHU Weiping4

(1.School of Energy, China University of Geosciences (Beijing),Beijing 100083,China;2.MOE Key Lab of Marine Reservoir Evolution and Enrichment Mechanism, Beijing 100083, China;3.Beijing Key Lab of Unconventional Natural Gas Geological Evaluation and Development Engineering,Beijing 100083,China;4.Exploration & Development Research Institute of Tuha Oilfield Company,Hami 839009, China)

Abstract:The characteristics of in-situ stress is critical for coalbed methane exploration and development, especially for fracturing design. The paper is devoted to explore the distribution characteristics of in-situ stress in Laochang, eastern Yunnan. Based on log data, rock mechanics test and hydraulic fracturing curve, using Anderson model with added stress term, the in-situ stress of coalbed methane reservoir in Laochang area was calculated. The distributions of in-situ stress and its influence on reservoir permeability were also analyzed. The results show that the in-situ stress of coal reservoir in Laochang Mining Area is between 10 and 30 MPa, which is defined as high stress zone. The maximum horizontal principal stress (σH), the minimum horizontal principal stress (σh), and the vertical principal stress (σV) increase with the depth. As the increase of depth, the dominate stress field gradually turns from horizontal principal stress into vertical principal stress, with transition point at 800 m. When depth is less than 800 m, the horizontal stress is largest, which indicates that the strike-slip faults(σH>σV>σh)are active and coal seam is in compression state. When depth is higher than 800 m, the vertical stress is the largest,where is mainly the normal faults(σH>σV>σh),the vertical stress is the dominant stress and the coal seam is in the tension state. The results also show that the lateral pressure coefficient is within the inner and outer envelope of China and Hoek-brown. With the increase of depth, the lateral pressure gradually decreases from above 1 to below 1 at the depth of stress transition zone. Permeability at different depth is also determined by in-situ stress. When depth of coal seam is less than 800 m, the pore closes gradually under the action of compressive stress and the permeability decreases exponentially with the increase of depth. When depth is larger than 800 m, the vertical principal stress is the main factor to determine permeability. Reservoir is in tension stress state and nature fractures develop vertically. As nature fractures open under the effect of vertical principal stress, permeability increases with depth. The variation of permeability at different depth is basically the same as that of stress field.

Key words:Laochang Mining Area; coalbed methane; in-situ stress; side pressure coefficient; permeability

中图分类号:P618

文献标志码:A

文章编号:0253-2336(2020)06-0199-08

移动扫码阅读

邢亚楠,张松航,唐书恒,等.滇东老厂矿区煤层气储层地应力特征研究[J].煤炭科学技术,2020,48(6):199-206.doi:10.13199/j.cnki.cst.2020.06.026

XING Yanan, ZHANG Songhang,TANG Shuheng,et al.Study on in-situ stress characteristics of coalbed methane reservoir in Laochang Mining Area, eastern Yunnan[J].Coal Science and Technology,2020,48(6):199-206.doi:10.13199/j.cnki.cst.2020.06.026

收稿日期:2019-10-12责任编辑:王晓珍

基金项目:国家科技重大专项资助项目(2016ZX05044001-003)

作者简介:邢亚楠(1994—),女,河南驻马店人,硕士研究生。E-mail:xyn@cugb.edu.cn

通讯简介:张松航(1982—),男,河南南阳人,副教授。E-mail:zhangsh@cugb.edu.cn