煤炭加工与环保

哈密地区高碱煤掺烧结渣特性综合评价研究

杨 益1,王敦敦2,陈 珣1,姚 斌3

(1.高效清洁火力发电技术湖南省重点实验室,湖南 长沙 410007;2.国网湖南省电力有限公司 电力科学研究院,湖南 长沙 410007;3.煤燃烧国家重点实验室,湖北 武汉 430074)

摘 要:为解决哈密高碱煤在掺烧过程中严重结渣的问题,选用新疆哈密大南湖地区神华二矿煤(高碱煤)与巴里坤地区保利煤(低碱煤)为研究对象,采用双色测温法对炉膛温度进行矩阵测量,研究不同煤种掺混比例和蒸汽吹灰对炉膛出口温度和温升的影响,并推算出基于炉膛出口温度的炉膛吹灰投运时间间隔。结果表明:锅炉满负荷工况下,当神华二矿煤掺烧比例达到81.1%时,炉膛出口温度温升速率为17.4 ℃/h,吹灰后炉膛出口温度降幅度达到68 ℃,且炉膛吹灰最长间隔时间为6.7 h。随着神华二矿煤掺烧比例不断增加,炉膛结渣情况越严重,掺烧比例应控制在80%以下。现场试验采用逐步提高神华二矿煤比例的策略,神华二矿煤的掺烧比例从6台磨掺烧2台磨逐渐提高到5台。最佳掺烧方案是下5台磨煤机运行,其中A磨煤机烧保利煤,其余磨煤机烧神华二矿煤。

关键词:高碱煤;双色测温法;混煤燃烧;结渣特性;灰熔融温度

0 引 言

新疆作为我国高挥发分优质动力用煤储量最为丰富和集中的地区之一,从“十二五”发展规划起就已经成为重要的能源与电力建设基地。新疆哈密地区已探明未开发的煤炭资源量为5 708亿t,占全国预测资源量的12.5%,占新疆预测资源量的31.7%,居全区第1位[1]。近年来,随着我国“一带一路”战略的大力推进,哈密地区作为“疆电外送”的枢纽逐渐成为我国重要的煤炭能源基地[2-3]。但是哈密地区煤炭碱金属含量高,造成锅炉受热面结渣、沾污严重,极大限制了哈密地区煤炭资源的开发利用[4-6]。根据哈密地区高钠(碱金属)煤结渣特性实验室试验,典型哈密大南湖地区神华二矿高碱金属煤低温灰化后碱金属 (Na2O+K2O)含量为4.09%,按MT/T 1074—2008《煤中碱金属(钾、钠)含量分级》,煤中干燥基K和Na的总含量为0.52%,属于高碱煤的范畴[7-8],其煤灰低温灰化的灰熔融温度仅为1 150 ℃,锅炉在掺烧类似高钠(碱金属)煤仍存在一定的结渣风险。通过改变混煤灰的熔融特性,采用不同灰熔融特性煤的配比掺烧,被认为是目前解决新疆地区高碱煤强沾污特性现实可行的技术手段[9-11]

目前,国内外大多数研究将炉膛出口温度作为监测炉膛结渣的主要辅助诊断措施。随着计算机技术和数字图像处理技术的发展,火焰辐射图像方法中的双色测温法在工业锅炉高温检测领域得到广泛应用[12-13],该方法具有非插入式、实时连续测量等优点,对于炉膛温度监测而言,是一个极具应用前景的测量方法。

近年来,随着准东、吐哈地区高碱煤的开采与应用,当地燃用高碱煤的大型锅炉结渣情况严重,因此研究炉膛结渣的在线监测系统意义重大。基于此,笔者选择在国电哈密煤电一体化项目(2×660 MW)中开展试验,该项目锅炉为哈尔滨锅炉厂针对哈密高钠煤设计生产的首批超超临界参数四角切圆变压运行直流锅炉,试验选用哈密大南湖地区典型神华二矿煤(高碱煤),巴里坤地区保利煤(低碱煤)作为与之掺烧的常规煤种(以下简称为“神华二矿煤”与“保利煤”),采用分磨掺烧的上煤方式,在炉膛出口布置温度测量矩阵,利用数据采集仪实时监测炉膛出口截面温度的变化情况,根据不同掺混比例下炉膛出口温度的变化趋势,对高碱煤的结渣状况进行综合评价,为指导混煤掺烧提供理论依据。

1 试验煤质

试验期间对2个入炉煤种神华二矿煤、保利煤分别进行了3次随机取样。按照GB/T 212—2008《煤的工业分析方法》和GB/T 219—2008《煤灰熔融性的测定方法》测定样品在氧化性气氛和弱还原性气氛下的熔融温度。采用X射线荧光光谱仪(XRF)对取得的灰样进行煤灰成分分析与测试。试验灰样的灰熔融温度和化学成分测定结果见表1和表2。

表1 神华二矿煤及保利煤的灰熔融温度

Table 1 Ash melting temperature of Shenhua No.2 Mine coal and Baoli coal ℃

煤样DTSTHTFT神华二矿煤1 2601 2901 2901 310保利煤1 2001 2301 2401 270

注:DT为熔融性变形温度;ST为软化温度;HT为半球温度;FT为流动温度。

由表1可知,神华二矿煤的灰熔融温度DT为1 260 ℃,ST为1 270~1 290 ℃,保利煤的灰熔融温度DT为1 190~1 210 ℃,ST为1 220~1 240 ℃。神华二矿煤的灰熔融温度比保利煤略高,与高碱金属神华二矿煤在国标法制灰过程中钠(碱金属)元素发生了一定的逃逸,导致灰熔融温度偏高有关,国标法化验得到的灰熔融温度不能真实反映其结渣倾向性。由表2可知,2个煤样的常规灰成分指标差别不大,均是SiO2含量最高,Al2O3含量次之,其他成分较少。根据MT/T 1074—2008《煤中碱金属(钾、钠)含量分级》可知,神华二矿煤灰成分中Na2O+K2O含量为3.37%,煤中干燥基K和Na总含量为0.69%,属于高碱煤范畴。保利煤灰成分中Na2O+K2O的含量为1.86%,煤中干燥基K和Na的总含量为0.28%,属于低碱煤的范畴。

表2 神华二矿煤及保利煤的灰成分分析

Table 2 Ash composition of Shenhua No.2 Mine coal and Baoli coal %

煤样w(SiO2)w(Al2O3)w(Fe2O3)w(CaO)w(MgO)w(SO3)w(K2O)w(Na2O)神华二矿煤58.7720.756.083.664.732.251.372.00保利煤58.5317.016.723.046.964.861.220.64

2 试验方法与试验方案

2.1 温度测量矩阵系统CCD测温原理

电站锅炉炉膛中煤粉燃烧火焰发出强烈的可见光,在可见光波长范围400~750 nm,温度在3 000 K以下,普朗克辐射定律可由维恩辐射定律取代[14],火焰辐射能为

Iλ(T)=c1λ-5e-c2/(λT)ε(λ,T)

(1)

其中:Iλ(T)为火焰单色辐射能,W/m3λ为波长,m,T为温度,K;ε(λ,T)为火焰灰度值;c1c2为普朗克常数,c1=3.741 844×10-16 W·m2c2=0.014 388 33 m·K。

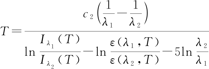
如果在2个波长λ1λ2下同时测得同一点发出的单色辐射能Iλ1(T)和Iλ2(T),则由两者之比值再取对数,即可得该点的温度T[15]

(2)

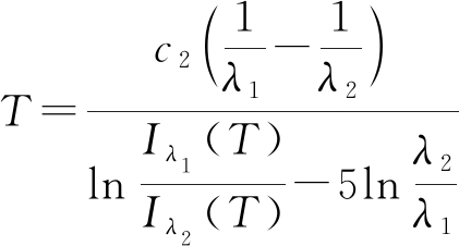
在火焰辐射的灰性假设意义下,有ε(λ1,T)=ε(λ2,T),故双色法测温公式(2)可简化为

(3)

彩色CCD摄像机是以CCD图像传感芯片为核心部件,将其光敏元件上所获得的光强信号转换为电信号,并通过一系列处理电路后输出RGB三基色信号[16]。即彩色CCD对发光火焰成像后,令λRλGλB分别为R、G、B三通道光谱相应曲线峰值对应的波长,则彩色图像卡采集到的信号就包含了λRλGλB三个波长下的强度,任取其中2个波长下的强度,代入公式(3)即可计算出温度T

炉膛温度矩阵测量即采用火焰辐射图像方法中的双色测温法,该方法基于彩色CCD的数字图像温度检测技术能够实时地测量高温物体表面的温度[17-18]。炉膛温度测量矩阵测温系统是基于数字图像处理的火焰温度场分析系统,既有图像对火焰形态的直观反应,同时还能通过计算机分析处理得到火焰温度场。主要有成像系统(镜头、滤波装置)、彩色CCD摄像机和负责图像处理的图像采集卡、计算机和分析软件。具体流程为:辐射源的光信号首先通过滤波装置,成像于CCD感光靶面,CCD传感器完成光电转换过程,摄像机内嵌的图像采集芯片可以进行实时采集,同时实现模拟图像信号到数字信号的转换。彩色CCD摄像机输出信号连接到计算机,计算机完成对传来的数字图像信号进行采集和存储,采用图形分析软件对数字图像进行处理及运算,求出温度场。

2.2 测点布置

试验期间炉膛出口温度测量矩阵测点位置如图1所示。为了保证测量结果的可靠性,同时定期利用高温仪测量了锅炉吹灰前后炉膛出口温度。根据试验锅炉实际情况,锅炉炉膛出口截面(标高约66 m处)布置有4个观火孔,其中前墙2个,左右墙各1个,实际试验期间在4个观火孔上分别布置CCD监测系统,通过程序设置,每隔10~30 s记录1次,获得实时的炉膛出口温度数据。

图1 炉膛出口温度测量矩阵位置示意

Fig.1 Arrangement diagram of furnace outlet temperature measurement matrix

2.3 掺烧方案

根据试验电厂机组的实际情况,高碱煤采用分磨掺烧的上煤方式。考虑到该电厂曾经出现锅炉严重结渣的实际案例和目前高碱煤比例控制在60%~80%的经验,仍要重视神华二矿煤高碱金属、强结渣倾向性的特点。

因此试验采用逐步提高神华二矿煤比例的策略,神华二矿煤的掺烧比例从6台磨掺烧2台磨逐渐提高到5台,根据不同试验方案锅炉各台给煤机的煤种及给煤量,估算神华二矿煤的掺入比例及发热量比例[19],见表3。

表3 不同掺烧方案下磨煤机运行方式及混煤掺烧情况

Table 3 Coal mill operation mode and coal blending combustion of different blending schemes

磨煤机编号磨煤机运行方式方案1(2台磨)方案2(4台磨)方案3(4台磨(下5磨运行))方案4(4台磨(上5磨运行))方案5(5台磨)F磨保利煤保利煤停运保利煤神华二矿煤E磨保利煤神华二矿煤神华二矿煤神华二矿煤神华二矿煤D磨神华二矿煤神华二矿煤神华二矿煤神华二矿煤神华二矿煤C磨神华二矿煤神华二矿煤神华二矿煤神华二矿煤神华二矿煤B磨保利煤神华二矿煤神华二矿煤神华二矿煤神华二矿煤A磨保利煤保利煤保利煤停运保利煤

注:神华二矿煤掺混比例在方案1—方案5中分别为37.8%、70.1%、83.1%、81.1%、87.6%;发热量比例在方案1—方案5中分别为29.4%、61.6%、77.1%、74.6%、82.7%。

3 试验结果与讨论

3.1 不同高碱煤掺烧方案下的炉膛出口温度特性

锅炉的炉膛水冷壁附着渣块后,会造成辐射换热热阻上升,影响水冷壁的吸热,从而导致炉膛出口温度升高,因此利用炉膛出口温度的高低及变化情况,可间接定量评价不同高碱煤掺烧方案下炉膛结渣的程度。

试验期间采用炉膛出口温度测量矩阵系统CCD实时监测得到不同高碱神华二矿煤掺烧方案时的锅炉炉膛出口温度变化情况,如图2所示。图2中高温受热面吹灰指折焰角、屏式过热器、末级过热器的受热面的吹灰,低温受热面吹灰指末级再热器、低温再热器、低温过热器、省煤器的受热面吹灰。为保证温度测量矩阵系统测量数据的准确性,试验期间随机采用便携式红外温度测量仪器对炉膛温度进行测量校正,便携式红外温度测量仪器测得的炉膛出口温度与炉膛出口温度测量矩阵系统CCD测量得到数据基本接近,认为炉膛出口温度测量矩阵系统测得的数据有效。

图2 不同高碱煤掺烧方案下的炉膛出口温度特性

Fig.2 Characteristics of temperature at furnace outlet with different high-alkali coal blending schemes

3.2 炉膛吹灰对炉膛出口温度的影响

锅炉燃用带结渣倾向性的煤种时,受热面会产生积灰和结渣,使得传热恶化,导致炉膛出口温度升高,炉膛吹灰后,水冷壁受热面上附着的渣块掉落,水冷壁的辐射热阻下降,辐射吸热量上升,会使炉膛出口温度及汽温下降,因此可通过锅炉炉膛吹灰前后炉膛出口温度的变化,间接反映炉膛的结渣状况。

统计图2中不同方案锅炉炉膛吹灰前后的炉膛出口温度变化情况,可估算炉膛吹灰对炉膛出口温度的影响,如图3所示。炉膛吹灰后,炉膛出口温度测量矩阵系统及便携式红外温度测量仪器测得的炉膛出口温度基本均表现出降低趋势。按锅炉炉膛出口温度的变化幅度左右两侧取高值进行比较,炉膛吹灰后,方案1、方案2、方案3炉膛出口温度降低15~30 ℃,方案4炉膛出口温度降低约68 ℃,方案5炉膛出口温度降低约40 ℃,可以认为方案4、方案5的炉膛结渣状况比方案1、方案2、方案3严重。

图3 2种测量方法得到的炉膛出口温度变化幅度

Fig.3 Change of furnace outlet temperature by two measuring methods

3.3 炉膛出口温度温升速率的比较

锅炉在燃用带结渣倾向性的煤种时,炉内水冷壁逐渐有渣块附着,会影响水冷壁的辐射换热,使炉膛出口温度出现升高趋势。若炉膛出口温度的温升速率较高,则表明当前运行状态下炉膛的结渣速率较快,可能会引起炉膛出口后部各受热面烟温或汽温上升,导致减温水流量升高,严重时造成超温,影响锅炉的安全运行,因此炉膛出口的温升速率是衡量炉膛结渣状况的重要参考。

统计不同神华二矿煤掺烧方案时,锅炉炉膛吹灰后满负荷运行状态下的炉膛出口温度变化特性,计算得到由炉膛出口温度测量矩阵及便携式红外温度测量仪器测得的炉膛出口温度温升速率如图4所示。按锅炉炉膛出口温度的温升速率左右两侧取高值进行比较,锅炉稳定运行时,方案1的炉膛出口温度温升速率仅约为1.4 ℃/h,方案2及方案3的炉膛出口温度温升速率均约为4 ℃/h,方案4、方案5的炉膛出口温度温升速率分别约为17.4、10.2 ℃/h。由此得,5个方案的炉膛结渣严重程度为方案4>方案5>方案3≥方案2>方案1。

图4 2种测量方法得到的炉膛出口温度温升速率

Fig.4 Temperature rise rate at furnace outlet by two measuring methods

3.4 基于炉膛出口温度的炉膛吹灰最长间隔时间推算

在锅炉在运行过程中,若炉膛出口温度达到燃用煤种的灰熔融温度,则极有可能会出现炉膛乃至屏过区域的大面积结渣,影响锅炉安全运行,因此实际运行过程中,需控制炉膛出口温度低于燃用煤种的灰熔融温度,即在炉膛出口温度尚未达到燃用煤种的灰熔融温度(考虑到此处燃用神华二矿煤,应低于低温灰化后的灰熔融温度)时即需进行炉膛吹灰。

根据上述各方案的炉膛出口温度与对应煤种的低温灰化灰熔融温度的差值,并结合不同方案的炉膛出口温度温升速率,可估算出炉膛吹灰的最长间隔时间(在避免锅炉炉膛大面积结渣前提下,锅炉炉膛吹灰后到下次炉膛吹灰开始时所能间隔的最长时间),如图5所示。

图5 基于炉膛出口温度的炉膛吹灰最长间隔时间

Fig.5 Time interval of furnace soot-blowing based on furnace outlet temperature

不同方案的炉膛吹灰最长间隔时间存在差别,主要分为3档,方案1的炉膛吹灰最长间隔时间约为139.6 h,明显大于其他方案;方案2、方案3的炉膛吹灰最长间隔时间分别约为58.4、63.1 h,仅为方案1的41%~46%;方案4、方案5的炉膛吹灰最长间隔时间分别约为6.7、16.5 h,明显低于方案1、方案2、方案3。按照试验期间该机组实际09:00—19:00共约10 h的满负荷运行时间,方案4必须每天进行炉膛吹灰工作,以避免炉膛及屏过区域烟温达到该方案煤种的低温灰化灰熔融温度,出现大面积结渣状况。若炉膛吹灰完成后锅炉仍有约6.7 h以上的满负荷运行时间,则还需进一步加强炉膛吹灰频次。

4 结 论

1)通过在炉膛出口布置温度测量矩阵,采用多个高精度CCD摄像头,利用数据采集仪实时监测炉膛出口截面温度的变化情况,并辅以炉膛各区域温度的测量(根据锅炉上布置的观火孔,吹灰前后分别测量),分析锅炉稳定工况下各段炉膛温度。锅炉的炉膛水冷壁附着渣块后,会造成辐射换热热阻上升,影响水冷壁的吸热,从而导致炉膛出口温度升高。因此利用炉膛出口温度的变化情况,可间接定量评价不同高碱煤掺烧方案下炉膛结渣的程度。

2)神华二矿煤掺烧比例越高,炉膛出口温度温升速率越快,炉膛吹灰前后炉膛出口温度降低幅度越大,炉膛吹灰最长间隔时间越短,炉膛结渣情况越严重。

3)试验表明:锅炉满负荷运行时,当神华二矿煤的掺烧比例小于80%时锅炉结渣程度不严重,但当掺烧比例在80%以上时锅炉结渣程度明显升高,甚至影响到锅炉正常运行,必要时还需进一步加强吹灰频次或降低掺混比例。为了保证炉膛受热面不结渣,且尽量多的燃用神华二矿煤,建议采用方案3(投运下5台磨煤机,其中A磨煤机烧保利煤,其余磨煤机烧神华二矿煤)。

参考文献(References):

[1] 杨 益, 陈 晨, 陈 珣, 等. 掺烧哈密地区高碱煤沾污特性的试验研究[J]. 煤炭科学技术, 2019, 47(5): 214-219.

YANG Yi, CHEN Chen, CHEN Xun,et al.Experimental study on fouling characteristics for blending ratio of high alkali coal in Hami Area[J]. Coal Science and Technology, 2019, 47(5): 214-219.

[2] 阮仁晖, 谭厚章, 王学斌, 等. 高碱煤燃烧过程细颗粒物排放特性[J]. 煤炭学报, 2017, 42(4): 1056-1062.

RUAN Renhui,TAN Houzhang,WANG Xuebin, et al. Characteristics of fine particulate matter released from burning coal with high content of alkali and alkaline earth metal[J]. Journal of China Coal Society, 2017, 42(4): 1056-1062.

[3] 杨燕梅, 杨欣华, 刘 青, 等. 灰化温度对准东煤灰组分分析的影响[J]. 煤炭学报, 2016, 41(10): 2441-2447.

YANG Yanmei, YANG Xinhua, LIU Qing,et al. Effect of ashing temperature on analysis of Zhundong coal ash[J]. Journal of China Coal Society, 2016, 41(10): 2441-2447.

[4] 王彦林, 郭前鑫, 翟文东. 燃用哈密高钠高氯煤的超临界锅炉设计与运行[J]. 中国电力, 2014, 47(4): 60-64.

WANG Yanlin, GUO Qianxin, ZHAI Wendong. Design and operation of supercritical boiler burning high sodium and chlorine coals from Hami Area[J]. Electric Power, 2014, 47(4): 60-64.

[5] 严陆光, 夏训诚, 吕绍勤,等. 大力推进新疆大规模综合能源基地的发展[J]. 电式电能新技术, 2011, 30(1): 1-7.

YAN Luguang, XIA Xuncheng, LYU Shaoqing,et al. Great promotion of development of large scale integrative energy base in Xinjiang[J]. Advanced Technology of Electrical Engineering and Energy,2011,30(1):1-7.

[6] 张守玉, 陈 川, 施大钟, 等. 高钠煤燃烧利用现状[J]. 中国电机工程学报. 2013, 33(5): 1-12.

ZHANG Shouyu, CHEN Chuan, SHI Dazhong,et al. Situation of combustion utilization of high sodium coal[J]. Proceedings of the CSEE,2013, 33(5): 1-12.

[7] 范建勇, 周永刚, 李 培, 等. 准东煤灰熔融温度表征结渣特性的试验研究[J]. 煤炭学报, 2013, 38(2): 478-481.

FAN Jianyong, ZHOU Yonggang, LI Pei,et al. Research on Zhundong coal’s ash melting temperature characterizing its slagging characteristics[J]. Journal of China Coal Society, 2013, 38(2): 478-481.

[8] 刘胜文, 杨建国, 翁善勇, 等. 配煤灰渣中矿物质在高温中转变的定量分析及其对结渣的影响[J]. 燃料化学学报, 2012, 40(1): 15-19.

LIU Shengwen, YANG Jianguo, WENG Shanyong,et al. Quantitative analysis of minerals of blended coal ash at high temperature and its influence on slagging[J]. Journal of Fuel Chemistry and Technology, 2012, 40(1): 15-19.

[9] 宋维健, 宋国良, 齐晓宾, 等. 准东高钠煤气化过程中Na 的迁移转化规律[J]. 煤炭学报, 2016, 41(2): 490-496.

SONG Weijian, SONG Guoliang, QI Xiaobin,et al. Sodium transformation law of Zhundong coal during gasification[J]. Journal of China Coal Society, 2016, 41(2): 490-496.

[10] 崔育奎, 张 翔, 乌晓江. 配煤对新疆准东高碱煤沾污结渣特性的影响[J]. 动力工程学报, 2015, 35(5): 361-365.

CUI Yukui, ZHANG Xiang,WU Xiaojiang.The effect of coal blending ratio on slagging/fouling characteristics of Zhundong Xinjiang high-alkali coal[J]. Journal of Chinese Society of Power Engineering,2015,35(5):361-365.

[11] 史永胜, 卢红玲.锅炉掺烧高碱金属煤的试验研究[J]. 华北电力技术,2013(1):39-42.

SHI Yongsheng, LU Hongling. Research of blending combustion of boiler fueled with high alkali coal[J]. North China Electric Power,2013(1): 39-42.

[12] 孙 元, 彭小奇, 严 军. 基于彩色CCD的高温场辐射测温方法[J]. 仪器仪表学报, 2011, 32(11): 2579-2584.

SUN Yuan, PENG Xiaoqi, YAN Jun. High-temperature field radiation thermometry based on colored CCD [J]. Chinese Journal of Scientific Instrument, 2011, 32(11): 2579-2584.

[13] 邓兴凯, 杨永军. CCD多光谱辐射测温技术的应用与发展[J]. 计测技术, 2011, 31(1):45-49.

DENG Xingkai, YANG Yongjun. Application and development of CCD multi-wavelength radiation thermometry[J]. Metrology & Measurement Technology, 2011, 31(1):45-49.

[14] 姜滦生, 孙皆宜, 刘 爽. 基于CCD比色原理的熟料温度场测量[J]. 仪器仪表学报, 2006, 27(6): 52-54.

JIANG Luansheng, SUN Jieyi, LIU Shuang. Measurement of clinker temperature field based on CCD colorimetric theory[J]. Chinese Journal of Scientific Instrument, 2006, 27(6):52-54.

[15] 卫成业, 王 飞, 马增益, 等. 运用彩色CCD测量火焰温度场的校正算法[J]. 中国电机工程学报, 2000, 20(1):70-76.

WEI Chenye, WANG Fei, MA Zengyi,et al. Research on colorimetic flame temperature measurement using colored CCD[J]. Proceedings of the CSEE, 2000, 20(1): 70-76.

[16] 孙亦鹏, 娄 春, 姜志伟, 等. 彩色CCD摄像机三基色代表波长的试验研究[J]. 华中科技大学学报:自然科学版, 2009, 18(2): 108-111.

SUN Yipeng, LOU Chun, JIANG Zhiwei,et al. Experimental research of representative wavelengths of tricolor for color CCD camera[J]. Journal of Huazhong University of Science and Technology:Natural Science Edition, 2009, 18(2): 108-111.

[17] 孙 元, 彭小奇. 基于彩色CCD的双色与三色比色测温法比较研究[J]. 传感技术学报, 2015, 28(8): 1184-1187.

SUN Yuan,PENG Xiaoqi. Comparative study on two-color and three-color colorimetric temperature measurement based on colored CCD[J]. Chinese Journal of Sensors and Actuators, 2015, 28(8): 1184-1187.

[18] 孙 元, 彭小奇, 严 军. 基于彩色CCD的高温场辐射测温方法[J]. 仪器仪表学报, 2011, 32(1): 2579-2584.

SUN Yuan, PENG Xiaoqi, YAN Jun. High-temperature field radiation thermometry based on colored CCD[J]. Chinese Journal of Scientific Instrument, 2011, 32(1): 2579-2584.

[19] 曾 俊, 李文军, 何洪浩, 等. 超超临界压力锅炉垂直水冷壁壁温偏差试验研究[J]. 湖南电力, 2017, 37(3): 56-59.

ZENG Jun, LI Wenjun, HE Honghao,et al. Experimental study on the temperature deviation of lower water wall in the ultra supercritical boiler[J]. Hunan Electric Power, 2017, 37(3):56-59.

Study on comprehensive evaluation of slagging characteristics of high-alkali coal blending combustion from Hami Area

YANG Yi1,WANG Dundun2,CHEN Xun1,YAO Bin3

(1.Hunan Province Key Laboratory of High Efficient & Clean Thermal Power TechnologyChangsha 410007,China;2. State Grid Hunan Electric Power Corporation Research InstituteChangsha 410007,China;3. State Key Laboratory of Coal CombustionWuhan 430074,China)

Abstract:In order to solve the problem of serious slagging about Hami high-alkali coal blending combustion,taking two kinds of Shenhua No.2 Mine (high-alkali coal) from Dananhu Area and Balikun Baoli (low-alkali coal) from Balikun Area in Xinjing Hami as study objects,the effect of coal blending ratio and steam dust blowing on flue temperature at furnace outlet and temperature rise rate was investigated by using two-color pyrometry temperature detection system. In addition, the time interval of furnace soot-blowing was calculated based on flue temperature at furnace outlet.The results show that the blending ratio of Shenhua No.2 Mine coal was 81.1% when boiler running in full load condition, flue temperature rise rate at furnace outlet was 17.4 ℃/h, the decrease of furnace outlet temperature after furnace soot-blowing was 68 ℃, and the time interval of furnace soot-blowing was 6.7 h. The blending ratio of Shenhua No.2 Mine coal should be less than 80% in case of the more serious of slagging in furnace. The strategy of this field test was increasing proportion of Shenhua No.2 Mine coal. The blending proportion of Shenhua No.2 Mine coal was gradually increased from two mills among six mills to five mills. The best solution was that the boiler should put five mills inferior into operation, of which, mill A taking in Baoli coal, other mills taking in Shenhua No.2 Mine coal.

Key words:high-alkali coal;two-color pyrometry;coal blending combustion;slagging characteristic;ash melting temperature

中图分类号:TK16

文献标志码:A

文章编号:0253-2336(2020)06-0207-07

移动扫码阅读

杨 益,王敦敦,陈 珣,等.哈密地区高碱煤掺烧结渣特性综合评价研究[J].煤炭科学技术,2020,48(6):207-213.doi:10.13199/j.cnki.cst.2020.06.027

YANG Yi,WANG Dundun,CHEN Xun,et al.Study on comprehensive evaluation of slagging characteristics of high-alkali coal blending combustion from Hami Area[J].Coal Science and Technology,2020,48(6):207-213.doi:10.13199/j.cnki.cst.2020.06.027

收稿日期:2019-10-25责任编辑:代艳玲

基金项目:“十二五”国家科技支撑计划资助项目(2015BAA04B02)

作者简介:杨 益(1984—),男,湖南长沙人,高级工程师,博士。E-mail:yangyi07231@163.com