基于多指标试验的巷旁充填墙参数设计方法研究

赵 飞1,柏建彪2,柳军涛3

(1.阳泉煤业(集团)有限责任公司二矿,山西阳泉 045008;2.中国矿业大学煤炭资源与安全开采国家重点实验室,江苏徐州 221116;3.山西新元煤炭有限责任公司,山西晋中 045400)

摘 要:为研究充填墙强度和宽度对巷道变形的影响,确定合理的巷旁充填参数,建立了充填墙承载结构模型,并基于多指标分析,运用全面试验设计,精确分析了充填墙强度、宽度两因素四水平对沿空留巷充填墙水平位移H、顶板下沉量J、煤帮水平位移K、底鼓量L 影响的显著性。 研究表明:设计巷旁充填参数必须考虑强度和宽度两因素作用;强度、宽度两因素四水平对指标H、L 影响显著,对指标J、K 影响不显著,抓住主要指标H、L,兼顾次要指标J、K,考虑强度和宽度的交互作用,确定新元矿3107 工作面充填墙强度10 MPa 和宽度2.0 m 为最优组合。 将研究成果应用于3107 工作面,取得良好的围岩控制效果。

关键词:巷旁充填;充填墙强度和宽度;巷旁承载系统;全面试验设计;多指标分析

0 引 言

充填墙的强度和宽度是影响巷旁充填效果的2个重要因素[1],按常规思路分析充填墙强度和宽度两因素不同水平对沿空留巷围岩稳定性的作用机理,常采用“控制变量”的方法,即控制其他因素不变比较单一因素不同水平对分析因素的作用,比如控制强度因素,研究宽度因素不同水平对巷道稳定性的作用,亦或控制宽度因素,研究强度因素不同水平对巷道稳定性的作用,这样可以分析单一的强度或宽度因素水平变化对巷道围岩的作用效果。 何风贞等[2]认为对坚硬顶板条下沿空留巷,合理的充填墙体宽度能够大幅提高充填体承载能力和稳定性,进而抑制顶板下沉和巷道两帮变形,采用理论计算确定充填体宽度范围在1.65 ~3.75 m。 陈勇等[3]认为在充填材料力学性能和巷道高度确定的情况下,巷旁支护体的宽度就成了主要影响因数,采用理论分析、数值模拟和现场试验相结合的方法,得出巷旁支护体合理宽度的确定方法。 文献[4-12]通过建立相应的沿空留巷力学模型,通过力学计算确定了巷旁支护体的宽度。 文献[13-16]研究了沿空留巷充填区域直接顶稳定机理及综放沿空留巷围岩稳定性影响分析,认为直接顶下沉量随着直接顶弹性模量、巷道宽度、充填体宽度、塑性区宽度以及直接顶回转角有关。 文献[17-20]研究了沿空留巷围岩控制技术,分别提出了留巷围岩区域应力优化技术思路,研究了采空侧顶板预裂卸压机理,提出整体强化的沿空留巷结构控制原理。 但是对充填墙强度和宽度两因素在水平变化时对巷道稳定性影响的显著性研究较少,有必要研究在一定的地质条件下充填墙强度和宽度的最优组合,优化巷旁充填参数。 研究充填墙强度和宽度两因素对巷道稳定性影响的显著性时,可以用全面试验设计和正交试验设计两种方法,全面试验设计是把强度和宽度两因素不同水平全部试验,正交试验是选强度和宽度两因素不同水平中具有代表性的方案进行试验,该方法具有均匀、简洁、整齐的特点。 因此关键是根据强度和宽度的水平数确定合理的试验方案,分析强度和宽度两因素对巷道变形影响的显著性并确定合理的巷旁充填参数。

1 充填墙承载系统结构模型

1.1 充填墙承载系统模型

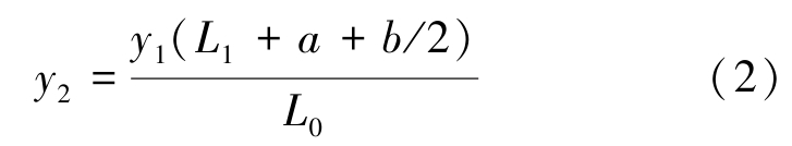
巷旁支撑系统载荷传递能力与直接顶和巷旁充填体的弹性模量等力学参数相关,同时与巷旁充填体宽度、煤层厚度和直接顶厚度等结构尺寸参数相关[12]。 为了探究充填墙强度和宽度对巷道变形影响,将直接顶、充填墙简化为具有一定刚度的弹性体,建立充填墙承载系统模型[13],如图1 所示。 图中,y1、m、h1、h2分别为采空区冒落矸石上方基本顶岩梁末端的下沉量、煤层厚度、直接顶厚度、基本顶厚度;y2为充填墙上方中部基本顶下沉量;L0为基本顶断裂后在采场侧向形成的悬跨度;L1为基本顶断裂位置距煤壁的距离;a 为巷道宽度;b 为充填墙宽度;P 为充填墙上方直接顶承受压力;k1和k2分别为直接顶和充填墙的刚度。

1.2 巷旁“大结构”变形特征

在充填墙承载系统中,基本顶的回转下沉量与煤层采出率、直接顶冒落矸石碎胀系数、充填墙纵向压缩量等因素有关。 当基本顶块体回转下沉稳定时,采空区冒落矸石上方基本顶岩梁末端的下沉量公式为

图1 充填墙承载系统模型
Fig.1 Model of filling-wall support system

式中:ηs、kp分别为煤炭回采率和直接顶碎胀系数。

巷旁充填墙中部上方基本顶的下沉量为

1.3 巷旁承载系统变形特征

设定充填墙上方直接顶承受压力为P,则:

式中:E 为直接顶弹性模量,Pa;Er为充填墙弹性模量,Pa;δ 为直接顶压缩量,m;δr为充填墙压缩量,m。

直接顶的刚度为

充填墙的刚度为

充填墙和直接顶组成的巷旁承载系统刚度为k,则

结合式(4)—式(6)可得:

则直接顶承受压力P 与巷旁承载系统刚度为k的关系为

结合式(2)、(3)、(7)、(8)可得

联合式(9)、式(10)可知,在特定的巷道尺寸与地质条件下,δr和δ 与充填墙的宽度和强度均相关,在设计巷旁充填参数时,单独考虑充填墙的强度或者宽度是不合理的,同时根据多年的现场实践,充填墙的强度与宽度太大或太小,围岩控制效果都不理想,所以设计巷旁充填参数时,应根据地质条件选取合理的充填墙强度和宽度参数。

2 沿空留巷数值计算模型的建立

根据新元矿3107 工作面地质条件,模拟煤岩层物理力学参数见表1,运用FLAC3D建立沿空留巷数值计算模型,如图 2 所示。 模型 x×y×z = 152.6 m×20.0 m×61.5 m。 工作面埋深400 m,模型边界施加10 MPa 的垂直应力,侧压系数为0.8。 本构模型选摩尔-库仑准则。

表1 模型物理力学参数
Table 1 Physical and mechanical parameters in model

岩性 厚度/m密度/(kg·m-3)体积模量/GPa剪切模量/GPa黏聚力/MPa内摩擦角/(°)抗拉强度/MPa砂质泥岩 6.6 2 400 2.46 1.64 2.7 24 1.0中砂岩 5.0 2 500 6.00 4.00 3.9 36 2.6砂质泥岩 8.0 2 400 2.46 1.64 2.7 24 1.0煤 3.0 1 400 1.90 1.26 1.0 17 0.5泥岩 1.5 2 300 2.00 1.33 0.8 20 0.5中细砂岩 4.0 2 500 5.80 3.80 3.6 32 2.4

图2 3107 工作面数值计算模型
Fig.2 Model of numerical calculation of No.3107 working face

3 充填墙参数优化设计方法

3.1 参数因素水平表

在优化巷旁充填参数时,需要综合考虑充填墙强度和宽度两因素,根据两因素的试验水平,选择合理的试验方法。 在本次试验中,根据现有高水充填材料技术参数并兼顾易于施工和经济合理,确定试验表为两因素四水平,充填墙因素水平表见表2。采用全面试验,应用2.2 节数值计算模型,通过改变充填墙强度和宽度,则需16 种数值计算方案,就可以全面分析充填墙宽度、强度两因素四水平对巷道变形的影响,试验方案少,分析精度高,故采用全面试验方法。

表2 充填墙因素水平
Table 2 Factors and levels chart of filling-wall

因素水平宽度W/m 强度S/MPa 1 1.0 15 2 1.5 10 3 2.0 7 4 2.5 5

3.2 试验方案设计与数据统计

充填墙宽度W、强度S 两因素四水平数值计算试验安排及结果统计见表3 和表4,统计不同强度和宽度下充填墙水平位移H、顶板下沉量J、煤帮水平位移K、底鼓量L,例如表4 中H1 表示每列中“1”所对应的试验数据相加除以4,数学意义为因素四个水平对应的指标统计量的平均值,这样统计数据的优点是在另一个因素的水平变化时仍能准确分析该因素对指标影响的大小。

表3 充填墙参数试验数据统计
Table 3 Data statistics chart of filling-wall parameter experment

水平 指标/mm试验号W S H J K L 1 1 1 113 298 508 305 2 1 2 164 337 503 127 3 1 3 198 338 508 55 4 1 4 210 341 511 42 5 2 1 162 322 494 395 6 2 2 186 330 504 202 7 2 3 271 335 509 81 8 2 4 317 340 514 48 9 3 1 173 314 484 421 10 3 2 188 324 500 242 11 3 3 276 331 507 132 12 3 4 351 337 515 60 13 4 1 193 309 478 442 14 4 2 197 321 498 274 15 4 3 270 327 506 185 16 4 4 358 336 512 98

作因素和指标关系如图3 所示,即把每个因素的点画在坐标上,这样就可以分析宽度W、强度S 两因素水平变化时对指标影响的大小。

表4 充填墙参数试验数据分析
Table 4 Data analysis chart of filling-wall parameter experment

因素因素指标/mm 指标/mm W S W S H1171.25 160.25 J1328.50 310.75 H2234.00 183.75 J2331.75 328.00 H3247.00 253.75 J3326.50 332.75 H4254.50 309.00 J4323.25 338.50 K1507.50 434.50 L1132.25 390.75 K2505.25 501.25 L2181.50 211.25 K3501.50 507.50 L3213.75 113.25 K4498.50 513.00 L4249.75 62.00

图3 强度与宽度对巷道位移影响曲线
Fig.3 The effect Diagram of strength and width on roadway displacement

由图3 可知:①充填墙水平位移H 与强度呈负相关,与宽度呈正相关,强度比宽度对H 影响显著;②顶板下沉量J 与强度、宽度两因素呈正相关 ,但强度、宽度两因素对J 影响不显著;③煤帮水平位移K 与强度、宽度两因素呈负相关,且强度对K 影响显著;④底鼓量L 与强度、宽度两因素成正相关,且强度宽度两因素对底鼓量L 影响显著。

3.3 多指标试验下充填墙参数的确定

将4 个试验指标平均对待不能选出合理的充填墙宽度和强度参数,关键的方法是在多指标因素中区分影响大的主要指标和影响小的次要指标,着重抓住主要指标,可以兼顾影响小的次要指标,这就是多指标条件下解决问题的方法。 充填墙强度和宽度两因素对充填墙水平位移H、底鼓量L 影响大,可以视为主要指标;对顶板下沉量J、煤帮水平位移K 影响小,视为次要指标。

在图3 中充填墙强度取15 MPa,则底鼓量显著增大;充填墙强度取5 MPa,则充填墙水平变形量大。 充填墙宽度取2.5 m,则充填墙水平位移增大,底鼓量增大,且成本高;宽度取1.0 m,则不能保证墙体安全隔绝采空区。 强度和宽度太大或太小都是不合适的,因此抓住底鼓量L 和充填墙水平位移H 两个主要指标,兼顾煤帮水平位移K 和顶板下沉量J两个次要指标,在特定的地质条件下,强度和宽度有一个合适的组合。 因此在充填墙强度7、10 MPa,宽度1.5、2.0 m 中选出巷旁充填参数的最优组合,列出宽度(W2 = 1.5 m、W3 = 2.0 m) 和强度(S2 =10.0 MPa、S3 =7.0 MPa)交互作用分析,见表 5。

表5 因素W、S 交互作用分析
Table 5 Interaction analysis chart between factors W and S

因素S指标/mm 因素W S2 S3 H W2 186 271 W3 188 276 K W2 504 509 W3 500 507 J W2 330 335 W3 324 331 L W2 202 81 W3 242 132

在指标H 达到最优解的组合为(S2,W2),其中(S2,W3)与(S2,W2)相差很小,对指标 H 影响基本等效;在指标J 达到最优解的组合为(S2,W3);在指标K 的最优解组合为(S2,W3);在指标L 达到最优组合为(S3,W2),所以指标 H、J、K 的最优解组合是(S2,W3),L 的最优解组合是(S3,W2)。 组合(S3,W2)其他3 项指标明显比(S2,W3)差,所有充填墙最优参数为(S2,W3),即(10 MPa,2.0 m)。

4 现场应用情况分析

根据前述充填墙参数的研究,将确定巷旁充填墙的强度和宽度参数应用于新元煤矿3107 工作面,研究3107 工作面沿空留巷围岩控制方案。

4.1 地质条件

采掘工程平面图如图4 所示,3107 工作面直接顶为厚度5~8 m 松软的砂质泥岩,基本顶为厚5 m的中粒砂岩,底板为厚度1.5 m 的泥岩,煤岩层力学参数见表1。 辅助进风巷为5.2 m×3.0 m 的矩形断面。 原巷道支护:顶板采用七眼钢带,第3 和第5 眼布置ø21.6 mm×10 300 mm 锚索支护,间排距1 600 mm×800 mm,其余眼布置锚杆支护,顶板采用菱形网。 帮锚杆每排4 根,间排距900 mm×900 mm,锚杆均采用Q335 号ø20 mm×2 400 mm 左旋无纵肋螺纹钢树脂锚杆,煤帮支护为塑料网。

图4 采掘工程平面图
Fig.4 Mining and excavation plan

4.2 巷道支护方案

巷旁充填墙采用高水速凝材料,充填墙宽度为2.0 m,强度为10 MPa。 沿空留巷为强烈动压巷道,必须对原巷内支护进行补强。 其中,煤柱帮采用锚杆、锚索补强支护。 在距煤帮底板300 mm 每隔两排锚杆补打1 根俯角为15°锚杆,原煤帮支护采用塑料网支护,现改为菱形铁网加强支护,距底板800 mm 每排补打1 排预紧力140 kN、长度4 200 mm 的帮锚索,间排距为1 400 mm×900 mm;顶板每2 排锚杆间补打3 根预紧力为240 kN,规格 ø21.6 mm×8 300 mm的锚索,间排距为1 800 mm×1 750 mm。

4.3 矿压监测

为检验巷道支护参数的合理性,重点监测巷道表面位移,绘制巷道表面位移曲线如图5 所示(负数表示滞后工作面)。

图5 巷道表面位移监测曲线
Fig.5 Roadway surface displacement monitoring curve

在图5a 中,顶底板移近速度在滞后工作面150 m 左右达到最大,顶底板移近速度为94 mm/d,之后顶底板变形速度衰减,顶板移近量趋于稳定,顶底板最大移近量为1 500 mm;图5b 中,两帮最大移近速度为29.5 mm/d,最大移近量为1 300 mm。 3107 辅助进风巷沿空留巷围岩变形量在可控范围内,巷道围岩控制效果良好。

5 结 论

1)建立了充填墙承载系统结构模型,得出了充填墙的压缩量δr和直接顶压缩量δ 与充填墙宽度和强度两因素相关,设计巷旁充填参数时必须结合相应的地质条件,充分考虑强度和宽度两因素不同水平对巷道变形的影响。

2)研究充填墙强度、宽度两因素四水平条件下,对巷道充填墙水平位移H、顶板下沉量J、煤帮水平位移K、底鼓量L 影响,得出强度和宽度两因素对充填墙水平位移H、底鼓量L 指标影响显著,对顶板下沉量J、煤帮水平位移K 影响不显著。

3)为选出最优巷旁充填参数,在特定的地质条件下,运用多指标试验分析方法,在四个指标中着重抓住对巷道表面位移影响大的主要指标,即H、L,兼顾影响小的次要指标,即J、K,充分考虑强度和宽度两因素的交互作用,确定巷旁充填参数最优组合为强度10 MPa、宽度2.0 m。

4)新元矿3107 工作面沿空留巷实践表明:所选巷旁充填参数能保证巷旁充填墙体稳定,巷道变形量在预控范围,沿空留巷围岩控制效果显著。

参考文献(References)

[1]赵 飞.新元煤矿松软围岩沿空留巷矿压显现特征及支护参数优化研究[D].徐州:中国矿业大学,2016:35-42.

[2]何风贞,阚甲广,杨 森,等.坚硬顶板下沿空留巷巷旁充填体合理宽度优化研究[J].煤矿开采,2016,21(4):56-59,72.HE Fengzhen,KAN Jiaguang,YANG Sen,et al.Optimal studying of rational roadside packing width of gob-side entry retaining under harden roof[J].Coal Mining Technology,2016,21(4):56-59,72.

[3]陈 勇,柏建彪,徐 营,等.沿空留巷巷旁支护体宽度的合理确定[J].煤炭工程,2012,44(5):4-7.CHEN Yong,BAI Jianbiao,XU Ying,et al.Rational determination on width of support mass along side of gateway retained goaf [J].Coal Engineering,2012,44(5):4-7.

[4]孙恒虎,赵炳利.沿空留巷的理论与实践[M].北京:煤炭工业出版社,1993.

[5]郭育光,柏建彪,侯朝炯.沿空留巷巷旁充填体主要参数研究[J].中国矿业大学学报,1992,21(4):1-11.GUO Yuguang,BAI Jianbiao,HOU Chaojiong.Study on the main parameters of gateside in gateways maintained along gob-edges[J].Journal of China University of Mining & Technology,1992,21(4):1-11.

[6]漆泰岳.沿空留巷整体浇注护巷带主要参数及其适应性[J].中国矿业大学学报,1999,28(2):122-125.QI Taiyue.Main parameters of pack-filling for retained gob-side entry and its adaptability [J].Journal of China University of Mining & Technology,1999,28(2):122-125.

[7]李化敏.沿空留巷顶板岩层控制设计[J]岩石力学与工程学报,2000,19(5):651-654.LI Huamin.Control design of roof rocks for gob-sideentry[J].Chinese Journal of Rock Mechanics and Engineering,2000,19(5):651-654.

[8]柏建彪,周华强,侯朝炯,等.沿空留巷巷旁支护技术的发展[J].中国矿业大学学报,2004,33(2):183-186.BAI Jianbiao,ZHOU Huaqiang,HOU Chaojiong,et al.Development of support technology beside roadway in goaf-side entry retaining for next sublevel[J].Journal of China University of Mining &Technology,2004,33(2):183-186.

[9]周保精,徐金海,倪海敏.小宽高比充填体沿空留巷稳定性研究[J].煤炭学报,2010,35(S1):33-37.ZHOU Baojing,XU Jinhai,NI Haimin.The small aspect ratio backfill gob-side entry retaining stability[J].Journal of China Coal Society,2010,35(S1):33-37.

[10]王红胜.沿空巷道窄帮蠕变特性及其稳定性控制技术研究[D].徐州:中国矿业大学,2011:69-71.

[11]张自政,柏建彪,王卫军,等.沿空留巷充填区域直接顶受力状态探讨与应用[J].煤炭学报,2017,42(8):1960-1970.ZHANG Zizheng,BAI Jianbiao,WANG Weijun,et al.Study on stress state of immediate roof above backfill area in gob-side entry retaining and its application[J].Journal of China Coal Society,2017,42(8):1960-1970.

[12]曹树刚,王 勇,邹德均,等.倾斜煤层沿空留巷力学模型分析[J].重庆大学学报:自然科学版,2013,36(5):143-150.CAO Shugang,WANG Yong,ZOU Dejun,et al.Mechanical model analysis of roadway along the roadway in inclined coal seam[J].Journal of Chongqing University:Natural Science Edition,2013,36(5):143-150.

[13]张自政,柏建彪,陈 勇,等.沿空留巷不均衡承载特征探讨与应用分析[J].岩土力学,2015,36(9):2665-2672.ZHANG Zizheng,BAI Jianbiao,CHEN Yong,et al.Investigation and application analysis of unbalanced bearing characteristics of gob-side entry retaining[J].Rock and Soil Mechanics,2015,36(9):2665-2672.

[14]张自政,陈 勇,刘学勇,等.沿空留巷直接顶受力变形理论分析[J].矿业安全与环保,2013,40(5):96-100.ZHANG Zizheng,CHEN Yong,LIU Xueyong,et al.Theoretical analysis on stress and deformation of immediate roof in roadway retained along gob[J].Mining Safety & Environmental Protection,2013,36(5):143-150.

[15]谢文兵.综放沿空留巷围岩稳定性影响分析[J].岩石力学与工程学报,2004,23(18):3059-3065.XIE Wenbing.Effects of surrounding rock stability on gob-side entry retaining in fully mechanized caving face[J].China Journal of Rock Mechanics and Engineering,2004,23 (18):3059-3065.

[16]谢文兵,殷少举,史振凡.综放沿空留巷几个关键问题的研究[J].煤炭学报,2004,29(2):146-149.XIE Wenbing,YIN Shaoju,SHI Zhenfan.Study on several key problems of gob-side entry in fully mechanized top coal caving[J].Journal of China Coal Society,2004,29(2):146-149.

[17]陈 勇,柏建彪,王襄禹,等.沿空留巷巷内支护技术研究与应用[J].煤炭学报,2012,37(6):903-910.CHEN Yong,BAI Jianbiao,WANG Xiangyu,et al.Study and application of support technology in roadway along goaf [J].Journal of China Coal Society,2012,37(6):903-910.

[18]张 农,韩昌良,阚甲广,等.沿空留巷围岩控制理论与实践[J].煤炭学报,2014,39(8):1635-1641.ZHANG Nong,HAN Changliang,KAN Jiaguang,et al.Theory and practice of surrounding rock control for gob-side entry [J].Journal of China Coal Society,2014,39(8):1635-1641.

[19]谢生荣,张广超,何尚森,等.深部大采高充填开采沿空留巷围岩控制机理及应用[J].煤炭学报,2014,39(12):2362-2368.XIE Shengrong,ZHANG Guangchao,HE Shangseng,et al.Surrounding rock control mechanism and its application of gob-side retaining entry in deep backfilling with large mining height[J].Journal of China Coal Society,2014,39(12):2362-2368.

[20]沙 旋,褚晓威.厚煤层沿空留巷围岩综合控制技术[J].煤炭科学技术, 2019, 47(11):76-83.SHA Xuan,CHU Xiaowei.Comprehensive control technology of surrounding rock for gob-side entry retaining in thick coal seam[J].Coal Science and Technology, 2019, 47(11):76-83.

Study on design method of roadside filling-wall parameters based on multi-index test

ZHAO Fei1,BAI Jianbiao2,LIU Juntao3

(1.No.2 Coal Mine,Yang Quan Coal Industry (Group) Co.,Ltd.,Yangquan 045008, China;2.State Key Laboratory of Coal Resources and Safe Mining,China University of Mining & Technology,Xuzhou,Jiangsu 221116,China;3.Shanxi Xinyuan Coal Limited Liability Company,Jinzhong 045400,China)

Abstract:In order to study the influence of the strength and width of the filling-wall on the deformation of the roadway and determine the reasonable filling parameters next to the roadway , the model of the filling-wall bearing structure was established.Based on multi-index analysis test,the four levels of the two factors strength and width of the filling wall were accurately analyzed by comprehensive test design about the significance of the filling-wall horizontal displacement H,roof subsidence J,coal side horizontal displacement K,floor heave L of the gob-side entry.The study showed that the two factors of strength and width must be considered when roadside filling parameters were designed; the factors of strength and width had significant influence on the index H and L but very slight influence on the indexes J and K,main indexes H and L were seized, reference index J and K were considered, the interaction of strength and width was considered, the optimum combination of filling wall strength was 10 MPa and width was 2 m in No.3107 working face of Xinyuan Coal Mine.The research results were applied in the No.3107 working face and remarkable control effect of the surrounding rock was achieved.

Key words:roadside filling; strength and width of filling-wall; roadside bearing system; comprehensive test; multi-index analysis

中图分类号:TD322

文献标志码:A

文章编号:0253-2336(2020)04-0200-06

移动扫码阅读

赵 飞,柏建彪,柳军涛.基于多指标试验的巷旁充填墙参数设计方法研究[J].煤炭科学技术,2020,48(4):200-205.doi:10.13199/j.cnki.cst.2020.04.022

ZHAO Fei,BAI Jianbiao,LIU Juntao.Study on design method of roadside filling-wall parameters based on multi-index test[J].Coal Science and Technology,2020,48(4):200-205.doi:10.13199/j.cnki.cst.2020.04.022

收稿日期:2019-04-27;

责任编辑:杨正凯

基金项目:国家自然科学基金资助项目(51574227)

作者简介:赵 飞(1990—),男,山西介休人,工程师,硕士。 E-mail:1247892820@ qq.com