闭坑煤矿井下空间资源开发利用评价

史箫笛1,康小兵1,罗向奎2,马小云1,陈晓岚2,王克峰2

(1.成都理工大学地质灾害防治与地质环境保护国家重点实验室,四川成都 610059;2.重庆市地质矿产勘查开发局208水文地质工程地质队,重庆 400700)

摘 要:随着国家能源结构的调整及新能源技术的发展,关闭煤矿的数量日益增长。 合理开发利用闭坑煤矿井下空间资源可有效缓解城市土地资源短缺和生态环境压力,采用层次分析法和模糊数学法,以定性分析和定量分析相结合的方式,选取了安全性、封闭性和稳定性3 类因素及瓦斯浓度等级、涌水量、地下水腐蚀性、岩体渗透性、断层、岩体质量分级、支护方式和地面沉降8 项指标,构建了闭坑煤矿井下空间资源开发利用评价体系。 运用该评价体系对2 个闭坑煤矿进行了综合评判,评价结果符合实际情况,表明评价体系的客观性、科学性和准确性。

关键词:闭坑煤矿;井下空间;层次分析法;模糊数学;评价体系

0 引 言

煤炭作为我国主体能源,随着社会经济的发展,煤炭资源不断持续开发,部分矿井已达其生命周期,也有部分落后产能矿井不符合安全生产的要求,面临关闭。 尤其是近年来实施的煤炭去产能政策,促使一批资源枯竭及落后产能矿井和露天矿坑加快关闭,形成大量关闭矿井[1]。 随着绿色、低碳理念的践行和新能源技术的发展,煤炭在一次能源消费结构中的比例将逐渐下降,转型煤矿或关闭煤矿将越来越多。 据中国工程院“我国煤炭资源高效回采及节能战略研究”研究结果表明,预计2020 年,我国关闭或废弃矿井数量将达到12 000 处,到2030 年数量将到达15 000 处[2]

国外关闭或废弃矿井地下空间开发已有较长的历史,包含了多种不同的开发模式。 1963 年,美国利用科罗拉多Denver(丹佛)附近的Leyden 煤矿建成世界首座废弃煤炭矿井地下储气库,形成1.4 亿m3储气能力[3]。 1975 年,比利时在 Anderlues 和Peronnes 建成废弃煤炭矿井地下储气库,形成1.8亿m3的储气能力[4]。 芬兰奥陶克恩普地区,利用关闭煤矿建立地下矿井博物馆和地下儿童乐园[5]。荷兰林堡省海尔伦利用关停矿井建成以地热为能源的新型地热发电站[6-7]。 美国密苏里州堪萨斯市,利用矿井采空区建立了一座约27 870.912 m3 的商业、工业中心,且运行效果良好[8]

国内关闭或废弃矿井地下空间资源开发利用整体处于较落后水平,实践程度较低,理论分析也较为零星,如高延法关于废弃矿井地下空间储气技术分析研究,谢和平和付贵祥等关于利用煤矿井下空间进行抽水蓄能发电技术的分析探讨[9-11]。 比较成功的是利用废弃盐矿井建设地下储气库,如在金坛地区成功改造3 口废弃盐岩溶腔,形成近5 000 万 m3的工作气量,而在云应、淮安、平顶山等盐矿废弃溶腔改造储气库工作正在开展[12]。 安徽含山石膏矿也计划利用废弃矿山采空区改建储油库,建成后预计可形成500 万 m3的储油量[13]

我国关闭或废弃煤矿资源开发利用研究和实践刚刚起步,且主要以地表矿山广场的利用为主,废弃矿井地下空间资源化利用的相关理论研究相对缺乏,井下空间资源的开发利用率很低[14]。 井下存在的巷道、硐室等大量空间资源被浪费,科学有序充分利用关闭煤矿的井下空间资源,能够节约土地资源、缓解生态环境压力、拓宽城市地下空间发展方向和减少基础设施建设投资,将创造出巨大的生态、社会和经济效益。

对于城市地下空间的开发利用评价已有多方面的研究,成果显著,但对闭坑煤矿地下空间的开发利用评价鲜有研究,且多以定性分析为主,缺乏相应的定量分析理论。 由于闭坑煤矿地下空间可开发利用程度各指标的选取及量化标准难以统一,且个别指标难以量化,评价结果随着指标选取和量化标准的不同而有所差别。 笔者旨在探讨矛盾中的统一,采用层次分析法和模糊数学综合评价法,以定性分析和定量分析相结合的方式构建闭坑煤矿井下空间资源开发利用评价体系。

1 层次分析法

1.1 建立递阶层次结构

应用层次分析法(AHP)分析决策问题时,能够将各要素条理化、层次化,构造出1 个有层次的结构模型。 在这个模型下,复杂问题被分解为若干元素,这些元素又按其属性及关系形成若干层次,上个层次的元素作为准则对下个层次有关元素起支配作用,同时它又受上个层次元素的支配,由此形成了1个递阶层次(图1)。

图1 层次分析法递阶层次模型
Fig.1 The model of Analytic Hierarchy Process

1.2 构造两两比较矩阵

判断矩阵表示本层次元素与上个层次有关元素之间相对重要性的比较。 用于两两比较的判断矩阵是AHP 法的基础,也是进行相对重要度计算的依据。 通过两两比较,可以得出下个层次元素在上个层次某元素作为准则下的相对重要性。 这种比较结果可以通过引入适当的标度来表示,用数值直观地表达出相对重要性(权重),并写成判断矩阵[15]

1.3 确定相对权重及一致性检验

建立判断矩阵后,计算出矩阵的最大特征根γ及其对应的特征向量ω,并用CRCI/RI 进行一致性检验,其中:CI 为一致性指标;RI 为判断矩阵的平均随机一致性指标;CR 为一致性比例。 当CR<0.10时,则认为判断矩阵的一致性是可以接受的,否则应对判断矩阵进行适当修改,则特征向量ω 即为相应准则层各元素的权重。

2 多级模糊综合评判法

将因素 U = {u1u2,…,un }按某种属性分为 s类: Ui= {ui1ui2,…,uini} ,其中,i=1,2,…,s。 评语集 V={ V1V2,…,Vp}。 根据科学性、系统性和主导性原则将因素集分为三类,即安全性U1={瓦斯浓度等级,涌水量,地下水腐蚀性} 、封闭性U2={岩体渗透性,断层} 、稳定性U3={岩体质量分级,支护方式,地面沉降} 。 评语集为闭坑煤矿井下空间资源可开发利用程度V={高,较高,中等,低}。

设第 i 类因素 Ui 的权数为 ai(i=1,2,…,s),则因素类权重集为 A ={a1a2,…,as } ;设第 i 类中的第j 个因素 uij 的权数为aij ,则因素权重集为 Ai={ai1ai2,…,aini} (i=1,2,…,s)。

2.1 一级模糊综合评判

对每一类的各个因素进行综合评判,设一级综合评判的模糊关系矩阵为

则在一级综合评价中,第i 类因素的模糊综合评价矩阵Bi

2.2 二级模糊综合评判

由一级模糊综合评价矩阵可得到二级模糊综合评价的单因素类评价矩阵为

则二级模糊综合评价矩阵为

模糊综合评价的结果 B ={b1b2,…,bp } 为不同状态影响因子综合作用下,评价结果对不同等级的隶属度,对于评价结果的处理采用最大隶属度法,即 C = max{b1b2,…,bp } ,以确定评价对象所属的评价等级,C 为评价结果。

2.3 评价结果适宜性等级

根据模糊综合评价结果进行闭坑煤矿井下空间资源开发利用适宜性评价分级(表1)。 Ⅰ级为闭坑煤矿井下空间资源开发利用适宜区;Ⅱ级为闭坑煤矿井下空间资源开发利用较适宜区;Ⅲ级为闭坑煤矿井下空间资源开发利用较不适宜区;Ⅴ级为闭坑煤矿井下空间资源开发利用不适宜区。

表1 闭坑煤矿井下空间资源开发利用适宜性分级
Table 1 Suitability classification of underground space resources development in closed coal mine

隶属度归属井下空间可利用程度高 较高 中等 低适宜性分级 Ⅰ Ⅱ Ⅲ Ⅴ

3 井下空间资源开发利用评价模型

3.1 指标体系

煤矿闭坑的因素众多,产能不足、能源转型的需要,或是安全事故原因等,加之煤矿所处地质环境的特殊性,闭坑煤矿开发利用程度的评价指标体系所涵盖的内容广泛且复杂,在评价指标体系的构建中,不可能将所有的影响因素都纳入,依据科学性、系统性、主导性和可操作性原则,充分考虑其独特性,构建系统、客观、合理的评价指标量化体系(图2)。

图2 多级模糊综合评价体系
Fig.2 Multilevel fuzzy comprehensive evaluation system

3.1.1 瓦斯浓度等级

瓦斯是威胁矿井安全的最直接和最重要因素,闭坑煤矿井下空间资源的开发利用中必须考虑瓦斯浓度等级,根据国家煤矿安监局和国家能源局制定的《煤矿瓦斯等级鉴定方法》,将矿井瓦斯划分为低瓦斯矿井、高瓦斯矿井和突出矿井三个等级[16],根据本次评价需要,添加无瓦斯矿井这一等级(表2)。

表2 瓦斯浓度指标等级划分
Table 2 The classification of gas concentration index

瓦斯浓度等级 高 突出 低 无井下空间可利用程度 低 中等 较高 高

3.1.2 涌水量

突水是地下煤矿开采过程中遇到的最常见问题之一,不同的开采深度、开采强度和开采速度,矿井底板突水的规模也不一样,频发的突水灾害常带来一系列的工程地质问题。 评估涌水量的大小,对地下空间的安全性具有显著意义。 由于煤矿已闭坑,洞口大多已封闭,涌水量大小难以实测,因此采用含水层富水性等级来划分涌水量大小,富水性等级的划分(表3)依据国家安全生产监督管理总局和国家煤矿安全监察局制定的《煤矿防治水规定》[17]

表3 涌水量指标等级划分
Table 3 The classification of water inflow index

涌水量/(L·s-1·m-1) <0.1 0.1~1.0 1.0~5.0 >5.0井下空间可利用程度 高 较高 中等 低

3.1.3 地下水腐蚀性

矿井地下水中常含有较多具有侵蚀性的CO2、SO2-4 、Cl-、H等介质,对混凝土结构物和钢结构及设备的腐蚀破坏明显,井下空间资源开发利用评价中应进行地下水腐蚀性评价(表4)[18]

表4 地下水腐蚀性指标等级划分
Table 4 The classification of groundwater corrosivity index

腐蚀性等级 无 弱 中等 强井下空间可利用程度 高 较高 中等 低

3.1.4 岩体渗透性

岩体渗透性是地下空间封闭性程度高低的重要标度,岩体渗透性的大小对井下空间的储水、储油和储气具有重要影响。 依据中国水利部制定的《水利水电工程水文地质勘查规范》[19],结合本次研究需要,将岩体渗透性按渗透系数划分为4 个等级(表5)。

表5 岩体渗透性指标等级划分
Table 5 The classification of rock permeability index

岩体渗透性/(cm·s-1) <10-6 10-6 ~10-4 10-4 ~1.0 >1.0井下空间可利用程度 高 较高 中等 低

3.1.5 断层

不同力学性质的断层,断层带的宽度、填充胶结程度以及断层破碎带与影响带的宽度等差异显著,从而导致其水文地质意义的差异,一般而言,断层胶结带都是具有阻水作用,而断层破碎带及其影响带都具有赋水和导水作用。 煤炭开采活动的进行时常引起断层的活化,一方面,通过断层活化,断层面上的胶结物被“剪开”,使得断层上、下盘之间由“粘接”状态转化为“断开”状态,从而为断层面成为水通道奠定了基础;另一方面,通过活化,断层两端扩展使得断层向含水层进一步延伸,从而增加断层连接含水层的可能[20],在煤矿井下空间资源的开发利用中,查明断层的性质具有重要意义(表6)。

表6 断层指标等级划分
Table 6 The classification of faults index

断层性质 无断层 张性断层压性断层 断层活化井下空间可利用程度 高 低 较高 低

3.1.6 岩体质量分级

井下空间都是赋存在一定的岩体之中,岩体质量的好坏是地下空间稳定性的重要基础。 依据国家技术监督局制定的《矿区水文地质工程地质勘探规范》[21],结合本次研究需要,将岩体质量划分为4 个等级(表7)。

表7 岩体质量指标等级划分
Table 7 The classification of rock mass quality index

岩体分类 Ⅰ Ⅱ Ⅲ Ⅳ岩体质量指标 >3.0 1.0~3.0 0.12~1.0 <0.12岩体质量分级 优 良 中等 差井下空间可利用程度 高 较高 中等 低

3.1.7 支护方式

受制于科学发展水平,20 世纪70 年代以前,我国煤矿生产方式落后,煤矿工作面支护以木支护和摩擦支柱等支护为主,特别是木支护其支护能力有限,稳定性较差;随着科学水平的进步,80 年代至90年代开始采用单体液压支柱支护方式[22],支护能力强,稳定性好。 支护方式的不同,地下空间的稳定性状况也不尽相同。 当前许多闭坑煤矿于20 世纪50年代和60 年代就已开采,支护方式较为落后,因此需考虑支护方式对井下空间稳定性的影响(表8)。

表8 支护方式指标等级划分
Table 8 Classification of support method index

支护方式 无支护 木支护 摩擦支护 液压支护井下空间可利用程度 低 低 中等 高

3.1.8 地面沉降

煤矿开采造成的地面沉降主要源于回采工作面后方采空区,煤层顶板岩层经过破裂、冒落和压实,直至最终稳定需要较长时间,采空区之上的地面沉降不会在短时间内停止,矿井关闭后,地面沉降依然可能继续,同时关闭矿井地下水回弹充填采空区、巷道等地下空间,对煤柱、采动破碎岩体产生渗流力和冲击作用,降低煤柱、采动破碎岩体强度,可能导致煤柱失稳、破碎岩体再次垮落或流失,从而引起地表次生沉降。 地面沉降的大小和范围(表9)从侧面反映了地下空间的稳定性[23-24]

表9 地面沉降指标等级划分
Table 9 Classification of land subsidence index

地面沉降 严重 较严重 较轻 轻微井下空间可利用程度 低 低 高 高

3.2 指标量化

本次研究构建的闭坑煤矿井下空间资源可开发利用程度评价指标体系分为定量指标和定性指标两类,前者包括涌水量大小、岩体渗透性和岩体质量分级3 个指标,后者包括瓦斯浓度等级、地下水腐蚀性、断层、支护方式和地面沉降5 个指标,定量指标可以进行实数域的数学运算,而定性指标需将其转化为有序尺度的标量,再参与计算。

3.2.1 定量指标的量化

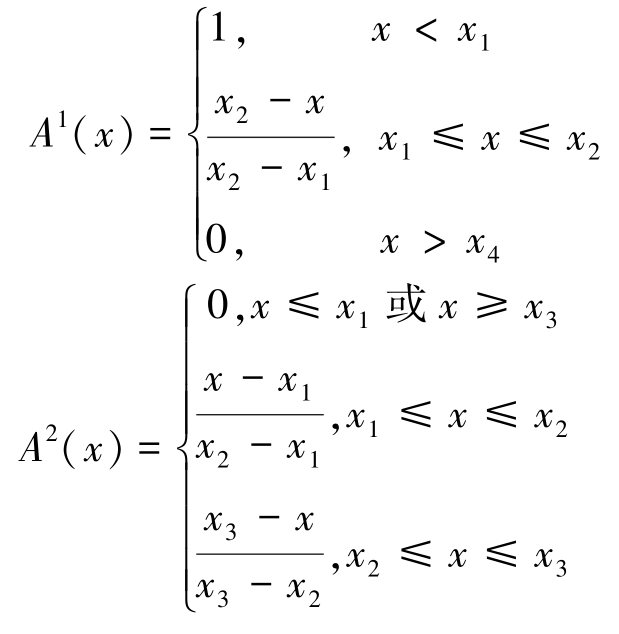
定量指标包括涌水量大小、岩体渗透性和岩体质量分级3 个指标,隶属函数体现了某元素属于模糊集合的隶属程度,确定合适的隶属函数是模糊数学成功运用的前提,本次研究采用线性半梯形-三角隶属函数进行量化(图3),即:

式中:x 为评价因素中各指标对井下空间资源可开发利用程度影响的实测值, x1 x4 为评价因素中各指标对井下空间资源可开发利用程度影响等级为高、低的临界值;x2x3 为评价指标对井下空间资源可开发利用程度影响等级为较高、中等的中间值。

图3 定量指标隶属函数模式
Fig.3 Quantitative index membership function pattern

3.2.2 定性指标的量化

定性评价指标本身无法使用连续的数值来描述,只有将其转换为有序的标度才能进行数学运算,有序标度的选取是否合理对评价结果具有决定性影响,本次采用类似层次分析法中的标度标准对指标进行量化,隶属函数与定量指标一致。 1、3、5、7 和 9分别表示各指标对井下空间资源可开发利用程度影响为一般重要,稍重要,比较重要,相当重要和绝对重要,2、4、6、8 表示重要性判断的过渡值(图4)。

图4 定性指标隶属函数模式
Fig.4 Qualitative index membership function pattern diagram

3.3 确定权重参数

通过搜集煤矿井下空间及城市地下空间开发利用评价的相关文献,结合本次研究选取的指标,综合专家意见,建立各层次两两比较标度,形成各层的判断矩阵,可得各层次中单准则下各因素权重值,见表10—表 13。

表10 井下空间准则层比较标度及权重
Table 10 The comparison scale and weight of underground space criteria layer

准则层元素 安全性 稳定性 封闭性安全性 1 3 5稳定性 1/3 1 3封闭性 1/5 1/3 1权重 0.637 0 0.258 3 0.104 7 λmax = 3.038 5;CI= 0.019 3;RI= 0.518 0;CR = 0.037 2<0.1因素类权重集A = 0.637 0 0.104 7 0.258 3{}

表11 井下空间安全性子系统比较标度及权重
Table 11 The comparison scale and weightof the underground space safety subsystem

指标层元素 瓦斯浓度等级 涌水量 地下水腐蚀性瓦斯浓度等级 1 5 9涌水量 1/5 1 3地下水腐蚀性 1/9 1/3 1权重 0.751 4 0.178 2 0.070 4 λmax = 3.029 1;CI= 0.014 5;RI= 0.518 0;CR = 0.028 1<0.1因素权重集A1= 0.751 4 0.178 2 0.070 4{}

表12 井下空间封闭性子系统比较标度及权重
Table 12 The comparison scale and weightof underground space closed subsystem

指标层元素 岩体渗透性 断层岩体渗透性 1 3断层 1/3 1权重 0.750 0.250 λmax =2.000 0;CI=0;RI= 0;CR = 0因素权重集A2= 0.750 0 0.250 0{}

表13 井下空间稳定性子系统比较标度及权重
Table 13 The comparison scale and weightof underground space stability subsystem

指标层元素 岩体质量分级 支护方式 地面沉降岩体质量分级 1 3 7支护方式 1/3 1 5地面沉降 1/7 1/5 1权重 0.649 1 0.279 0 0.071 9 λmax =3.064 9;CI=0.032 4;RI=0.518 0;CR =0.062 6<0.1因素权重集A3= 0.649 1 0.279 0 0.071 9{}

3.4 模糊综合评判

拟评价煤矿位于重庆市綦江地区,綦江区是全国100 个重点采煤区县之一,是重庆市重要的能源基地,也是重庆市典型的资源型城市。 随着国家能源结构的调整,去煤炭产能政策的实施,以及加快推进资源枯竭地区经济转型,使得綦江地区关闭了相当数量产能过剩或资源枯竭的煤矿,闭坑煤矿各指标量化见表14。

根据张河沟煤矿因素集中各指标的量化及隶属函数确定各指标模糊子集,则安全性子系统、封闭性子系统、稳定性子系统各指标一级综合评判的模糊关系矩阵分别为

表14 闭坑煤矿指标量化
Table 14 Index quantification of closure coal mine

煤矿名称指标量化瓦斯浓度等级 涌水量/(L·s-1·m-1) 地下水腐蚀性 岩体渗透性 断层 岩体质量分级支护方式 地面沉降张河沟煤矿 突出 0.80 中等-强 0.085 压性 1.20 液压 较严重-严重安洋煤矿 无 0.21 弱-中等 0.016 无 0.33 液压 较轻

安全性子系统、封闭性子系统、稳定性子系统各指标模糊综合评价分别为

由一级模糊综合评价得到二级模糊综合评价的单因素类评价矩阵为

则二级模糊综评价矩阵为

根据最大隶属度原则,可知对闭坑煤矿井下空间资源可开发利用程度较高的隶属度最大,开发利用适宜性属Ⅱ级,为闭坑煤矿井下空间资源开发利用较适宜区。 同理可得安洋煤矿二级模糊综合评价矩阵为 {0.650 6 0.131 6 0.064 2 0.153 7} 。

则该煤矿对闭坑煤矿井下空间资源可开发利用程度高的隶属度最大,开发利用适宜性属Ⅰ级,为闭坑煤矿井下空间资源开发利用适宜区。

4 结 论

1)采用层次分析法和模糊综合评判法相结合的方式,构建了闭坑煤矿井下空间资源开发利用评价体系,模糊数学定量分析方法的引入弥补了传统定性分析方法的不足,评价模型能够提供客观、真实的评价结果。

2)利用构建的闭坑煤矿井下空间资源开发利用评价体系对綦江地区2 个闭坑煤矿进行了评价,评价结果的差异性客观真实的反映了两煤矿各指标具体量化标准值的不同,符合客观实际,避免了人类思维的主观性。

3)本次构建的闭坑煤矿井下空间资源开发利用评价体系具有普适性,可进行区域性的整体评价,评价结果给出了闭坑煤矿井下空间资源开发利用的适宜性等级,针对当前闭坑煤矿井下空间资源利用率低、分布状况和开发利用适宜性不明确的问题,提供了解决方案,为相关政府部门进行矿井地下空间开发利用总体规划和详细规划的编制提供科学依据。

5)鉴于当前国内缺乏闭坑煤矿开发利用评价的理论体系,本次研究引入的层次分析法和模糊数学法,只是对这理论体系的一次初探,各项因素及指标的选取有待进一步优化和完善。

参考文献(References):

[1]袁 亮.煤炭精准开采科学构想[J].煤炭学报,2017,42(1):1-7.YUAN Liang.Scientific conception of precision coal mining[J].Journalof China Coal Society,2017,42(1):1-7.

[2]袁 亮.我国煤炭资源高效回收及节能战略研究[M].北京:科学出版社,2017.YUAN Liang.Strategic studies of high-efficient and energy-effectivecoal extractions in China[M].Beijing:Science Press,2017.

[3]BROWN L W.Abandoned coal mine stores gas for Colorado peakday demands[J].Pipeline Industry,1978,49(3):1-10.

[4]常春勤,邹友峰.国内外废弃矿井资源化开发模式述评[J].资源开发与市场,2014,30(4):425-429.CHANG Chunqin,ZOU Youfeng.Review on resource developmentmode of abandoned underground space of mine[J].Resource Development & Market,2014,30(4):425-429.

[5]MALONE A W.The use of underground space in Hongkong[J].Tunnelling and Underground Space Technology,1996,11(1):57-64.

[6]谢和平,高明忠,高 峰,等.关停矿井转型升级战略构想与关键技术[J].煤炭学报,2017,42(6):1355-1365.XIE Heping,GAO Mingzhong,GAO Feng,et al.Strategic conceptualization and key technology for the transformation and upgrading of shutdown coal mines[J].Journal of China Coal Society,2017,42(6):1355-1365.

[7]ERWIN Roijen,PETER.The mine water project Heerlenlowenergy heating and cooling inpractice[C]/ /Local Governmentsand Climate Change,Advances in Global Change Research,2007:317-332.

[8]E OSELLA,杨培章.从矿山开采到地下空间利用[J].国外金属矿山,1994(7):27-30.E OSELLA,YANG Peizhang.From mining to underground space utilization[J].Foreign Metal Mining Magazine,1994(7):27-30.

[9]高延法.废弃矿井地下空间储气技术分析[C]/ /第三届全国岩土与工程学术大会论文集,2009:644-647.GAO Yanfa.Analysis of Gas Storage Technology in Abandoned Mine Underground Space[C]/ /Proceedings of the 3rd National Conference on Geotechnical and Engineering,2009:644-647.

[10]谢和平,侯正猛,高 峰,等.煤矿井下抽水蓄能发电新技术:原理、现状及展望[J].煤炭学报,2015,40(5):965-972.XIE Heping,HOU Zhengmeng,GAO Feng,et al.A new technologyof pumped - storage power in underground coal mine:Principles,present situation and future[J].Journal of China Coal Society,2015,40(5):965-972.

[11]付贵祥,张小刚.利用废弃矿井设施水力蓄能发电的设想[J].煤矿机电,2000(3):25-26.FU Guixiang,ZHANG Xiaogang.Considerations about the use ofabandoned mine facilities for power generation by hydraulic energyaccumulating[J].Journal of Colliery Mechanical & Electrical Chnology,2000(3):25-26.

[12]杨春和,梁卫国,魏东吼,等.中国盐岩能源地下储存可行性研究[J].岩石力学与工程学报,2005,24(24):4400-4409.YANG Chunhe,LIANG Weiguo,WEI Donghou,et al.Study on feasibilityof underground storage of salt rock in China[J].Chinese Journal of Rock Mechanics and Engineering,2005,24(24):4400-4409.

[13]彭振华,李俊彦,杨 森,等.利用废弃石膏矿储存原油可行性分析[J].工程地质学报,2013,21(3):470-475.PENG Zhenhua,LI Junyan,YANG Sen,et al.Feasibility analysis ofusing stored gypsum ore to store crude oil[J].Journal of Engineering Geology,2013,21(3):470-475.

[14]刘 峰,李树志.我国转型煤矿井下空间资源开发利用新方向探讨[J].煤炭学报,2017,42(9):2205-2213.LIU Feng,LI Shuzhi.Discussion on the new development and utilization of underground space resources of transitional coal mines[J].Journal of China Coal Society,2017,42(9):2205-2213.

[15]马丽丽,田淑芳,王 娜.基于层次分析与模糊数学综合评判法的矿区生态环境评价[J].国土资源遥感,2013,25(3):165-170.MA Lili,TIAN Shufang,WANG Na.Ecological environment evaluation of the mining area based on AHP and fuzzy mathematics[J].Remote Sensing for Land and Resources,2013,25(3):165-170.

[16]国家煤矿安全监察局,国家能源局.煤矿瓦斯等级鉴定办法[R].北京:国家煤矿安全监察局,2018.

[17]国家安全生产监督管理总局,国家煤矿安全监察局.煤矿防治水规定[M].北京:煤炭工业出版社,2009.State Administration of Work Safety,State Administration of Coal Mine Safety.Coal mine water control regulations[M].Beijing:China Coal Industry Publishing House,2009.

[18]彭 建,柳 昆,郑付涛,等.基于AHP 的地下空间开发利用适宜性评价[J].地下空间与工程学报,2010,6(4):688-694.PENG Jian,LIU Kun,ZHENG Futao,et al.Evaluation for the suitability of underground space exploitationand utilization based on AHP[J ].Chinese Journal of Underground Space and Engineering,2010,6(4):688-694.

[19]中华人民共和国水利部.水利水电工程水文地质勘察规范(SL373-2007)[M].北京:中国水利水电出版社,2008.The Ministry of Water Resources of the People′s Republic of China.Specification for hydro - geological exploration of water resources and hydro-powerengineering(SL373-2007)[M].Beijing:China Water Power Press,2008.

[20]林远东,涂 敏,刘文震,等.基于梯度塑性理论的断层活化机理[J].煤炭学报,2012,37(12):2060-2064.LIN Yuandong,TU Min,LIU Wenzhen,et al.Faults activation mechanism based on gradient-dependent plasticity[J].Journal of China Coal Society,2012,37(12):2060-2064.

[21]国家技术监督局.矿区水文地质工程地质勘探规范[R].北京:国家技术监督局,1991.Quality and Technology Supervision Bureau.exploration specification hydrogeology and engineering geologyin Mining area[R].Beijing:Quality and Technology Supervision Bureau,1991.

[22]傅京昱.煤矿支护设备与岩层控制技术标准体系研究[J].煤炭工程,2016,48(5):1-3,7.FU Jingyu.Standard system of supporting equipment and strata controlin coal mining[J].Coal Engineering,2016,48(5):1-3,7.

[23]李怀展,查剑锋,元亚菲.关闭煤矿诱发灾害的研究现状及展望[J].煤矿安全,2015,46(5):201-204.LI Huaizhan,ZHA Jianfeng,YUAN Yafei.Research status and prospect of hazards caused by close coal mine[J].Safety in Coal Mines,2015,46(5):201-204.

[24]王 平,吴清星,刘少峰,等.利用D-InSAR 测量和高密度电阻率剖面揭示焦作市王封煤矿老采空区地面沉降机制[J].地球物理学进展,2011,26(6):2196-2203.WANG Ping,WU Qingxing,LIU Shaofeng,et al.Using D-InSAR and resistivity imaging profile to study ground subsidence above the old goaf of Wangfeng coal mine in Jiaozuo city[J].Progress in Geophysics,2011,26(6):2196-2203.

Development and utilization evaluation of underground space resources in closed pit coal mine

SHI Xiaodi1,KANG Xiaobing1,LUO Xiangkui2,MA Xiaoyun2,CHEN Xiaolan2,WANG Kefeng2

(1.State Key Laboratory of Geohazard Prevention and Geoenvironment ProtectionChengdu University of TechnologyChengdu 610059,China;2.The 208th Hydrogeology and Engineering Geology TeamChongqing Bureau of Geology and Minerals ExplorationChongqing 400700,China)

Abstract:With the adjustment of the national energy structure and the development of new energy technologies,the number of coal mine closures is increasing.Reasonable development and utilization of underground space resources in closed coal mine is of great significance in alleviating the shortage of urban land resources and the pressure of ecological environment.Using analytic hierarchy process and fuzzy mathematics method,combined with qualitative analysis and quantitative analysis,three types of factors including safety,sealing and stability,and eight indicators including gas concentration level,water inflow,groundwater corrosion,rock mass permeability,fault,rock mass quality classification,support mode and land subsidence are used to construct an evaluation system for the development and utilization of underground space resources in closed coal mines.The evaluation system was used to comprehensively evaluate the two closed coal mines.The evaluation results were consistent with the actual situation,indicating that the evaluation system was objective,scientific,and accurate.

Key words:closed coal mine; underground space; analytic hierarchy process; fuzzy mathematics; evaluation system

中图分类号:TD80;F416.21

文献标志码:A

文章编号:0253-2336(2020)03-0112-08

移动扫码阅读

史箫笛,康小兵,罗向奎,等.闭坑煤矿井下空间资源开发利用评价[J].煤炭科学技术,2020,48(3):112-119.doi:10.13199/j.cnki.cst.2020.03.012

SHI Xiaodi,KIANG Xiaobing,LUO Xiangkui,et al.Development and utilization evaluation of underground space resources in closed pit coal mine[J].Coal Science and Technology,2020,48(3): 112- 119.doi: 10.13199/j.cnki.cst.2020.03.012

收稿日期:2019-04-11;

责任编辑:杨正凯

基金项目:国家自然科学基金青年科学基金资助项目(41302244);重庆市国土资源和房屋管理局2015 年度重点前期工作资助项目(2015-999-03)

作者简介:史箫笛(1994—),男,湖北荆门人,硕士研究生。 E-mail:sxdgeo@ 163.com.

通讯作者:康小兵(1981—),男,江苏丹阳人,副教授,硕士生导师。 E-mail:Kangxiaobing09@cdut.cn