采矿科学与工程

采场围岩能量演化及释放模拟研究

师皓宇1,2,马念杰2,石建军1,李 楠1,谈国文3

(1.华北科技学院,北京 101601;2.中国矿业大学(北京) 资源与安全工程学院,北京 100083;3.中煤科工集团重庆研究院有限公司,重庆 400037)

摘 要:岩体应变能是集主应力、弹性模量、泊松比等综合物理量,能够更好地解释采矿过程中的动力现象。 为揭示采动过程中采场围岩能量演化和释放规律,基于岩体应变能理论推导了能量演化与释放的计算方法,以平朔井工三矿为工程背景建立数值计算模型,模拟计算不同回采时刻采场围岩能量变化,结果表明:①采场围岩的应变能峰值随着工作面的推进而逐渐前移,煤层能量峰值主要集中于煤壁前方8 m 以内,煤层的应变能相对较高,顶底板坚硬岩层中的能量值相对较低;②开挖开切眼后,开切眼上方为能量释放区,开切眼煤壁前后为能量积聚区;在该矿地质条件下,工作面正常回采时,工作面煤壁上方8 m 以内为能量主要释放区域,煤壁前方2~8 m 为能量主要积聚区; 因此,对于煤壁上方应及时支护,防止其能量的快速释放而引起冒顶;对于具有动力灾害倾向的煤壁前方应采取措施控制应力集中。

关键词:采场围岩;应变能;能量演化;能量释放

0 引 言

力是改变物体运动状态的重要原因,应力变化是岩体弹塑性状态转化的必要条件[1-3],但在判断宏观的岩体状态方面往往不够直观,难以量化表达岩体状态及致灾程度的关系。 能量是将主应力、弹性模量及泊松比等参数统一的指标,能够更好解释采矿过程中的动力现象[4],应力能够判别岩体是否发生破坏,而能量则能判别岩体破坏后的致灾程度,比如冲击地压、矿震及地震等岩石工程现象。 各类岩体所受应力超过其强度极限时即会塑性破坏,而破坏的致灾程度则与其释放的能量值有关[5]。 近些年,学者逐渐认识到能量理论之于岩石工程的意义,并开展了大量的研究工作,比如能量耗散本构模型的建立[6],岩石能量耗散及能量释放特性的阐释[7-8];基本阐明了岩石应变能能量释放的基本原理,但理论研究较多,成果应用较少。

由于工程岩体的岩性相异,这些能量理论很难直接应用于采矿工程中。 结果造就当前对采场能量理论研究相对较少,中国知网中篇名同时包含“采场”和“能量”的论文仅10 篇左右。 当前已有学者开展了工作面能量积聚机制的解释[9-10],或者是通过应力变化来计算冲击地压的能量的积聚/释放特征[11-12],这些成果对控制煤矿顶板灾害等方面发挥了重要的作用,特别是启发了采场围岩能量场的研究思路;但限于以往的技术,对采场围岩能量场的研究手段和体现形式相对单一,更多的是线性体现,很少有平面或立体呈现的能量场。 当前计算机技术与数学软件的发展为采场围岩能量场及能量密度场的处理提供良好契机,有助于我们判断采场周边的危险区域和危险程度。

1 采场围岩能量计算方法

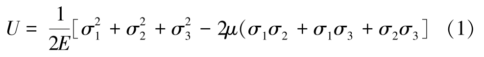
岩体任意一点坐标(xyz)的应变能密度U[13-14]

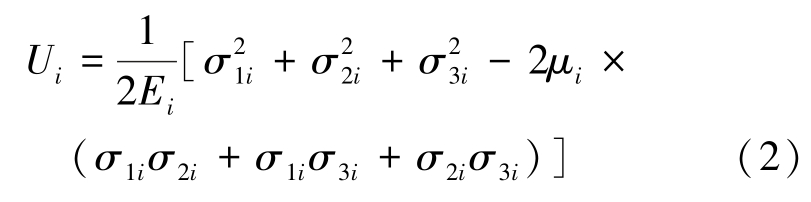
其中:E 为弹性模量;μ 为泊松比;σ1σ2σ3分别为最大、中间、最小主应力。 对于数值模型序号为i 的单元块而言,单元块上的力学参数应是均值;Eiμiσ1iσ2iσ3i分别为该单元块的弹性模量、泊松比和主应力,则其能量密度Ui

则在第i 单元块上的应变能为

其中,Vi 为第i 单元块的体积。 采动后的围岩必然存在部分区域能量积聚,部分区域能量释放,同一个单元块在采动前后的能量差值可认为是能量释放/积聚值,设 WbiWai(下标 b 为采动前,a 为采动后)分别为第i 单元块在采动前后的能量值,则释放/积聚的应变能Wei

区域能量释放/积聚值W[15-17]

模拟软件选用基于拉格朗日差分法的显式有限差分程序FLAC3D5.0,内置摩尔-库仑准则,适宜于处理大变形工程和地质问题[18-20]。 从计算结果中导出整个计算模型所有单元块的主应力值、弹性模量、泊松比、单元块体积等参数,通过Excel、Surfer 等软件对数据进行处理,即可计算整个模型或部分区域的能量值,得出计算模型的能量释放/积聚分布图。

2 数值计算模型建立

平朔矿区井工三 39107 工作面埋深 150 ~200 m,厚度9.21~15.23 m,平均 12.50 m,普氏系数 f =2.31;顶底板均为泥岩或炭质泥岩,直接顶厚度0 ~3.73 m,平均厚1.12 m,泥岩、炭质泥岩、高岭石泥岩互层,f = 3.87; 基本顶厚度 4.00 ~ 10.80 m,平均7.39 m,中粗砂岩,f>5。 各岩层物理力学参数见表1。 设计数值计算模型的长宽高为150 m×1 m×80 m,模型的上部为自由边界;模型的下部边界及模型的左右两侧为0。 整个模型施加重力应力场,使模型具备初始应力环境。 在模型高度为12.5 m 的煤层中布置测线1,模型水平位置为100 m 处的垂直方向布置测线2,数值计算建模如图1 所示。

表1 岩石物理力学性质
Table 1 rock physical and mechanical parameters

岩性 密度/(g·mm-3)度/GPa 泊松比 抗拉强度/MPa抗压强 黏聚力/MPa内摩擦角/(°)黑色泥岩 2.35 15.84 0.17 5.98 11.890 40.39泥岩 2.58 20.07 0.20 3.68 13.680 41.89粉砂岩 2.54 18.12 0.23 7.55 19.480 31.41粗砂岩 2.40 17.69 0.18 6.71 14.910 39.45中粗砂岩 2.46 24.36 0.21 5.94 19.08 39.75细砂岩 2.56 34.71 0.19 11.83 19.350 39.37煤层 1.50 3.99 0.26 1.86 4.785 37.46

图1 采场数值计算模型
Fig.1 Model diagram of numerical calculation in mining area

3 采场围岩应变能演化过程

随着工作面的推进,采场围岩应力随之改变,其围岩应变能的赋存状态也随之改变。 根据式(2)、式(3)计算所有单元块的能量值,获得工作面从开切眼开挖至推进54 m 时的采场围岩能量分布如图2 所示。 图2a—图2e 为工作面从未开采状态逐渐推进至54 m 时的能量赋存状态,工作面未开采时,岩体应变能在弹性模量较低的煤层和直接顶相对较高,而在弹性模量较高的砂岩等岩层中相对较低;当工作面开采后,采空区上方能量释放,其顶板上方处于低能量密度区,而在工作面的前方和开切眼后方的煤体内部产生能量集聚区,且随着工作面的开采,工作面前方煤体内的能量密度也随之增大,由开挖开切眼时的3.8×105 J/m3逐渐增大至8.6×105 J/m3

图2 采场围岩能量分布
Fig.2 Energy distribution map of surrounding rock in stope

提取图2 中测线1 上所有单元块体能量值,得到工作面前后方的能量水平分布如图3 所示。 从测线1 的能量分布来看,能量主要集中在工作面煤壁前方,a 为未采阶段,此时煤壁内的能量分布较为均匀,且量值较小;b 为开挖开切眼阶段,此时能量主要在煤壁前后方集中,但峰值相对较小;从c 到k 为工作面开采阶段,相邻时刻的开采步距均为4m,该阶段煤壁能量密度峰值持续增加,从c 的530 kJ/m3逐渐增至k 的970 kJ/m3;表明在开采初期,随着工作面的推进,煤壁前方的应变能呈增大趋势,其后这种趋势逐渐减弱。

图3 测线1 不同时刻能量变化
Fig.3 Energy change graph of line 1 at different time

回采时测线1 和2 能量分布如图4 所示,煤壁前方8 m 处为能量积聚峰值点,该位置积聚的能量值为970 kJ/m3,煤壁前方20 m 以远,能量值降为300 kJ/m3以下,表明采动仅对煤壁前方20 m 以内影响较大;根据煤壁上方能量分布曲线图,工作面顶板上方8 m 左右为能量积聚峰值点,该位置处的能量值约为1 000 kJ/m3,表明工作面前方和上方8 m以内为能量主要积聚区域。

图4 回采时测线1 和2 能量分布
Fig.4 Energy distribution graph of Line 1 and 2 in stoping

从能量密度分布来看,采场煤壁前方的能量密度分布与应力场分布相类似;而顶板上方的的能量密度则呈波动性变化,表明能量密度与主应力相关外,还取决于岩体的弹性模量和泊松比值。 即在高应力和低弹性模量的岩体中可积聚更高的能量密度,与冲击地压和煤与瓦斯突出多发生于煤层这一现象相吻合。

4 采场围岩能量赋存与释放规律

采场围岩积聚的能量随着工作面的推进,必然会释放或转移,笔者取图2 中开切眼开挖b 阶段和正常回采k 阶段,应用式(4)计算采场能量释放/积聚值。

1)开切眼开挖。 开切眼开挖前后,采场围岩应力重新分布,导出所有单元块的相关数据可计算应变能的释放/积聚值,图5 中r1 区域为能量释放区域,r2r3区域为能量积聚区域,r1r2r3区域的能量释放/积聚值可用式(5)计算,将数据处理为surfer图形如图5 所示,当开切眼开挖以后,开切眼上方顶板具有一定的塑性破坏和下沉量,该区域内的岩体释放应变能,其释放的应变能为5.37×106 J。

图5 开切眼开挖前后能量释放/积聚
Fig.5 Energy release/accumulation diagram before and after excavation

2)正常回采过程。 同理计算工作面从48 m 推进至54 m 的前后能量释放/积聚值,将数据处理为surfer 图形,如图6 所示。 在工作面煤壁上方r4区域为能量释放区域,煤壁前方r5区域为能量积聚区域,其他区域的能量释放/积聚的能量值相对较小,因此在工作面推进过程中,应重点关注这2 个区域。 煤壁上方r4区域释放的能量值为4.2×106 J 左右。 工作面的前方2~8 m 范围内的r5区域应变能积聚总值为 3.16×106 J。

因数值模拟的局限性,不能明确其时间特性,即不能说明这些能量的释放时间,但仍具备了采场动力灾害的空间条件,即在工作面的煤壁前方和顶板上方的能量积聚与释放区域集中在较小的范围内,具备了动力灾害的空间特征[21-22]。 顶板上方随着工作面的推进的推进而即时释放,表现为端面顶板的冒落;而工作面前方能量积聚与应力峰值分布相关,当能量积聚超过其极限时,可能急速释放而出现灾难性后果。 因此在日常的生产中仍应重点监测煤壁前方和顶板上方等能量集中积聚或释放区[23-25]

图6 正常回采能量释放/积聚分布
Fig.6 Distribution map of energy release/accumulation during mining

5 结 论

1)煤层开采必然导致采场围岩应力重新分布,岩体应变能与应力状态相关,采场围岩主应力的变化导致能量状态随之变化,这种变化将致使采场围岩的能量释放或积聚。

2)弹性模量较小的煤层应变能相对较高,而在弹性模量较大的砂岩等岩层中的应变能相对较低。

3)开切眼开挖后,顶板上方为能量释放区,煤壁前后为能量积聚区;工作面推进至54 m 时,在工作面煤壁上方8 m 以内为能量主要释放区域,煤壁前方2~8 m 煤体为能量主要积聚区域,该区域的能量积聚值超过其极限时,可能会急速释放而引发事故。

4)从能量的角度认识围岩赋存状态,更容易辨识采场围岩潜在的危险区域及致灾程度。 在工作面推进过程中,应对煤壁上及时方支护,防止其能量的快速释放而引起冒顶;对于具有动力灾害倾向的煤壁前方应采取措施控制应力集中。

参考文献(References):

[1]陈炎光,陆士良.中国煤矿采场围岩控制[M].徐州:中国矿业大学出版社,1994.

[2]钱鸣高,石平五.矿山压力与岩层控制[M].徐州:中国矿业大学出版社,2003.

[3]宋振骐.实用矿山压力控制[M].徐州:中国矿业大学出版社,1988.

[4]李德忠,夏新川.深部矿井开采技术[M].徐州:中国矿业大学出版社,2005.

[5]温 韬,唐辉明,刘佑荣.不同围压下板岩三轴压缩过程能量及损伤分析[J].煤田地质与勘探,2016,44(3):80-86.WEN Tao,TANG Huiming,LIU Yourong et al.Energy and damage analysis of slate during triaxial compression under different confining pressures[J].Coal Geology & Exploration,2016,44(3):80-86.

[6]赵阳升,冯增朝,万志军.岩体动力破坏的最小能量原理[J].岩石力学与工程学报,2003,22(11):1781-1783.ZHAO Yangsheng,FENG Zengchao,WAN Zhijun.Least energy priciple of dynamical failure of rock mass[J].Chinese Journal of Rock Mechanics and Engineering,2003,22(11):1781-1783.

[7]谢和平,鞠 杨,黎立云.基于能量耗散与释放原理的岩石强度与整体破坏准则[J].岩石力学与工程学报,2005,24(17):3003-3010.XIE Heping,JU Yang,LI Liyun, et al.Criteria for strength and structural failure of rocks based on energy dissipation and energy release principle[J].Chinese Journal of Rock Mechanics and Engineering,2005,24(17):3003-3010.

[8]谢和平,彭瑞东,鞠 杨,等.岩石破坏的能量分析初探[J].岩石力学与工程学报,2005,24(15):2603-2608.XIE Heping,PENG Ruidong,JU Yang et al.On energy analysis of rock failure[J].Chinese Journal of Rock Mechanics and Engineering,2005,24 (15): 2603- 2608.

[9]朱维申,李术才,程 峰.能量耗散模型在大型地下洞群施工顺序优化分析中的应用[J].岩土工程学报,2001,23(3):333-336.ZHU Weishen,LI Shucai,CHENG Feng.Application of energy dissipation model to optimization of construction order for large underground caverns[J ].Chinese Journal of Geotechnical Engineering,2001,23(3):333-336.

[10]朱志洁,张宏伟,陈 蓥,等.综放开采覆岩大结构作用下的冲击地压形成机制[J].煤炭科学技术,2018,46( 5):54-59 ZHU Zhijie,ZHANG Hongwei,CENG Ying,et al.Mechanism study of rock burst induced by overburden large structural action of fully-mechanized caving mining[J].Coal Science and Technology,2018,46( 5):54-59.

[11]周光文,刘文岗,姜耀东,等,采场冲击地压的能量积聚释放特征分析[J].采矿与安全工程学报,2008,25(1):73-77,81.ZHOU Wenguang,LIU Wengang,JIANG Yaodong,et al.Characteristics of energy accumulation and release of rock outburst in mining face[J].Journal of Mining & Safety Engineering,2008,25(1):73-77,81.

[12]姜耀东,朱 辉,张光明.深部厚层坚硬顶板破断采场聚压及能量演化规律研究[J].山东煤炭科技,2016(6):9-12.JIANG Yaodong,ZHU Hui,ZHANG Guangming.Study on law of the pressure and energy evolution of the roken stope in deep thick layer[J].Shandong Coal Science and Technology,2016(6):9-12.

[13]徐芝纶.弹性力学简明教程[M].北京:高等教育出版社,1980.

[14]沈明荣,陈建峰.岩体力学[M].上海:同济大学出版社,1999:52-54.

[15]马念杰,马 骥,赵志强,等.X 型共轭剪切破裂-地震产生的力学机理及其演化规律[J].煤炭学报,2019,44(6) :1647-1653.MA Nianjie,MA Ji,ZHAO Zhiqiang,et al.Mechanical mechanism and evolution of X-shaped conjugate shear fracturesseism[J].Journal of China Coal Society,2019,44( 6):1647-1653.

[16]师皓宇,马念杰,石建军,等.应力增量触发断层岩体能量释放模拟与地震成因探讨:以龙门山断裂带为例[J].地震学报,2019,41(4): 502-511.SHI Haoyu,MA Nianjie,SHI Jianjun,et al.Simulation on energy release of fault rock mass triggered by stress increment and discussion on seismogenesis: Taking Longmenshan fault zone as an example[J].Acta Seismologica Sinica,2019,41(4):502-511.

[17]师皓宇.龙门山断裂带形成的力学机制及其量化分析[D].北京:中国矿业大学(北京),2020.

[18]曹民远,陈建强,闫瑞兵,等.基于数据分析的近直立煤层冲击地压致灾因素研究[J].煤炭科学技术,2019,47(12):32-37.CAO Minyuan,CHEN Jianqiang,YAN Ruibing,et al.Study on factors affecting rock burst of sub-erectcoal seam based on data analysis[J].Coal Science and Technology,2019,47(12):32-37.

[19]王 涛,韩 煊,赵先宇,等.FlAC3D 数值模拟方法及工程应用:深入剖析 FLAC3D 5.0[M].北京:中国建筑工业出版社,2015.

[20]杨铭键,余贤斌,黎剑华.基于ANSYS 与 FLAC 的边坡稳定性对比分析[J].科学技术与工程,2012,24(12):6241-6244.YANG Mingjian,YU Xianbin,LI Jjianhua.Comparative analysis for slope stability by ANSYS and FLAC[J].Science Technology and Engineering,2012,24(12):6241-6244.

[21]马念杰,赵希栋,赵志强,等.掘进巷道蝶型煤与瓦斯突出机理猜想[J].矿业科学学报,2017,2(2):137-149.MA Nianjie,ZHAO Xidong,ZHAO Zhiqiang,et al.Conjecture about mechanism of butterfly-shape coal and gas outburst in excavation roadway[J].Journal of Mining Science and Technology,2017,2(2):137 -149.

[22]师皓宇,马念杰,许海涛.基于能量理论的煤与瓦斯突出机理探讨[J].中国安全科学生产技术,2019,15(1): 88-92.SHI Haoyu,MA Nianjie,XU Haitao.Mechanism Research on Coal and gas outburst based on Energy theory.Journal of Safety Science and Technology,2019,15(1):88-92.

[23]涂义亮,刘新荣,钟祖良,等.三类边坡失稳判据的统一性[J].岩土力学,2018,39(1):1-9.TU Yiliang,LIU Xinrong,ZHONG Zuliang,et al.The unity of three types of slope failure criteria[J].Rock and Soil Mechanics,2018,39(1):1-9.

[24]翁 磊,李夕兵,周子龙,等.屈曲型岩爆的发生机制及其时效性研究[J].采矿与安全工程学报,2016,33(1):172-178.WENG Lei,LI Xibing,ZOU Zilong,et al.Occurrence mechanism and time-dependency effect of buckling rock burst[J].Journal of Mining & Safety Engineering,2016,33(1):172-178.

[25]池秀文,杨剑锋,郭继琼,等.基于能量释放理论的采场顶板极限跨距研究[J].中国矿业,2016,25(1):87-91.CHI Xiuwen,YANG Jianfeng,GUO Jiqiong,at al.Research into the limit span of the stope roof based on the energy release theory[J].China Mining Magazine,2016,25(1):87-91.

Simulation study on energy evolution and release of surrounding rock in stope

SHI Haoyu1,2,MA Nianjie2,SHI Jianjun1,LI Nan1,TAN Guowen3

(1.North China Institute of Science and TechnologyBeijing 101601,China;2.School of Resources and Safety EngineeringUniversity of Mining and Technology-Beijing Beijing 100083, China,3.Chongqing Research InstituteChina Coal Technology and Engineering GroupChongqing 400037,China)

Abstract:The strain energy of rock mass is a comprehensive physical quantity that integrates principal stress,elastic modulus and Poisson′s ratio,which can better explain the dynamic phenomena in mining process.In order to reveal the energy evolution process and release law of stope surrounding rock during mining process,a calculation method of energy evolution and releasing is derived based on rock mass strain energy theory.A numerical calculation model is established with No.3 of the Pingshuo Coal Mine as engineering background and the energy change of surrounding rock of the stope at different mining times were simulated.The results show:① The peak strain energy of the surrounding rock gradually moves forward as the working face advances,and the peak of coal seam energy is mainly concentrated within 8 m in front of the coal wall; The strain energy of the coal seam is relatively high,and the energy value in the hard rock layers of the top and bottom is relatively low;② After excavation,the energy release zone is above cut-eye,and the energy accumulation zone is in front and behind the cut-eye; In terms of local quality conditions,when the working face is in normal mining condition,the main energy release zone is within 8 m above the coal wall of the working face,the main accumulation zone of energy is within 2~8 m in front of the coal wall.Therefore,it is necessary to support the coal wall timely to prevent the roof falling caused by the rapid release of its energy,and to take measures to control the stress concentration in front of the coal wall with the tendency of dynamic disasters.

Key words: stope surrounding rock; strain energy; energy evolution; energy release

中图分类号:TD31

文献标志码:A

文章编号:0253-2336(2020)03-0106-06

移动扫码阅读

师皓宇,马念杰,石建军,等.采场围岩能量演化及释放模拟研究[J].煤炭科学技术,2020,48(3):106-111.doi:10.13199/j.cnki.cst.2020.03.011

SHI Haoyu,MA Nianjie,SHI Jianjun,et al.Simulation study on energy evolution and release of surrounding rock in stope[J].Coal Science and Technology,2020,48(3):106-111.doi:10.13199/j.cnki.cst.2020.03.011

收稿日期:2019-03-21;

责任编辑:杨正凯

基金项目:国家自然科学基金资助项目(51674119);中央高校基本科研业务费资助项目(3142018022);河北省自然科学基金资助项目(E2016508003)

作者简介:师皓宇(1979—),男,内蒙古化德人,副教授,博士。 E-mail:shihaoyu2000@163.com

通讯作者:李 楠(1978—),男,河北三河人,讲师。 E-mail:linan78@ ncist.edu.cn