薄煤层采煤机鼓形滚筒装煤性能研究

徐盼盼1,刘送永1,刘洋洋2

(1.中国矿业大学机电工程学院,江苏徐州 221116;2.徐州徐工基础工程机械有限公司,江苏徐州 221004)

摘 要:为解决薄煤层采煤机装煤效果差的问题,对鼓形滚筒进行优化设计,提出将累积装煤率作为评价采煤机装煤能力的指标,采用离散元法对传统滚筒与鼓形滚筒进行装煤效果的仿真研究,分析了传统滚筒与鼓形滚筒的装煤效率,最后对2 种滚筒装煤效率和块煤率进行试验研究。 试验结果表明:随着鼓形滚筒筒毂锥顶半角β 的增大,其装煤效率呈现出先增大后减小的趋势,且当筒毂锥顶半角β =10°时,鼓形滚筒的装煤效率最高;与普通形滚筒相比,所优化设计的鼓形滚筒的截割比能耗更小、块煤率更大、装煤效率更高。 研究结果可为薄煤层采煤机滚筒的选择和设计提供参考依据。

关键词:薄煤层采煤机;鼓形滚筒;离散元法;装煤效率;块煤率

0 引 言

我国薄煤层可采储量约为60 多亿t,占全国煤炭总储量的19%[1]。 目前,薄煤层开采主要涉及截割性能和装煤能力2 个研究主题。 对于薄煤层的多夹矸问题,国内外学者已做了大量研究分析了截割运动参数[2-4]、截齿布置[5-6]、截割角等[7-8]对滚筒截割性能的影响,且已基本满足采煤机滚筒的截割性能要求。 但由于薄煤层的煤层厚度较小,这就使得薄煤层开采过程中使用的采煤机滚筒直径通常要小于中厚煤层采煤机,即叶片宽度较小,导致滚筒装煤率低下从而影响整机生产率的提高。 因此,如何提高滚筒的装煤性能成为薄煤层采煤机研究的热点问题[9-10]。 关于滚筒的装煤性能国内外学者主要做了如下研究:AYHAN 等[11]利用井下试验的方法分析了操作参数和结构参数分别对锥形筒毂滚筒和圆柱形筒毂滚筒装煤能力的影响,得出结构参数对滚筒装煤能力更加显著的结论。 OWEN 等[12]利用三维离散元软件模拟了螺旋输送机不同倾角、不同转速、不同充填率下颗粒的运动、分布状态和能量消耗。 刘送永等[13]采用正交试验方法研究了滚筒螺旋升角、转速和牵引速度对采煤机装煤和截煤性能的影响。 赵立钧等[14]分析了滚筒直径、筒体直径、叶片螺旋角以及条数对滚筒装煤性能的影响,并对已有滚筒提出改进措施。 高魁东[15]分析了滚筒结构参数和工作参数对滚筒装煤性能的影响规律,并给出了滚筒最小和最大理论转速、最大理论截深以及循环煤系数的计算公式,为滚筒的结构设计和工作参数选择提供了依据。 文献[16-17]运用EDEM对采煤机滚筒装煤效果进行仿真研究,结果表明:采煤机装煤效率随转速增大呈现先增后减的趋势,随截深增大而增大。 田震等[18]建立了螺旋滚筒与煤壁的装煤离散元仿真模型,探讨螺旋滚筒结构及运动学参数等因素对煤流运动规律的影响。 赵丽娟等[19]基于PRO/E 与EDEM 建立了采煤机截割部的离散元仿真模型及煤壁模型,模拟了采煤机截割、破碎煤岩的复杂过程。

以上学者的研究,探究了影响传统滚筒装煤性能的因素且指明滚筒结构对装煤能力影响很大,但很少有人涉及筒毂结构的设计分析。 基于薄煤层的特点和以上问题,笔者对鼓形滚筒进行优化设计,提出了将累积装煤率作为评价采煤机装煤能力的指标来验证设计的合理性;进一步采用离散元法对比分析了鼓形滚筒与传统滚筒的装煤效率;最后,采用旋转截割试验台对比分析了鼓形滚筒与传统滚筒的装煤效率、块煤率、截割比能耗,来验证所设计的鼓形滚筒的良好装煤性能。

1 滚筒装煤的理论分析

由于薄煤层开采时煤层厚度较小,需减小采煤机滚筒直径,即缩减叶片宽度,故直接导致其装煤率降低。 采煤机开采时,虽然沿滚筒轴线方向的落煤量较均匀,但通过各断面的煤流量却随其离卸载端的距离减小而线性增大,对于传统圆柱形滚筒而言,其各处断面面积无差,将其应用于薄煤层开采,势必会导致堵塞现象,降低装煤率。 鉴于此,本课题组优化设计的鼓形滚筒很好地解决了此问题,采煤机鼓型滚筒及其叶片排列分别如图1 和图2 所示。

由图1 可知,其结构特点是从采煤面到采空面,滚筒叶片深度沿着滚筒剖面线性增大,过煤空间也越来越大,并在排放处达到最大值。 由图2 可以看出截面C 处的空间大于截面A 处,即2 个叶片的间隙也在逐渐增大,这与煤流的变化规律相适应,可有效解决煤流拥挤问题,提高滚筒的装煤率,减少煤的重复破碎,增大煤的块度。

图1 鼓形滚筒示意
Fig.1 Schematic of globoid drum

图2 鼓形滚筒叶片排列示意
Fig.2 Arrangement of blade in globoid drum

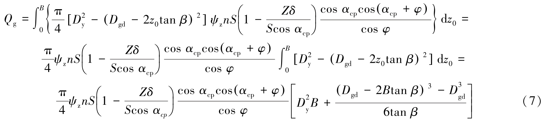
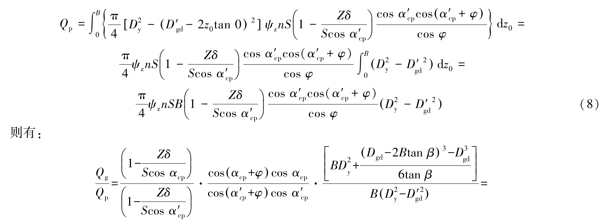
以下进一步分析,来验证其装煤能力的优越性。以装煤生产率来衡量装煤能力,其值由煤流的轴向速度va和煤流的实际断面面积S0确定,即装煤生产率Qz

如图3 所示,当煤块在滚筒中按转速n 旋转时,它在叶片推动下获得圆周速度v1和沿叶片相对滑动速度,其合成速度为考虑到煤块与叶片间的摩擦力使减小为v21,这时它的合成速度变为vn,且偏离法向一个φ 摩擦角。

图3 煤块在叶片上的运动分析
Fig.3 Analysis of coal lump moving on blade

根据以往学者的研究[20],得煤流轴向速度为

式中:n 为转速;αcp为叶片平均升角;S 为螺旋叶片导程,且 S =πDcptan αcp(Dcp为叶片平均直径);φ 为摩擦角。

螺旋叶片是由半径不相同的无数条螺旋线构成的曲面,鼓形滚筒的螺旋线为圆锥螺旋线。 对于单头螺旋叶片,用zz0的平面E-E 去截螺旋叶片,如图4 所示。 它与螺旋面的内外螺旋线分别相交于abcd 点。

图4 单头螺旋鼓形滚筒
Fig.4 Single-head spiral globoid drum

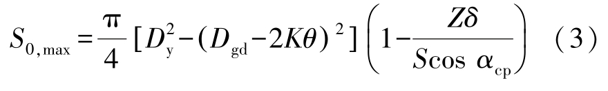
根据以往学者的研究,对于具有Z 头螺旋叶片的滚筒,其最大可能煤流断面积S0,max

式中:Dy为螺旋叶片外直径;Dgd为螺旋叶片大端直径,m;K 为常数,且(β 为鼓形滚筒轮毂锥顶半角);θ 为截线 bc 的极坐标转角,0°θ<360°,且 θ = 2πz0/SZ 为螺旋叶片头数;δ 为螺旋叶片厚度。

根据充满系数的定义,煤流实际断面面积为

其中,ψz 为煤流的充满系数。 将式(2)—式(4)代入式(1)可得鼓形滚筒的装煤生产率Qz

由于式(5)等号右边乘的每一项因式都是正值,显然,θ 值随鼓形滚筒上位置变化而发生变化,当且仅当 θ θmax,即在采空面时 Qz为最大,这与煤流的变化规律相适应。 由于对于具体的鼓形滚筒,αcpφDyDgdδZψzSβn 都为定值,而有

将式(6)代入式(5)并沿z 轴进行积分得鼓形滚筒累积装煤率为

其中,B 为螺旋滚筒截深。 对于同等规格的普通滚筒,其具有相同的 SBDyδZψzφn,其中β =0,设其叶片平均升角为、螺旋叶片大端直径为,故普通滚筒累积装煤率为

因为本文仿真和试验中使用的滚筒结构参数均为:Dy = 0.53 m,Dgd = 0.33 m, = 0.265 m,β = 10°,B = 0.25 m,αcp = 21.3°, = 19.66°,Z = 2,δ = 0.03,S =0.4461 m,φ =16°。 将以上数据代入式(9)计算得:Qg/Qp =1.088 5,即鼓形滚筒的装煤能力比普通滚筒提高了8.85%。

2 滚筒装煤仿真分析

2.1 仿真模型建立

由于滚筒的结构比较复杂,在EDEM 界面里建立模型以及安装定位截齿比较困难。 因此借助CREO 生成鼓形滚筒和普通形滚筒的三维模型,并将模型导入EDEM 中。 本仿真煤壁的填充颗粒半径取7.5 mm 且接触黏结半径取9.5 mm,颗粒和墙体的法向刚度和切向刚度取相同值[21],如图5 所示,煤壁内的煤颗粒间通过黏结键紧紧黏在一起,这样就确保了颗粒在被截齿截割之前不会发生崩塌。

笔者设计滚筒为右旋旋向,叶片齿分布在8 条截割线上,叶片头数为2,故叶片齿共16 个。 端盘齿有4种类型,均布于12 条截割线上,故端盘齿共12 个。 即滚筒共28 个截齿。 鼓形滚筒结构参数见表1。

图5 煤颗粒黏结键示意
Fig.5 Schematic of bond between coal particle

表1 鼓形滚筒结构参数
Table 1 Structural parameters of globoid drum

叶片平均升角/(°)螺旋叶片外直径/mm螺旋叶片大端直径/mm螺旋叶片厚度/mm 21.3 530 330 30

普通圆柱形滚筒筒毂直径为265 mm,叶片平均升角为19.66°,其余参数与鼓形滚筒保持一致。 滚筒仿真材料参数见表2。

表2 滚筒仿真材料参数
Table 2 Simulation material parameters of drum

煤材料参数 滚筒材料参数 煤与其他材料的交互系数 滚筒与其他材料的交互系数密度/(kg·m-3)泊松比 剪切模量/MPa密度/(kg·m-3)泊松比 剪切模量/MPa恢复系数静摩擦因数滚动摩擦因数恢复系数静摩擦因数滚动摩擦因数1 520 0.5 38.4 7 800 0.3 70 0000.5 0.6 0.05 0.5 0.4 0.05

滚筒装煤仿真中颗粒与几何模型的接触本构模型选择Hertz-Mindlin (no slip)模型,煤粒间的接触模型选择Hertz-mindlin with bonding,接触模型非常适用于颗粒的破碎仿真,且接触模型的参数设置见表3。

表3 颗粒间接触模型参数
Table 3 Parameters of contact model between particles

单位面积法向刚度/Pa单位面积剪切刚度/Pa法向刚度/Pa切向刚度/Pa半径/mm 1.437×107 5.06×106 5×105 5×105 7.5

滚筒截煤仿真模型如图6 所示。

图6 滚筒装煤模型
Fig.6 Coal loading models of drums

综合考虑煤岩旋转截割试验台所限制的功率和经济性原因,本文的滚筒是按1︰3 等比缩放后的。仿真时保证两滚筒的最大直径均为530 mm,截深均为250 mm。 由于仿真中煤壁截落后不会出现试验中的体积膨胀,为减小这一现象对滚筒装煤过程的影响,将仿真中滚筒的牵引速度按照实际煤壁的体积膨胀情况进行扩大,即如果试验牵引速度为1 m/min,那么仿真中所采用的牵引速度为1.27 m/min,滚筒转速不变,仍为80 r/min,仿真时间为10 s。

2.2 仿真结果分析

为了说明鼓形滚筒装煤效果,分别对鼓形滚筒与普通形滚筒装煤进行仿真,以鼓形滚筒的侧视图为例,如图7 所示,其仿真过程显示了其靠近采空区的B 区域煤量显然多于采煤工作面的A 区域煤量,对于普通形滚筒,其靠近采空区的过煤空间相对较少,势必会造成煤流的拥挤和散落。

图7 鼓形滚筒装煤过程
Fig.7 Loading process of globoid drum

为了探究滚筒的装煤性能并获得最优的鼓形滚筒筒毂倾角,现仅就评价滚筒装煤性能优劣的重要指标装煤效率来加以统计。 装煤效率指的是有效装煤质量与开采总质量的比值。 现对滚筒筒毂锥顶半角β 以5°为一个增量做5 组结构的装煤仿真,仿真结果见表4。

表4 不同倾角的鼓形滚筒装煤效果仿真对比
Table 4 Simulation comparison of loading effect of drums with different inclination angles

锥顶半角β/(°)牵引速度/(m·min-1)转速/(r·min-1)开采总质量/kg有效装煤质量/kg装煤效率/%0 1.27 80 30.2 18.72 61.99 5 1.27 80 30.2 20.12 66.62 10 1.27 80 30.2 21.29 70.5 15 1.27 80 30.2 20.6 68.2 20 1.27 80 30.2 19.81 65.6

由于β =0°对应的为普通形滚筒,其余都是鼓形滚筒。 从表4 可以看出,4 种鼓形滚筒的装煤效率均高于普通形滚筒,且鼓形滚筒的装煤效率随筒毂锥顶半角β 的增大呈现先增大后减小的趋势,且当筒毂锥顶半角β =10°时,鼓形滚筒的装煤效率最高,为70.5%,此时普通形滚筒的装煤效率为61.99%,故相同装煤方式下鼓形滚筒的装煤效率要比普通形滚筒高8.51%,验证了鼓形滚筒的良好装煤能力。

3 滚筒装煤试验及结果分析

为了验证滚筒装煤仿真的准确性,试验将使用旋转截割试验台对滚筒装煤进行试验验证,试验台的原理如图8 所示。 试验用煤壁材料抗压强度为1.26 MPa,弹性模量为 115.2 MPa,密度为 1 520 kg/m3

图8 旋转截割试验台原理
Fig.8 Principle of rotary cutting test bench

1—拉线传感器;2—截割电机;3—联轴器;4—动态转矩传感器;5—减速器Ⅰ;6—轴承座;7—电涡传感器;8—滚筒;9—煤壁;10—减速器Ⅱ;11—液压马达;12—油压力传感器;13—PLC 智能控制中心;14—液压泵站;15—配电柜;16—动态采集仪;17—采集计算机

由于旋转截割试验台与采煤机滚筒实际工况下的装煤环境相差很大,无法按照真实的采煤情况来统计试验滚筒截落的煤。 经过系统分析,为了减少试验误差,如图9 所示。

图9 试验台有效装煤区域示意
Fig.9 Schematic of available coal-loading area of test bench

对试验中滚筒的有效装煤质量的统计区域进行划分,在牵引方向上,有效装煤区从轴承座的滚筒截煤侧开始,在滚筒轴向上,有效装煤区域从煤壁边缘开始。 该统计区域的划分方法忽略了实际情况下出煤口到刮板输送机中部槽的距离,但降低了因出煤口煤体堆积不同而导致的统计误差。

另外,该划分方法还忽略了从滚筒后半侧和从滚筒后侧浮煤区落到滚筒截深外的煤量。 薄煤层采煤机的滚筒直径较小、摇臂厚度相对较大,在前滚筒截割输煤过程中从滚筒后半侧输出的煤和滚筒后侧的浮煤,由于受到摇臂的阻挡无法进入刮板输送机内,因此,按照本划分方法获得的试验结果与采煤机前滚筒的工作情况更为相近。

与仿真条件相一致,试验过程中鼓形滚筒与普通形滚筒转速均为80 r/min,牵引速度均为1.0 m/min。 为评价鼓形滚筒的装煤性能,对试验结果进行统计分析。 统计鼓形滚筒与普通形滚筒截煤装煤过程的转矩均值、有效装煤质量、开采总质量,并计算装煤效率、截割比能耗,结果见表5。

表5 滚筒装煤性能对比
Table 5 Comparison of drum loading performance

滚筒类型转矩均值/(N·m)有效装煤质量/kg开采总质量/kg装煤效率/%截割比能耗/(kW·h·m-3)普通滚筒 319.6 47.08 75.81 62.1 1.09鼓形滚筒 295.4 61.33 87.11 70.4 0.98

从表5 可以看出,鼓形滚筒截煤过程中所受转矩均值、截割比能耗要小于普通形滚筒,装煤效率要比普通形滚筒高8.3%,试验结果验证了仿真的正确性。

块煤率是衡量煤炭质量的一个重要标准,2008年 9 月全国各煤矿煤炭价格显示,5 ~ 15、15 ~ 25、25~50 mm 三种粒度块煤售价分别约为960、1 250和1 500 元/t[22]。 块煤率越高,煤炭的价格越高,对提高企业的经济效益具有重要作用;并且块煤率越大,粉尘量越小,对改善工人的工作环境和提高采煤时的安全性具有重要意义。 为此,对块煤率进行试验研究,对滚筒每组试验截落的碎煤进行块度分级处理,透过筛孔直径dms的碎煤在总截落煤中的质量百分比,称为截割块度累积率。 截割粒度以5 mm为增量分级,如图10 所示。

对滚筒截落的碎煤进行截割块度累积率统计,统计结果见表6。 从表6 可以看出,鼓形滚筒截煤过程中的大块煤所占比例更大,如果假定截割直径大于15 mm 的碎煤质量占总采煤量的质量百分比为块煤率,则普通形滚筒截煤的块煤率为13.87%,鼓形滚筒的块煤率为18.2%,即鼓形滚筒装煤的块煤率要高于普通形滚筒。

图10 煤截割粒度分级
Fig.10 Size grading of coal cutting

表6 截落煤的截割块度累积率
Table 6 Cumulative rate of coal cutting lumpiness

不同截割块度(单位mm)的累积率/%类型0~5 0~10 0~15 0~20 0~25 0~30普通滚筒 64.16 77.06 86.13 89.46 93.53 96.37鼓形滚筒 52.13 64.29 81.80 89.55 93.71 97.01

4 结 论

1) 提出将累积装煤率作为评价滚筒装煤效果的指标,对优化后的鼓形滚筒和同规格的普通滚筒进行理论计算,得出鼓形滚筒装煤能力比普通滚筒高8.85%。

2)离散元法仿真验证了鼓形滚筒的装煤效率优于普通形滚筒,且鼓形滚筒的装煤效率随筒毂锥顶半角β 的增大呈现先增大后减小的趋势,且当β =10°时,鼓形滚筒的装煤效率最高为70.5%,此时普通形滚筒的装煤效率为61.99%,故相同装煤方式下鼓形滚筒的装煤效率要比普通形滚筒高8.51%。

3)截割参数相同时,试验结果与仿真相一致,与普通滚筒相比,鼓形滚筒截割比能耗较小、块煤率较大且装煤效率提高8.3%,即验证了所设计的鼓形滚筒具有较好的装煤性能。

参考文献(References):

[1]杨胜利,张康宁,李良晖.薄煤层M 形工作面连续旋转开采技术[J].煤炭科学技术,2018,46(1):105-111.YANG Shengli,ZHANG Kangning,LI Lianghui.Technology of continuous rotation mining in M-shape working face of thin coal seam[J].Coal Science and Technology,2018,46(1):105-111.

[2]MENEZES P L,LOVELL M R,AVDEEV I V,et al.Studies on the formation of discontinuous chips during rock cutting using an explicit finite element model[J].The International Journal of Advanced Manufacturing Technology,2014,70(4): 635-648.

[3]张 强,刘志恒,王海舰,特.基于截齿振动及温度特性的煤岩识别研究[J].煤炭科学技术,2018,46(3):1-9,18.ZHANG Qiang,LIU Zhiheng,WANG Haijian,et al.Study on coal and rock identification based on vibration andtemperature features of picks[J].Coal Science and Technology,2018,46(3):1-9,18.

[4]刘旭南,赵丽娟,周文潮,等.运动学参数对滚筒截割夹矸煤岩应力影响规律[J].煤炭学报,2018,43(10): 2926-2933.LIU Xunan,ZHAO Lijuan,ZHOU Wenchao,et al.Influence law of kinematic parameters on the stress of drum cutting coal gangue[J].Journal of China Coal Society,2018,43(10): 2926-2933.

[5]胡应曦,陈启梅.采煤机滚筒截齿配置及滚筒转速与牵引速度匹配关系的分析[J].贵州工业大学学报:自然科学版,2001,30(6): 15-18.HU Yingxi,CHEN Qimei.Analysis of matching relationship between cutter configuration and roller speed and traction speed of shearer drum[J].Journal of Guizhou University of Technology:Natural Science Edition,2001,30(6): 15-18.

[6]刘送永,杜长龙,崔新霞.采煤机滚筒截齿排列的试验研究[J].中南大学学报:自然科学版,2009,40(5): 1281-1287.LIU Songyong,DU Changlong,CUI Xinxia.Experimental research on picks arrangement of shearer drum[J].Journal of Central South University:Natural Science Edition,2009,40(5): 1281-1287.

[7]王 想,王清峰,梁运培.截割参数对镐型截齿截割比能耗的影响[J].煤炭学报,2018,43(2): 563-570.WANG Xiang,WANG Qingfeng,LIANG Yunpei.Effects of cutting parameters affecting on specific cutting energy of conical picks[J].Journal of China Coal Society,2018,43(2): 563-570.

[8]刘送永,杜长龙,薛玉刚,等.深井高应力煤岩阶梯形滚筒:CN104712334A[P].2017-04-19.

[9]王玉宝.影响小直径滚筒采煤机装煤性能因素分析[J].中国煤炭,2006,32(9): 48-49.WANG Yubao.Analysis the factors of coal capacity of small diameter drum of shearer[J].China Coal,2006,32(9): 48-49.

[10]赵丽娟,马 强,刘旭南,等.新型薄煤层采煤机装煤量与可靠性研究[J].机械设计,2014,31(7): 97-101.ZHAO Lijuan,MA Qiang,LIU Xunan,et al.Coal capacity and reliability research on a new shearer working in shin coal seam[J].Journal of Machine Design,2014,31(7): 97-101.

[11]AYHAN M,EYYUBOGLU E M.Comparison of globoid and cylindrical shearer drums′loading performance[J].The Journal of The South African Institute of Mining and Metallurgy,2006,106(1): 51-56.

[12]OWEN P J,CLEARY P W.Prediction of screw conveyor performance using the Discrete Element Method (DEM)[J].Powder Technology,2009,193(3): 274-288.

[13]LIU S,DU C,ZHANG J,et al.Parameters analysis of shearer drum loading performance[J].International Journal of Mining Science and Technology,2011,21(5): 621-624.

[14]赵立钧,刘晓龙,赵燕燕.采煤机滚筒参数对装煤效果的影响[J].煤矿机械,2012,33(10): 94-95.ZHAO Lijun,LIU Xiaolong,ZHAO Yanyan.Influence of drum parameters of coal shearer on coal loading effect[J].Coal Mine Machinery,2012,33(10): 94-95.

[15]高魁东.薄煤层滚筒采煤机装煤性能研究[D].徐州:中国矿业大学,2014.

[16]GOSPODARCZYK P.Modeling and simulation of coal loading by cutting drum in flat Seams[J].Archives of Mining Sciences,2016,61(2): 365-379.

[17]毛 君,刘歆妍,陈洪月,等.基于EDEM 的采煤机滚筒工作性能的仿真研究[J].煤炭学报,2017,42(4): 1069-1077.MAO Jun,LIU Xinyan,CHEN Hongyue,et al.Simulation of shearer drum cutting performance based on EDEM[J].Journal of China Coal Society,2017,42(4): 1069-1077.

[18]田 震,赵丽娟,刘旭南,等.基于离散元法的螺旋滚筒装煤性能研究[J].煤炭学报,2017,42(10): 2758-2764.TIAN Zhen,ZHAO Lijuan,LIU Xunan, et al.Loading performance of spiral drum based on discrete element method[J].Journal of China Coal Society,2017,42(10): 2758-2764.

[19]赵丽娟,赵名扬.薄煤层采煤机装煤性能研究[J].煤炭学报,2017,42(7): 1892-1898.ZHAO Lijuan,ZHAO Mingyang.Loading performance of thin seam shearer[J].Journal of China Coal Society,2017,42(7):1892-1898.

[20]王传礼,王鸿萍.新型螺旋滚筒装煤性能的理论研究[J].煤矿机械,2001(2): 15-17.WANG Chuanli,WANG Hongping.Theoretical study on the coal loading performance of a new type spiral drum[J].Coal Mine Machinery,2001(2): 15-17.

[21]王国强,郝万军,王继新.离散单元法及其在EDEM 上的实践[M].西安: 西北工业大学出版社,2010.

[22]李晓豁,高 健.采煤机运动参数对块煤产量的影响[J].煤炭学报,2009,34(9): 1268-1270.LI Xiaohuo,GAO Jian.Effect of kinematics parameters of shearer on lump coal production[J].Journal of China Coal Society,2009,34(9): 1268-1270.

Research on coal loading performance of globoid drum in thin coal seam shearer

XU Panpan1,LIU Songyong1,LIU Yangyang2
(1.School of Mechatronic EngineeringChina University of Mining and TechnologyXuzhou 221116,China;2.Xuzhou Xugong Foundation Engineering Machinery Co.Ltd.Xuzhou 221004,China)

Abstract: In order to solve the problem of poor coal loading effect of thin coal seam shearers,the optimal design of globoid drum was carried out.The cumulative coal loading rate was used as an index to evaluate coal loading capacity of shearer,and a simulation study of loading effect of the traditional roller and goloboid drum was carried out with the discrete element method.The coal loading efficiency of the traditional drum and the globoid drum was analyzed and finally,coal loading efficiency and lump coal rate of the two drums were tested.The test results show that with the increase of one half angle β of the globoid drum,the coal loading efficiency increases first and then decreases,and when cone half angle of globoid drum is β=10°,its coal loading efficiency is the highest; compared with the traditional drum,the optimal design of the globoid drum has lower specific energy consumption,larger lump coal rate and higher coal loading efficiency.The research results provide a reference for the selection and design of thin coal seam shearer rollers.

Key words: thin seam coal shearer;globoid drum; discrete element method;coal loading efficiency; lump coal rate

中图分类号:TD163

文献标志码:A

文章编号:0253-2336(2020)03-0093-07

移动扫码阅读

徐盼盼,刘送永,刘洋洋.薄煤层采煤机鼓形滚筒装煤性能研究[J].煤炭科学技术,2020,48(3):93-99.doi:10.13199/j.cnki.cst.2020.03.009

XU Panpan,LIU Songyong,LIU Yangyang.Research on coal loading performance of globoid drum in thin coal seam shearer[J].Coal Science and Technology,2020,48(3):93-99.doi:10.13199/j.cnki.cst.2020.03.009

收稿日期:2019-09-21;

责任编辑:赵 瑞

作者简介:徐盼盼(1992—),女,安徽滁州人,硕士研究生。 E-mail:ts17050027a3@cumt.edu.cn

作者简介:刘送永(1981—),男,河北石家庄人,教授,博士。 E-mail:liusongyong@ 163.com