井上下微震联合监测震源垂直定位精度优化研究

徐 刚1,2,陈法兵1,2,张振金3,王元杰1,2,李 岩1,2,陆 闯1,2,路洋波1,2

(1.天地科技股份有限公司开采设计事业部,北京 100013;2.中国煤炭科工集团有限公司,北京 100013;3.内蒙古伊泰集团有限公司,内蒙古 鄂尔多斯,017000)

摘 要:震源垂直定位位置是煤矿冲击地压机理研究的重要基础数据,对冲击地压灾害的监测与防治研究具有重要意义。 对于近水平煤层工作面,由于各微震台站之间高差较小,导致在进行震源定位计算时,震源参数的偏微分矩阵接近奇异,迭代计算无法收敛到准确解。 对台站合理高差和无高差两种情况下的煤矿微震台网进行仿真模拟,结果表明当台网内台站处于同一水平面时,震源垂直位置的定位误差较大。 为了解决这个难题,笔者在井下微震监测台站的基础上,增加了地面微震监测台站,形成井上下联合监测台网,有效优化了微震监测台网的空间结构,尤其是台站在垂直方向上的分布效果。 对红庆河的微震数据进行分析可知对于2 次方的微震事件,井上下联合监测系统的监测效能可达90%,3 次方及以上的微震事件可达100%。 通过对比10 组井下断顶爆破引发的微震事件数据,发现井下微震监测系统定位结果基本位于煤层上方30 m 的封孔范围内,井上下微震联合监测系统定位结果基本位于煤层上方30~60 m 的爆破孔装药长度范围内;与单纯利用井下监测台站的定位结果相比,井上下微震联合监测系统的定位结果普遍距离真实震源更近,表明地面监测台站的加入有效提高了震源的垂直定位精度,解决了近水平煤层微震事件垂直定位误差较大的问题。

关键词:近水平煤层;微震监测;震源;垂直定位精度

0 引 言

震源垂直位置是微震震源的关键参数之一,它给出了垂直方向上震动发生的具体位置,对矿山动力灾害的研究具有重要作用。 可靠的震源垂直位置可以对微震事件的平面定位和发震时刻进行更好的约束[1];震源垂直位置是确定震动成因的关键依据,有助于工作面顶板活动和断裂规律的研究[2];震源垂直位置可以揭示能量释放层位,对冲击地压机理与防治的研究具有重要意义[3];同时,震源垂直位置也是震动危险评估的重要参数之一[4],垂直方向上震源距离煤层越近,震动所造成的破坏性就越强。

震源参数三要素之中,震源平面位置、发震时刻和震级已经可以准确的得到,但是震源垂直定位问题依然是地震学界一个棘手的难题[5-7]。 震源垂直定位精度受多种因素影响,如震相数据的读取精度、相对于震源的地震台网的空间几何分布、震源定位算法和波速结构等[8-10]。 在震相数据读取精度方面,孙茁等[11]利用sPn 震相对震源深度进行了精细定位;刘劲松等[12]通过AIC 算法优化了P 波初至的拾取精度,有效提高了震源垂直定位精度。 在台网布置方面,KIJKO[13]和巩思园等[14]通过对台网空间结构进行优化布置,大幅提高了震源垂直定位精度。在震源定位算法方面,基于三分量微震数据的偏振算法,可以对震源垂直定位进行有效的约束[15-16]。在波速结构方面,文献[17-18]通过速度模型和地震定位联合反演等方法改进了由于速度模型误差导致的理论走时计算误差;GREENSFELDER[19]提出了一种利用同一台站记录到的Pg 和Pn 波到时差确定震源深度的方法,取得了较好的效果。 此外,在速度模型较好的情况下,还可以利用P-S 波到时差优化震源垂直定位精度[20-22]

近水平煤层为倾角小于8°的煤层,主要分布于我国内蒙古和陕西等重要产煤基地。 对于近水平煤层,井下所有微震监测台站基本位于同一个水平面上,震源距离有效台网内的传感器普遍较近,在无法形成空间震源包络台网的条件下,很难通过改变影响震源垂直定位精度的其它因素实现垂直方向上的精确定位。 针对此问题,笔者提出了在常规井下微震监测的基础上,在地面布置微震监测台站,进行井下和地面微震的联合监测,提高微震台网在垂直方向上对待测区域的包络效果,优化台网的立体结构,以期提高震源垂直定位的精确性。

1 近水平煤层垂直方向微震定位误差分析

鄂尔多斯深部矿井的主采煤层属于典型的近水平煤层,煤层倾角均在5°以内,由于煤层赋存较深(≥600 m),煤层上方普遍存在厚层坚硬顶板,在高强度开采条件下,覆岩运动范围大且剧烈,造成采场多起强矿压和冲击地压灾害显现。 该区引进井下微震监测系统后,所有台站均布置于同一煤层工作面,通过大量的现场实测微震数据总结,为工作面冲击危险区域划分和监测预警提供了可靠的数据支撑,然而,微震垂直定位误差较大,增加了对覆岩运动规律和冲击地压机理研究的难度。 因此,以红庆河煤矿为工程背景,通过现场实测、理论分析和数值计算,分析井下微震监测系统的垂直定位误差。

1.1 微震震源垂向分布与覆岩活动的关系

红庆河煤矿位于内蒙古自治区鄂尔多斯市伊金霍洛旗境内,现主采3-1402 工作面,工作面埋藏深度在 700 m 左右,煤层倾角一般 1°~5°,为近水平煤层,煤层平均厚度为 6 m。 工作面走向长度为3 535 m,倾向长度为245.75 m。 煤层上方直接顶为23 m 的粉砂岩,基本顶为60 m 厚的中粒砂岩。 为了监测3-1402 工作面回采期间岩层活动情况,红庆河煤矿于2018 年在井下安装了ARAMIS M/E 微震监测系统,在垂直方向上微震台站高度差小于5 m。井下微震监测时微震事件倾向剖面图如图1 所示,工作面回采期间一定时间段内井下微震监测系统监测到的震动事件,图中显示几乎所有微震事件均处于煤层上方20 m 附近区域。

图1 井下微震监测时微震事件倾向剖面图
Fig.1 Microseismic event tendency profile underground microseismic monitoring

微震是煤岩介质失稳破裂过程中产生的弹性波在周围岩体快速释放和传播的动力现象,因此顶板的垮落和断裂都会发生微震事件。 煤层开采后,采空区四周原有应力平衡状态遭到破坏后将引起覆岩变形、破坏与移动,根据采空区覆岩移动破坏程度,自已采煤层向上依次发展为垮落带、导水裂隙带和弯曲下沉带(简称“三带”)[23],由于垮落带和导水裂隙带受采动的影响大,随着回采工作的进行会在短期内发生周期性挠曲、破裂和垮落运动,故垮落带和导水裂隙带发育高度和微震事件发生高度分布应该具有很好的一致性[24-25]。 根据红庆河煤矿“三带”实测数据可知,3-1402 工作面的垮落带发育高度为43.50 m,导水裂隙带发育高度为62.70 m,微震垂直定位结果与覆岩“三带”的现场实测情况不符,表明井下微震监测系统对震源的垂直定位误差较大。

1.2 近水平煤层震源垂直方向定位误差的理论分析

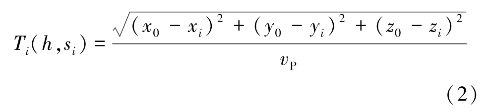
在煤矿井田范围尺度下通常选择比较容易辨认的P 波进行微震震源定位,与其他波相比,P 波波速最快,初至时间的确定误差较小,故定位精度较高。 假设煤岩体为均质、各向同性介质,即P 波波速在各个传播方向上保持不变。 微震P 波传播示意如图2 所示,从震源传播到台站的最短时间可由式(1)描述。

图2 微震P 波传播示意
Fig.2 P wave propagation diagram of microseism

式中:t0 为微震事件的发震时刻; h = (x0,y0,z0) 和si =(xi,yi,zi) 分别为震源和第 i 个微震台站的笛卡尔坐标; εi 为第 i 个台站的到时误差, i = 1,2,…,n ;T 为 P 波的走时。

对于均匀和各向同性速度模型,P 波自震源h到第i 个台站的走时Ti

其中,vP 为P 波波速,为已知常数。 式(2)有震源参数 θ=(t0,x0,y0,z0)4 个未知数,要解这个方程至少需要4 个观测站的数据。 θ 可以通过以下函数的最小值来估算:

这里 θ=(t0,x0,y0,z0)是被激发的台站数量进行求和得出,p 值≥1,一般情况下取p=2,也即最小二乘估计。

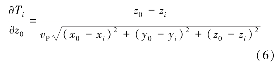
通过求解式(5)的最小值,所求的参数值为参数θ 的最小二乘估计。 为了估计,通常先提供尝试矢量θ(0),然后以校正矢量δθ(n)来更新尝试矢量θ(n),并减少目标 Φ(θ)的值,δ 为校正矢量系数。 对走时Ti(h,si) 应用一阶泰勒式线性化后,在每次迭代过程中:

式中:δr(n)为在空间内点θ(n)上的时间残差矢量;A为在θ(n)上计算的式(1)对参数θ 的(n×4)偏微分矩阵[24]

其中震源深度偏导数为

当煤层为近水平煤层时,所有拾震器位置的z坐标差距较小,也即从而导致A矩阵中第1 列和第4 列具有线性关系,继而导致A接近奇异矩阵,奇异矩阵不可逆,由于到时读数误差的存在,因此最终导致震源求解方程迭代过程中无法收敛于正确解。

1.3 基于D值最优化原则的震源垂直定位误差的数值仿真模拟

参数θ 的置信椭球体如式(7)为

是 θ 的估算值,constant 是一个来自 分布的适当的数值。 此式表达了在某一置信水平下的分布特征。 这个椭球体的体积与成比例。 D值最优化准则就是通过最小化尽可能减小椭球体的体积从而使震源参数的最小二乘估计达到最优。达到最小时的微震台站布置就是D 值最优化布置[26-27]

参数 θ 的协方差矩阵 C=β2(AT A)-1,β 为随机误差εi 的方差。 矩阵C 的主对角元素即为震源参数标准误差的估计值。

其中震中定位的标准误差为

震源垂直定位的标准误差为

不失一般性,假设工作面内共布置7 个微震监测台站,编号分别为 S1、S2、S3、S4、S5、S6、S7。 在其他影响因素不变的情况下,对台站无高差(也即水平煤层)和台站高差合理2 种情况进行震源垂直定位精度的数值仿真模拟,台站无高差和台站高差合理两种情况下的台站坐标见表1,震源垂直定位误差等值线图如图3 所示。

图3 震源垂直定位误差
Fig.3 Source vertical location error

表1 台站坐标
Table 1 Station coordinates

类别台站无高差坐标/m 合理高差坐标/m X Y Z X Y Z S1 470 450 -600 470 450 -500 S2 770 450 -600 770 450 -550 S3 1 070 450 -600 1 070 450 -600 S4 1 370 550 -600 1 370 550 -650 S5 1 070 650 -600 1 070 650 -700 S6 770 650 -600 770 650 -560 S7 470 650 -600 470 650 -620

通过对比图3a 和图3b 可知,台站无高差时,震源垂直定位误差较大,且工作面前方出现误差剧烈震荡区,最大误差达到2 000 m 以上。 当台站高差合理时,震源垂直定位误差较为理想,工作面大部分区域定位误差在10 m 以下。 充分表明合理的台站高差对震源垂直定位误差的重要影响,同时说明近水平煤层台网垂直定位误差太大,无法满足监测要求。

2 井上下微震联合监测

2.1 微震监测台站布置

红庆河煤矿受煤层地质条件限制,其ARAMIS M/E 井下微震监测系统台站均为单煤层近水平布置,造成井下微震监测系统在垂直层位上定位精度较差,很难满足对覆岩运动规律研究的要求。 井下微震监测台网布置如图4a 所示。

图4 井上下微震监测台网示意
Fig.4 Schematic diagram of ground and underground monitoring network

为了提升微震监测台网在垂直方向上的定位精度,在地面上布置了ARP 2000 P/E 微震监测台站,以改善微震监测台网在垂直方向上的高差,井上下微震联合监测台站布置如图4b 所示。 红庆河煤矿在地面共安装了5 个ARP 2000 P/E 地面微震监测系统台站,其中A1 台站位于3-1301 工作面附近,A2 台站位于3-1105 工作面切眼附近,A3台站位于3-1 105 工作面中部附近,A4 台站位于3-1403 工作面中部,A5 台站位于工业广场,联合已安装的ARAMIS M/E 井下微震监测系统,构建了井上下一体化微震监测台网,微震台站的平面分布如图5 所示。

2.2 井上下微震联合监测数据分析

1)微震联合监测台网监测效能分析2019 年8月27 日,井上下微震联合监测台网监测到断顶爆破施工的事件波形如图6 所示,能量为7.5×103 J。 其中 T15、T16、T11、T14、T12 和 T13 为井下监测台站;A1、A3、A4 为地面监测台站,可知本事件能够激发3个地面台站,地面波形呈现典型的低频特征,P 波初至清晰可辨。

图5 红庆河煤矿井上下微震联合监测台站布置
Fig.5 Layout of ground and underground microseismic joint monitoring station in Hongqinghe coal mine

图6 断顶爆破波形图
Fig.6 Wave of broken roof blasting

图7 统计了 2019 年 8 月 26 日至 2019 年 8 月30 日发生的402 个微震事件,其中能激发地面台站的有239 个,占比为59.5%。

图7 微震事件能量区间分布
Fig.7 Energy interval distribution of microseismic events

由图7 可知,未能激发地面台站的微震事件大部分能量在100 J 以下,且以0 次方居多,均为对现场危害较小的小能量事件。 而能激发地面台站的微震事件能量主要为1 次方及以上,且微震能量越大,激发地面台站越多。 因此可以得出结论能量大于100 J 的微震事件大部分可以激发地面台站,因此井上下微震联合监测可以有效监测到大部分100 J 以上的微震事件,满足现场需要。

为了更好地反应井上下微震联合监测台网对不同能量等级微震事件的监测能力,定义井上下微震联合监测台网的监测效能E 为

其中:Nk为能激发地面台站的微震事件数量;N为统计样本的事件总数。 红庆河煤矿井上下微震联合监测台网对不同能量等级微震事件的监测效能如图8 所示。 由于小能量事件震动传播距离较短,红庆河微震联合监测台网对于0 次方事件的监测效能较低,仅为19%;对于1 次方事件,监测效能达到69%,2 次方事件增加至90%,3 次方及以上微震事件监测效能为100%。

图8 台网监测效能
Fig.8 Monitoring effectiveness of station network

2)微震联合监测台网垂直定位分析。 在增加ARP 2000 P/E 地面微震监测台站前,分析了2019年8 月1 日—10 日采集到的2305 个微震事件的垂直层位分布情况,如图9 所示。

图9 井下微震监测下微震事件走向剖面投影
Fig.9 Positioning results of underground microseismic event strike profile

大部分微震事件位于3-1 煤层及其上方20 m范围内,仅有少量微震事件发展至垮落带边界以外区域。 2019 年8 月26 日井上下一体化微震监测台网构建完成,截止到2019 年10 月24 日,共监测微震事件2 923 个,其中微震事件能级为104 J 的有25个,大于105 J 的有8 个,发生在顶板中的微震事件有2 708个,占比93%,发生在煤层中有47 个,占比1%,发生在底板中有168 个,占比6%。 通过投影得到了微震事件走向垂直层位分布情况,如图10所示。

图10 微震联合监测下微震事件走向剖面投影
Fig.10 Distribution of(ground and)underground microseismic events on strike section

微震事件在垂直层位上主要分布在煤层上方110 m 范围内,最大达到 210 m,110 m 至 210 m 内微震事件呈现零星分布。 102 J 及以下微震事件主要分布在煤层顶板上方23 m 范围内,104 J 及以上事件主要发生在煤层上方23 ~84 m 的厚层中粒砂岩层内,而更上层的砂质泥岩内仅有少量零散分布的102 J 微震事件。 井上下微震联合监测所得的微震垂直分布特征与红庆河煤矿“三带”中导水裂隙带发育高度在110 m 左右的结果相吻合,与图9 的监测结果相比,井上下微震联合监测结果更符合覆岩运动规律和矿山井下实际情况。

3 井上下微震联合监测效果检验

为了量化井上下微震联合监测对微震事件垂直定位精度的优化程度,采用顶板爆破的方法检验微震联合监测的定位效果,以爆破震源与微震监测系统定位震源之间的距离大小衡量微震定位精度,两者距离越远,定位误差越大,反之则越小[24]。 自2019 年 8 月 22 日—9 月 2 日,在 402 工作面辅运巷煤柱帮侧共实施10 次顶板爆破,爆破钻孔布置方位如图11 所示,具体参数如下:

基于P 波到时的震源定位算法计算得出的震源点均为破裂起始点[28-29]。 同理,红庆河煤矿爆破方式为孔底起爆,因此孔底首先激发P 波并向外传播,由于P 波传播速度明显快于爆破的发展速度,因此拾震器接收到的P 波初至实际为孔底爆破所致。 10 次爆破的定位点倾向剖面图如图12 所示,其中红色圆球为井上下联合监测的定位点,黄色圆球为单纯利用井下台站计算得到的定位点。

仅采用井下微震监测系统对爆破事件进行定位,微震事件大部分位于煤层上方约23 m 厚的粉砂岩层内,其分布区域处于爆破孔封口长度范围内;同时采用井上下微震联合监测系统对爆破事件进行定位分析,微震事件全部位于煤层上方约60 m 厚的中粒砂岩层内,其分布区域处于爆破孔装药长度范围内。

因为两个炮孔同时起爆,因此无法确定哪个炮孔的孔底为真实震源。 但是可以通过计算定位点与两个炮孔孔底点的距离之和的平均值来反应定位误差。 图13 统计了爆破事件的震源定位误差的趋势图,可知对所有10 个爆破事件,井上下联合监测台网的定位效果均明显优于单纯井下台站的定位结果。

图11 402 辅运巷煤柱侧顶板爆破钻孔布置
Fig.11 Layout of blasting and drilling for side roof of No.402 auxiliary roadway

图12 爆破事件定位结果
Fig.12 Location of blasting event

4 结 论

图13 震源定位误差
Fig.13 Location error of focus

1)近水平煤层井下微震台站之间高度相差较小,震源参数的偏微分矩阵接近奇异,迭代计算无法收敛到准确解。 采用最优化数值仿真方法模拟了微震台站有高差和无高差两种情况的震源垂直定位精度,结果表明,微震台站处于同一水平面时,震源垂直方向的定位误差较大。

2)红庆河煤矿采用“ARAMIS M/E 井下微震监测系统+ARP 2000 P/E 地面微震监测台站”构建了井上下一体化微震监测台网,改善了微震监测台网在垂直方向上的高差,联合监测所得的微震垂直分布特征与红庆河煤矿“三带”观测得出的导水裂隙带发育高度在110 m 左右的结果相吻合。

3)井上下微震联合监测台网对于1 次方事件,监测效能为69%,2 次方事件可达90%,3 次方及以上微震事件监测效能为100%,因此联合监测台网可以满足矿方的监测要求。

4)采用爆破检验微震监测垂直定位精度时,井下微震监测系统定位结果基本位于煤层上方30 m的爆破孔封孔长度范围内,定位效果较差;井上下微震联合监测定位结果基本位于煤层上方30 ~60 m的爆破孔装药长度范围内。 相比井下微震监测台网,井上下联合监测台网的震源定位结果更加准确合理。

参考文献(References)

[1]SAIKIA C K,WOODS B B,THIO H K.Calibration of the regional crustal waveguide and the retrieval of source parameters using waveform modeling[J].Pure and Applied Geophysics,2001,158(7):1301-1338.

[2]于 雷,闫少宏.基于ARAMIS M/E 微震监测的大采高综放顶板活动规律[J].煤炭学报,2011,36(S2):293-298.YU Lei,YAN Shaohong.Roof activity law of large mining height fully mechanized caving based on Aramis M / E microseismic monitoring[J].Journal of China Coal Sociaty, 2011, 36 (S2):293-298.

[3]夏永学,潘俊锋.基于高精度微震监测的煤岩破裂与应力分布特征研究[J].煤炭学报,2011,36(2):239-243.XIA yongxue,PAN Junfeng.Study on characteristics of coal rock fracture and stress distribution based on high - precision microseismic monitoring[J].Journal of China Coal Sociaty,2011,36(2):239-243.

[4]郑 勇,谢祖军.地震震源深度定位研究的现状与展望[J].地震研究,2017,40(2):167-175.ZHENG Yong, XIE Zujun.Current situation and prospect of research on depth location of earthquake focus[J].Earthquake Research,2017,40(2):167-175.

[5]高 原,周蕙兰,郑斯华,等.测定震源深度的意义的初步讨论[J].中国地震,1997,13(4):321-329.GAO Yuan,ZHOU Huilan,ZHENG Sihua,et al.Preliminary discussion on the significance of determining focal depth[J].China Earthquake,1997,13(4):321-329.

[6]MENDECKI A J.Seismic Monitoring in Mines[M].London:Chapman and Hall Press,1997.

[7]田 玥,陈晓非.地震定位研究综述[J].地球物理学进展,2002,17(1):1-10.TIAN Yue,CHEN Xiaofei.Review of earthquake location research[J].Progress in Geophysics,2002,17(1):1-10.

[8]CHENG Jiulong,SONG Guangdong,SUN Xiaoyun,et al.Research developments and prospects on microseismic source location in mines[J]Engineering,2018,4(5):653-660.

[9]朱元清,赵仲和.提高地震定位精度新方法的研究[J].地震地磁观测与研究,1997,18(5):59-67.ZHU Yuanqing,ZHAO Zhonghe.Study on new methods to improve the accuracy of earthquake location[J].Seismol Geomag Obser Res,1997,18(5):59-67.

[10]罗 艳,曾祥方,倪四道.震源深度测定方法研究进展[J].地球物理学进展,2013,28(5):2309-2321.LUO Yan,ZENG Xiangfang,NI Sidao.Research progress of focal depth determination method[J].Progress in Geophysics,2013,28(5):2309-2321.

[11]孙 茁,吴建平,房立华,等.利用SPN 震相测定芦山M_S7.0级地震余震的震源深度[J].地球物理学报,2014,57(2):430-440.SUN Zhuo, WU Jianping,FANG Lihua, et al.Determination of focal depth of aftershocks of Lushan M_S7.0 earthquake using SPN seismic facies[J].Journal of Geophysics,2014,57(2):430-440.

[12]刘劲松,王 赟,姚振兴.微地震信号到时自动拾取技术[J].地球物理学报,2013,56(5):1660-1666.LIU Jinsong,WANG Yun,YAO Zhenxing.Automatic picking up of microseismic signals in time[J].Journal of Geophysics,2013,56(5):1660-1666.

[13]KIJKO A.An algorithm for the optimum distribution of a regional seismic network:II.An analysis of the accuracy of location of local earthquakes depending on the number of seismic stations[J].Pure and Applied Geophysics,1977,115(4):1011-1021.

[14]巩思园,窦林名,曹安业,等.煤矿微震监测台网优化布设研究[J].地球物理学报,2010,53(2):457-465.GONG Siyuan, DOU Linming, CAO Anye, et al.Study on optimized layout of monitoring network for coal mine microseisms[J].Journal of Geophysics,2010,53(2):457-465.

[15]蒋 鑫.基于偏振分析的微震震源定位方法研究[D].成都:成都理工大学,2015.JIANG Xin.Study on the method of microseismic source location based on polarization analysis[D].Chengdu:Chengdu University of Technology,2015.

[16]陈祥熊.地震精确定位问题综述[J].福建地震,2007,23(1/2):85-95.CHEN Xiangxiong.Summary of earthquake precise location[J].Fujian Earthquake,2007,23(1/2):85-95.

[17]于湘伟,陈运泰,张 怀.京津唐地区地壳三维P 波速度结构与地震活动性分析[J].地球物理学报,2010,53(8):1817-1828.YU Xiangwei,CHEN Yuntai,ZHANG Huai.Analysis of three-dimensional P-wave velocity structure and seismicity in Beijing Tianjin Tangshan area[J].Journal of Geophysics,2010,53(8):1817-1828.

[18]Earthquake Research Institute.Observations of aftershocks carried out in Imaichi district,Tochigi prefecture[J].Bull of the Earthquake Research Institute,1950,28:387-392.

[19]GREENSFELDER R W.The Pg-Pn method of determining depth of focus with applications to Nevada earthquakes[J].Bull Seism SocAmer,1965,55:391-403.

[20]GIBSON G.An introduction to seismology[J].Disaster Prevention and Management,1996,4(3):20-25.

[21]朱权洁,李青松,张尔辉,等.采动影响下突出煤层地质异常区域的微震特征规律研究[J].煤炭科学技术,2019,47(7):39-46.ZHU Quanjie,LI Qingsong,ZHANG Erhui,et al.Study on microseismic characteristics of geologic anomaly region in coal and gas outburst seam induced by roadway excavation[J].Coal Science and Technology,2019,47(7):39-46.

[22]韩 军,张 衡,姜新宇,等.基于Unity3D 的微震监测分析虚拟现实系统研发[J].煤炭科学技术,2019,47(5):151-155.HAN Jun,ZHANG Heng,JIANG Xinyu,et al.Development of microseismic monitoring and analysis virtual reality system based on Unity3D[J].Coal Science and Technology,2019,47(5):151-155.

[23]钱鸣高,石平伍,许家林.矿山压力与岩层控制[M].中国矿业大学出版社,2010.QIAN Minggao,SHI Pingwu,XU Jialin.Mine pressure and strata control[M].China University of mining and Technology Press,2010

[24]程关文,王 悦,马天辉,等.煤矿顶板岩体微震分布规律研究及其在顶板分带中的应用—以董家河煤矿微震监测为例[J],岩石力学与工程学报,2017,36(S2):4036-4044.CHENG Guanwen,WANG Yue,MA Tianhui,et al.Study on distribution law of microseisms in coal mine roof and its application in roof zoning-Taking microseismic monitoring of Dongjiahe coal mine as an example[J].Journal of Rock Mechanics and Engineering,2017,36(S2):4036-4044.

[25]李 杨.西部煤炭高强度开采微震监测及关键层破断研究[D].沈阳:东北大学,2017.LI Yang.Study on microseismic monitoring and key layer fracture of high intensity coal mining in Western China[D].Shenyang:Northeast University,2017.

[26]朱介寿.地震学中的计算方法[M].北京:地震出版社,1988:35-47.ZHU Jieshou.Calculation method in seismology[M].Beijing:Seismological Press,1988:35-47.

[27]陈法兵.矿山微震定位子台网的分布对定位精度的影响[J].煤矿开采,2016,21(4):107-114.CHEN Fabing.Influence of distribution of microseismic positioning subnetwork on positioning accuracy[J].Coal Mining,2016,21(4):107-114.

[28]李善邦.中国地震[M].北京:地震出版社,1981:51-53.LI Shengbang.Chinese Earthquake[M].Beijing:Seismological Press,1981:51-53

[29]鄢家全,李金臣,俞言祥,等,论宏观震中及其快速估定方法[J].震灾防御技术,2010,5(4):409-417.YAN Jiaquan,LI Jinchen,YU Yanxiang,et al.Macroscopic epicenter and its rapid estimation method[M].Technology for Earthquake Disaster Prevention,2010,5(4):409-417.

Study on optimization of vertical location accuracy of seismic source based on joint monitoring of surface and underground micro-seismic monitoring

XU Gang1,2,CHEN Fabing1,2,ZHANG Zhenjin3,WANG Yuanjie1,2,LI Yan1,2,LU Chuang1,2,LU Yangbo1,2
(1.Coal Mining & Designing Department,Tiandi Science & Technology Co.,Ltd.,Beijing 100013,China;2.China Coal Technology and Industry Group Co.,Ltd.,Beijing 100013,China;3.Inner Mongolia Yitai Groap Co.,Ltd.,Erdos 017000,China)

Abstract:The vertical position of the seismic source is an important basic data for studying the mechanism of coal mine rock burst, which is of great significance for the monitoring and prevention of rock burst disaster.For the near-level coal seam working face,due to the small height difference between the microseismic stations, the partial differential matrix of the source parameters is nearly singular when the source location calculation is performed, and the iterative calculation cannot converge to an accurate solution.By using the optimization numerical simulation technology, the coal mine microseismic network is simulated under the conditions of reasonable height difference and no height difference of the station shows that the positioning error of the vertical position of the source is large when the stations in the network are in the same horizontal plane.In order to solve this problem,the ground microseismic monitoring stations are added on the basis of the underground microseismic monitoring to form a joint monitoring network, effectively optimizing the spatial structure of the microseismic monitoring network, especially the vertical direction of the stations.Monitoring effectiveness of common monitoring can reach to 90% for the event of 102; Monitoring effectiveness of common monitoring can reach to 100% for the event of 103 and more; By comparing the data of microseismic events caused by 10 groups of downhole top blasting, it is found that the positioning results of the underground microseis-mic monitoring system are basically located within the sealing range of 30 m above the coal seam, while locations of common monitoring network are within 30m-60m from blasting above the coal seam.Compared with the positioning results using the downhole monitoring stations alone, the positioning results of the combined microseismic monitoring system above and below the well are generally closer to the true source, indicating that the addition of ground monitoring stations effectively improves the vertical positioning of the source, effectively solves the problem of large vertical positioning error of near-level coal seam microseismic events.

Key words:near level coal seam; microseismic monitoring; seismic source; vertical location accuracy

中图分类号:TD324

文献标志码:A

文章编号:0253-2336(2020)02-0080-09

移动扫码阅读

徐 刚,陈法兵,王元杰,等.井上下微震联合监测震源垂直定位精度优化研究[J].煤炭科学技术,2020,48(2):80-88.doi:10.13199/j.cnki.cst.2020.02.009

XU Gang,CHEN Fabing,WANG Yuanjie,et al.Study on optimization of vertical location accuracy of seismic source based on joint monitoring of surface and underground micro-seismic monitoring[J].Coal Science and Technology,2020,48(2):80-88.doi:10.13199/j.cnki.cst.2020.02.009

收稿日期:2019-10-19;

责任编辑:杨正凯

基金项目:天地科技股份有限公司科技创新创业资金专项资助项目(2018-TD-ZD007)

作者简介:徐 刚(1979—),男,内蒙古商都人,研究员,博士。 E-mail:xugang@tdkcsj.com