煤炭是我国主要的能源资源,预计煤炭在我国2025年能源结构中占比仍然高于50%[1]。随着浅部资源的日益枯竭,矿井开采逐渐向深部推进,深部煤炭开采面临着冲击地压和煤与瓦斯突出灾害及复合动力灾害防控的重要难题[2]。现阶段,预抽煤层瓦斯仍是防治煤与瓦斯突出事故的重要手段。但长期的瓦斯抽采与利用实践证明,我国瓦斯抽采效率普遍较低。造成瓦斯抽采效率低的主要原因是由于巷道开挖以及钻孔钻进过程中应力扰动形成环形破碎区域[3],巷道内空气在抽采负压的驱动下沿煤体裂隙进入抽采管路,从而影响瓦斯抽采率[4]。
水泥由于凝固时间短、强度高、抗渗性好等特点被广泛用于注浆封孔工程中。一方面,部分学者关注如何改进水泥注浆材料以提高封孔质量。赵耀耀等[5]通过改变铝酸盐水泥的掺入量,探究铝酸盐水泥掺入量对材料流动性、凝结时间、膨胀量和抗压强度的影响。汪开旺[6]在传统“两堵一注”水泥砂浆封孔工艺中增加了PD密封材料,同时增加了一次带压注浆过程。另一方面,不同的学者则将关注点放在了浆液在裂隙内的扩散分布运移规律上。王涛等[7]研究了浆液在漏风裂隙内扩散及压力场分布特性。赵庆彪等[8]开展了水平注浆孔浆液扩散机理研究,提出了注浆“三时段”的划分并给出了浆液扩散半径与注浆压力间关系。黄耀光等[9]考虑巷道开挖扰动和注浆压力衰减对浆液渗透扩散规律的影响,围岩扰动应力和注浆压力耦合作用下的浆液非稳态渗透扩散基本方程。魏建平等[10]构建了浆液对裂隙煤体的堵漏降渗的变质量渗流模型,查明了浆液颗粒沉积过程对煤体裂隙结构及渗透率的影响。文献[11-12]则对注浆参数(封孔深度、封孔长度、注浆压力)进行了优化设计。
实际注浆过程中,煤层受注浆压力作用从而产生的形变也会对煤岩体渗透率和浆液扩散通道产生影响,进一步影响浆液扩散情况[9]。同时,随着注浆材料内部反应的进行,浆液黏度随时间增加逐渐增大,这一因素对浆液扩散范围也会产生一定影响。对开展同时考虑浆液黏度时变性以及注浆压力产生形变共同作用影响下的注浆模型研究具有重要意义。
笔者采用流固耦合理论,提出一种考虑水泥砂浆黏度时变性以及注浆压力对煤岩体形变共同影响的瓦斯抽采钻孔黏度时变性水泥砂浆扩散模型,利用COMSOL 数值模拟软件,获取煤岩体渗透率、浆液扩散范围动态参数。通过对水泥砂浆黏度随时间变化情况进行测定,拟合得到黏度时变性方程,根据井下实际地质、施工条件开展数值模拟研究,对注浆压力进行优化,为煤矿井下实际封孔工作提供可靠的理论指导。
黏度是表示液体在流动时由于相邻层之间流动速度的不同而产生内摩擦力不同的参数[13]。在实际注浆过程中,浆液黏度越高流动性越差,可能导致浆液难以扩散至煤岩体裂隙深部;水灰比越大,浆液流动性越好,浆液扩散范围越广。但水灰比达到一定范围后,浆液凝固过程中随着水分的蒸发会存在较大收缩变形,留存漏气通道,难以实现注浆封孔效果。水泥砂浆在水灰比为0.9时具有较好的可注性[14]。因此,对水灰比为0.9的水泥砂浆黏度随时间变化情况进行测定。
采用NDJ-F布氏黏度旋转测试仪对不同水灰比条件下的水泥浆液进行测定,每隔5 min读取一次数据。试验过程中室内温度恒定为26 ℃,根据量程基本要求采用2号转子,选择转速为60 r/s对水灰比为0.9的水泥砂浆黏度随时间变化情况进行测试,测定结果如图1所示。
图1 水灰比0.9水泥砂浆黏度时变曲线
Fig.1 Time-dependent viscosity curve of cement mortar with water-cement ratio of 0.9
由图1可知,随着时间的增加,水泥浆黏度呈指数型增长。根据浆液黏度变化情况,拟合得到水灰比为0.9的水泥砂浆封孔材料的黏度时变性方程,黏度时变性方程将作为基本参数用于数值模拟研究[15]。水灰比为0.9的水泥砂浆黏度时变性方程为:η=13.530e0.033 1t,η为浆液黏度,t为时间。
针对模型做以下基本假设:①浆液为均质各向同性流体;②煤体为孔隙介质,且为各向同性弹性体,在外力作用下发生弹性形变;③浆液扩散过程中流速较小,流动状态为层流;④注浆过程中浆液流型不发生变化;⑤浆液黏度存在时变性(浆液黏度随时间逐渐增大),其变化关系为指数函数。
基于多孔介质有效应力原理,将煤岩体假设为各向同性弹性体,同时忽略重力的影响,则黏度时变性扩散模型如下:
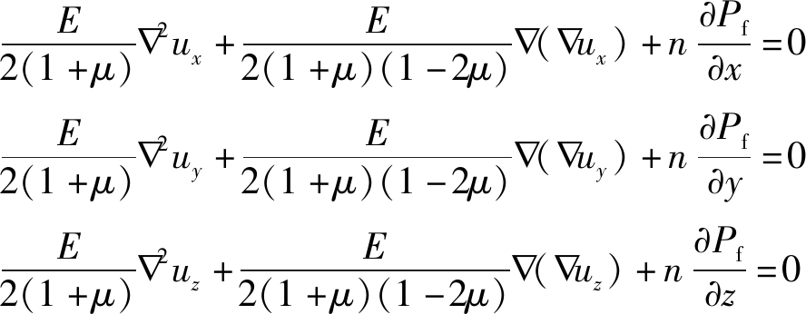
1)应力场方程为[16]
(1)
式中:E为弹性模量,MPa;μ为泊松比;ui(i=x、y、z)为位移,m;Pf为浆液压力,MPa,n为煤岩孔隙率。
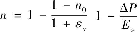
2)等温条件下孔隙率n的动态方程为[17]
(2)
式中:n0为煤岩初始孔隙率;εv为体应变;Es为固体体积压缩模量,MPa;ΔP为浆液压力与煤层瓦斯压力之差,MPa。
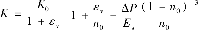
3)等温条件下煤岩渗透率K的动态方程[18]为
(3)
式中,K0为初始渗透率,m2。
4)渗流场方程[19]。考虑应力场作用的多孔介质流固耦合渗流场方程,则有:
![]()

![]()
(4)
式中,ρf为浆液密度,kg/m3;v为浆液扩散速度,m/s;α为比奥固结系数;S为煤岩贮浆系数。
为确保数值模型与现场条件一致,模型中钻孔直径及钻孔长度选用新义煤矿瓦斯抽采钻孔数据,即钻孔直径为94 mm,钻孔长度为30 m,钻孔1、2、3段长度分别为15、8、7 m。由于巷道中部两侧空间分布及各模拟边界条件、初始值一致,为避免多余的运算,取巷道中部切面为对称面进行数值模拟运算,模型长、宽、高均为100 m,如图2a所示。面ABCD、A′B′C′D′、BB′C′C为煤层侧边界,面ABB′A′、DCC′D′分别为煤层底部及上部边界,面A′AEE′、H′HDD′为煤层侧对称面,弧面G′GHH′为巷道上弧面,面F′FGG′为巷道侧面,面E′EFF′为巷道底面,其中钻孔2为钻孔注浆段,模型边界条件见表1。
图2 模型边界条件示意
Fig.2 Schematic of model boundary conditions
表1 模型边界条件设置
Table 1 Model boundary condition settings
边界压力/MPa位移边界ABB′A′0固定DCC′D′-7自由BCC′B0辊支撑AEE′A′0对称HDD′H′0对称ABCD0辊支撑A′B′C′D′0辊支撑EFF′E′、FGG′F′、GHH′G′(弧面)0辊支撑钻孔段10自由钻孔段2-1自由钻孔段30自由
对采自新义煤矿的煤岩进行煤岩力学与物性参数测定,并根据所测参数设定模拟参数,具体参数设置如下:
岩体密度ρs/(kg·m-3)1400浆液密度ρf/(kg·m-3)1300黏度η13.53e0.0331t初始孔隙率n00.18初始渗透率K0/m28×10-14泊松比μ0.24煤体弹性模量E/Pa2×109
结合理论模型及边界条件,利用值模拟软件COMSOL对方程进行求解,可以得到不同水灰比条件下的水泥浆扩散效果。模拟运算时间为2 000 s,网格类型选择细化,注浆初始压力分别设置0.5、1.0、1.2、1.3、1.4、1.5 MPa,由于井下注浆设备(注浆囊袋)极限压力为1.5 MPa,因此选择最大注浆压力模拟参数为1.5 MPa。
对不同注浆压力下的浆液扩散过程进行模拟,并沿平行于x轴方向,过钻孔中部取一截面u,截面4个顶点空间坐标分别为(0,50,0)、(100,50,0)、(100,50,100)和(0,50,100),为便于进一步分析钻孔周围压力分布情况,对不同时间巷道位置处的压力分布进行分析。由于煤层初始瓦斯压力为0.2 MPa,因此选取注浆压力大于0.3 MPa作为浆液扩散压力,模拟结果如图3所示。
图3 不同注浆压力下浆液扩散云图
Fig.3 Slurry diffusion clouds at different grouting pressures
通过分析不同注浆压力下的浆液扩散效果可知,当注浆压力为0.5 MPa时,浆液沿钻孔轴向呈对称分布,由于注浆压力与扩散压力限值0.3 MPa较为接近,压力梯度难以驱动浆液进一步扩散,因此从10 s直到2 000 s浆液在钻孔周围扩散范围较小,注浆过程中浆液扩散范围差异不大;当注浆压力为1.0 MPa时,浆液扩散范围在0~10 s时较0.5 MPa时有明显增大,随着注浆时间的逐渐增加,浆液扩散范围明显增加,当注浆压力时间增加到1 000 s后,浆液扩散速度减缓,注浆时间增大到2 000 s时,浆液扩散范围较注浆时间为1 000 s时有所增加,但未发现进一步明显扩散;当注浆压力为1.2 MPa以及1.5 MPa时,与注浆压力为1.0 MPa整体规律类似,但浆液扩散范围随着注浆压力的增大而增大。为进一步对浆液扩散范围进行定量分析,以过注浆段2中部,垂直于钻孔方向取一截线(图4),对注浆时间为50、500、1 000、2 000 s的不同注浆压力下浆液压力分布情况进行提取。
图4 截线空间示意
Fig.4 Space sketch of section line
注浆压力在0.5、0.8、1.0、1.2、1.3、1.4、1.5 MPa情况下,浆液压力以钻孔中心轴线为对称轴呈对称分布(图5),不同注浆压力下的浆液扩散能力均随注浆压力的增大而增强。
图5 不同注浆压力下钻孔周边浆液压力分布
Fig.5 Slurry pressure distribution around the borehole underdifferent grouting pressures
过y轴0.3 MPa处,取一平行于x轴方向直线,将其与压力分布曲线交点投影到x轴即可等效为浆液扩散距离。注浆时间为50 s时,注浆压力为0.5 MPa下的浆液扩散半径为0.3 m,注浆压力为1.4 MPa下的浆液扩散半径为0.9 m,随着注浆压力的增大,浆液扩散半径也随之增大;当注浆时间为500 s时,浆液压力分布仍沿钻孔中心轴线呈对称分布,浆液扩散半径较时间为50 s时有所增大,注浆压力为0.5 MPa时,浆液扩散半径为0.45 m,当注浆压力为1.4 MPa时,浆液扩散半径为1.95 m;当注浆时间为1 000 s时,浆液压力分布进一步改变,注浆压力为0.5 MPa时,浆液扩散半径为0.5 m,注浆压力为1.4 MPa时,浆液扩散半径为2.2 m,浆液扩散半径进一步增大,但浆液扩散速率减缓;当注浆时间为2 000 s时,浆液扩散半径进一步增大,注浆压力为0.5 MPa时,浆液扩散半径为0.52 m,注浆压力为1.4 MPa时,浆液扩散半径为2.45 m,同时浆液扩散速率较上一时间段进一步减缓。由图6可知,随着注浆时间的增大,浆液压力分布沿钻孔中心呈对称分布,浆液扩散速率先增大后减小,浆液扩散半径逐渐增大到一定范围内停止扩散。由于注浆囊袋可承受的极限压力为1.5 MPa,为避免因井下实际操作失误以及囊袋质量问题导致的囊袋过压泄露,造成漏浆等问题[20],结合模拟结果可知,最优注浆压力为1.4 MPa。
t1—考虑浆液黏度时变性参数下的注浆时间 t2—将浆液黏度考虑为常数下的注浆时间
图6 黏度时变性对钻孔周边浆液压力分布的影响
Fig.6 Influence of time-dependent viscosity on slurry pressure distribution around borehole
在钻孔2段中部截取一垂直于钻孔的截线(图4钻孔下段截线),分别对注浆压力为1.0 MPa和1.4 MPa时不同时间点的浆液压力分布情况进行提取,同时,在原有模拟参数不改变的情况下,将浆液黏度设置为黏度时变性方程中的初始黏度参数,即不考虑浆液黏度随时间变化造成的影响。对同一位置截线上注浆压力在1.0 MPa和1.4 MPa条件下浆液压力分布随时间变化情况进行提取,对模拟数据进行分析可知,是否考虑浆液黏度时变性条件下的浆液压力分布变化规律基本一致。随着注浆时间的增加,浆液逐渐向钻孔外侧扩散,在注浆时间为100 s内,考虑浆液黏度时变性对浆液扩散的影响无明显区别;注浆时间大于500 s以后浆液扩散受黏度时变性的影响逐渐显著,注浆时间大于1 000 s后,黏度对浆液扩散的影响已经显现。由图6可知,在考虑浆液黏度变化的情况下浆液扩散半径较不考虑黏度变化浆液扩散半径更小。
浆液往往具有较高的屈服强度,当作用在流体上的剪切应力大于屈服强度时,浆液才会流动。浆液扩散过程中,随着注浆时间的逐渐增大,水泥砂浆内部化学反应进一步进行,浆液内部屈服强度进一步增高,导致水泥砂浆进一步扩散过程中需要更大的剪切应力来克服屈服强度,同时水泥浆凝固以及浆液扩散梯度衰减将会导致水泥砂浆扩散速率减缓[21]。在注浆的过程中,水泥颗粒之间彼此挤压、阻塞也会导致浆液的进一步扩散受阻,从而影响扩散范围。因此,在实际注浆过程中,水泥砂浆黏度会对浆液扩散半径产生影响,即考虑浆液黏度变化的情况下浆液扩散半径较不考虑浆液黏度变化情况下的扩散半径更小。
现场验证试验选择在河南省洛阳市新义煤矿,煤层厚度4.71 m,抽采钻孔直径94 mm,封孔长度8 m,封孔深度15 m。试验过程中采用新型囊袋式注浆封孔技术,相邻的3个钻孔的瓦斯体积分数数据具有可比性,记录各钻孔分组及开始抽采的时间,用高量程光学瓦斯测试仪测试注浆压力为1.0、1.2、1.4 MPa下的9个试验钻孔的瓦斯体积分数,每间隔4 d观测记录1次,连续观测77 d,记录各个抽采钻孔对应的瓦斯体积分数。在此期间共收集数据126组,9个试验钻孔的实测瓦斯浓度记录情况见表2。现场试验过程中按照水灰比为0.9进行浆液配置。新义煤矿现阶段瓦斯抽采孔封孔注浆压力为1.0 MPa,为此试验设定注浆压力分别设定为1.0、1.2、1.4 MPa。考察3种注浆压力下钻孔瓦斯体积分数平均值,如图7所示。
由表2和图7可知,随着瓦斯抽采时间的延长,瓦斯浓度逐渐减小:注浆压力为1.2 MPa和1.4 MPa时3个钻孔瓦斯体积分数平均值明显高于注浆封孔压力为1.0 MPa的3个钻孔瓦斯体积分数平均值。相较于1.0 MPa注浆压力时,钻孔瓦斯抽采体积分数的快速下降,依据黏度时变性扩散模型对浆液扩散半径进行的预测,将注浆压力由1.0 MPa增大到1.2 MPa和1.4 MPa后,瓦斯抽采浓度较高且衰减较慢。由于黏度时变性扩散模型考虑浆液黏度时变性影响,随着注浆时间的增大,浆液黏度呈指数增长,注浆过程中需要克服更大的阻力,此时仍采用1.0 MPa注浆压力则难以达到预期的封孔效果,为达到预期的封孔效果需要提高注浆压力。由图7可知,与黏度时变性模型预测结果一致,即达到相同扩散范围,考虑浆液黏度时变性后需要更大的注浆压力驱动,封孔效果明显改善。当注浆压力为1.2 MPa和1.4 MPa时,对应的瓦斯抽采浓度整体趋势基本一致,但在瓦斯抽采时间为25~50 d时,注浆压力为1.4 MPa的瓦斯体积分数较1.2 MPa的瓦斯体积分数更大。
图7 不同注浆压力下钻孔监测瓦斯体积分数平均值
Fig.7 Average value of drilling monitoring under different grouting pressures
表2 瓦斯体积分数监测
Table 2 Gas concentration monitoring
钻孔编号不同抽采时间下的瓦斯体积分数/%1d5d9d21d25d29d41d45d49d53d57d69d73d77d193.691.585.570.657.057.950.552.652.341.448.040.344.131.3197.495.290.085.284.482.076.076.575.065.564.058.555.554.0198.796.292.688.690.084.080.079.077.072.070.062.059.657.5292.689.984.779.667.063.848.046.040.441.436.434.233.032.7210096.991.782.688.681.667.372.365.965.657.349.849.349.9210096.694.287.886.388.071.473.671.562.364.753.551.752.8310097.687.473.760.060.547.449.449.638.545.637.541.430.0310097.196.189.387.583.179.074.577.776.572.559.956.355.4310097.092.484.987.585.780.58275.070.561.552.550.049.5
通过将瓦斯抽采浓度作为注浆封孔效果的最终判断依据可知,顺层瓦斯抽采孔黏度时变性水泥砂浆扩散模型可以对浆液扩散情况进行有效预测,同时在模型预测结果指导下的现场施工参数可有效提高瓦斯抽采效率,即随着注浆压力的逐渐增大,封孔效果更好,最优注浆压力为1.4 MPa。
1)水泥砂浆封孔黏度时变性扩散模型,综合考虑了浆液黏度时变性以及注浆压力对煤体形变的影响,可以更全面地对注浆时浆液扩散特性预测。
2)水灰比为0.9时,水泥浆注浆效果较好,对应的水泥浆黏度随时间增大逐渐增大,呈η=13.53×e0.331t函数关系增长。
3)浆液黏度时变性对浆液扩散范围有直接影响,考虑浆液黏度时变性较将浆液黏度考虑为常数时的浆液扩散范围更小。
4)通过结合顺层瓦斯抽采孔黏度时变性水泥砂浆扩散模型的现场试验结果可知,最优封孔注浆压力为1.4 MPa。
参考文献(References):
[1] 谢和平,吴立新,郑德志.2025年中国能源消费及煤炭需求预测[J].煤炭学报,2019,44(7):1949-1960.
XIE Heping,WU Lixin,ZHENG Dezhi.Prediction on the energy consumption and coal demand of China in 2025[J].Journal of China Coal Society,2019,44(7):1949-1960.
[2] 齐庆新,潘一山,舒龙勇,等.煤矿深部开采煤岩动力灾害多尺度分源防控理论与技术架构[J].煤炭学报,2018,43(7):1801-1810.
QI Qingxin,PAN Yishan,SHU Longyong,et al.Theory and technical framework of prevention and control with different sources in multi-cales for coal and rock dynamic disasters in deep mining of coal mines[J].Journal of China Coal Society,2018,43(7):1801-1810.
[3] 周福宝,李金海,昃 玺,等.煤层瓦斯抽放钻孔的二次封孔方法研究[J].中国矿业大学学报,2009,38(6):764-768.
ZHOU Fubao,LI Jinhai,ZE Xi,et al.A study of the second hole sealing method to improve gas drainage in coal seams[J].Journal of China University of Mining &Technology,2009,38(6):764-768.
[4] ÖZGENKARACAN C,RUIZ Felicia A,MICHAEL Cotè,et al.Coal mine methane:a review of capture and utilization practices with benefits to mining safety and to greenhouse gas reduction[J].International Journal of Coal Geology,2011,86(2):121-156.
[5] 赵耀耀,孙玉宁,王志明.铝酸盐水泥掺入量对瓦斯抽采封孔注浆材料性能影响[J].煤炭科学技术,2018,46(4):146-152.
ZHAO Yaoyao,SUN Yuning,WANG Zhiming.Mixed volume of aluminous cement affected to grouting material performances of borehole sealing for gas drainage[J].Coal Science and Technology,2018,46(4):146-152.
[6] 汪开旺.基于PD密封材料的瓦斯测压钻孔封孔新技术[J].煤炭科学技术,2017,45(5):136-140.
WANG Kaiwang.New borehole sealing technology of gas pressure measuring borehole based on PD sealing material[J].Coal Science and Technology,2017,45(5):136-140.
[7] 王 涛,鲁 义,施式亮,等.漏风裂隙内无机固化泡沫浆液扩散特性研究[J].中国安全科学学报,2019,29(10):24-30.
WANG Tao,LU Yi,SHI Shiliang,et al.Research on diffusion properties of in air leakage inorganic solidified foam slurry fracture[J].China Safety Science Journal,2019,29(10):24-30.
[8] 赵庆彪,毕 超,虎维岳,等.裂隙含水层水平孔注浆“三时段”浆液扩散机理研究及应用[J].煤炭学报,2016,41(5):1212-1218.
ZHAO Qingbiao,BI Chao,HU Weiyue,et al.Study and application of three-stage seriflux diffusion mechanism in the fissure of aquifer with horizontal injection hole[J].Journal of China Coal Society,2016,41(5):1212-1218.
[9] 黄耀光,王连国,陆银龙.巷道围岩全断面锚注浆液渗透扩散规律研究[J],采矿与安全工程学报,2015,32(2):240-246.
HUANG Yaoguang,WANG Lianguo,LU Yinlong.Study on the law of slurry diffusion within roadway surrounding rock during the whole section bolt-grouting process[J].Journal of Mining &Safety Engineering,2015,32(2):240-246.
[10] 魏建平,姚邦华,刘 勇,等.裂隙煤体注浆浆液扩散规律及变质量渗流模型研究[J].煤炭学报,2020,45(1):204-212.
WEI Jianping,YAO Banghua,LIU Yong,et al.Grouting fluid diffusion law and variable model for fractured coal mass seepage[J].Journal of China Coal Society,2020,45(1):204-212.
[11] 祁 云,齐庆杰,吕有厂,等.易自燃煤层顺层抽采钻孔封孔参数优化研究[J].中国安全科学学报,2019,29(3):120-126.
QI Yun,QI Qingjie,LYU Youchang,et al.Study on optimization of borehole sealing parameters based on extraction drilling spontaneous combustion control[J].China Safety Science Journal,2019,29(3):120-126.
[12] 葛兆龙,梅绪东,卢义玉,等.煤矿井下新型水力压裂封孔材料优化及封孔参数研究[J].应用基础与工程科学学报,2014,22(6):1128-1139.
[13] MOHAMMED M H,PUSCH R,KNUTSSON S,et al.Rheological properties of cement-based grouts determined by different techniques[J].Engineering,2014,6(5):217-229.
[14] 阮文军.注浆扩散与浆液若干基本性能研究[J].岩土工程学报,2005,27(1):69-73.
RUAN Wenjun.Research on diffusion of grouting and basic properties of grouts[J],Chinese Journal of Geotechnical Engineering,2005,27(1):69-73.
[15] 柳昭星,靳德武,尚宏波,等.矿区岩溶裂隙岩体帷幕截流注浆参数确定研究[J].煤炭科学技术,2019,47(6):81-86.
LIU Zhaoxing,JIN Dewu,SHANG Hongbo,et al.Study on determination of curtain closure grouting parameters of fractured rock mass in karst mining area[J].Coal Science and Technology,2019,47(6):81-86.
[16] 徐献芝,李培超,李传亮.多孔介质有效应力原理研究[J].力学与实践,2001(4):42-45.
XU Xianzhi,LI Peichao,LI Chuanliang.Princiole of effective stress based on porous medium[J].Mechanics and Practice,2001(4):42-45.
[17] 李培超,孔祥言,卢德唐.饱和多孔介质流固耦合渗流的数学模型[J].水动力学研究与进展,2003,18(4):419-426.
LI Peichao,KONG Xiangyan,LU Detang.Mathematical modeling of flow in saturated porous media on account of fluid-structure coupling effect[J].Journal of Hydrodynamics,2003,18(4):419-426.
[18] CHAO Jiangkun,YU Minggao,CHU Tingxiang,et al.Evolution of broken coal permeability under the condition of stress,temperature,moisture content,and pore pressure[J].Rock Mechanics and Rock Engineering,2019,52(8):2803-2814.
[19] 杨天鸿,师文豪,李顺才,等.破碎岩体非线性渗流突水机理研究现状及发展趋势[J].煤炭学报,2016,41(7):1598-1609.
YANG Tianhong,SHI Wenhao,LI Shuncai,et al.State of the art and trends of water-inrush mechanism of nonlinear flow in fractured rock mass[J].Journal of China Coal Society,2016,41(7):1598-1609.
[20] 樊振丽.离层充填开采注浆液运移通道与溶质扩散特征研究[J].煤炭科学技术,2017,45(7):177-184.
FAN Zhenli.Grouting liquid migration pathway and solute diffusion characteristics of abscission layer mining with filling[J].Coal Science and Technology,2017,45(7):177-184.
[21] 雷 风.分层劈裂注浆作用机理及应用[J].煤炭科学技术,2007,35(5):47-49.
LEI Feng.Functional mechanism and application of slicing cracking grouting[J].Coal Science and Technology,2007,35(5):47-49.
[22] 袁克阔,王义杰,徐拴海,等.强触变性水泥基浆液研发及基本性能测定[J].煤炭科学技术,2018,46(7):80-85.
YUAN Kekuo,WANG Yijie,XU Shuanhai,et al.Development of strong thixotropic cement slurry and determination of its basic properties[J].Coal Science and Technology,2018,46(7):80-85.