煤岩超临界CO2吸附机理及表征模型研究进展

韩思杰1,2,桑树勋1,2

(1.中国矿业大学 煤层气资源与成藏过程教育部重点实验室,江苏 徐州 221008;2.中国矿业大学 资源与地球科学学院,江苏 徐州 221008)

摘 要:深部不可采煤层的CO2地质封存作为CCS技术的重要方向,有望成为温室气体减排与煤层气高效开发的可行性手段。近年来随着我国CO2-ECBM工程探索逐渐向深部煤层进军,超临界CO2与煤岩的相互作用受到越来越多的关注。煤层的CO2地质封存能力主要取决于煤岩的吸附能力,煤岩超临界CO2吸附作用的研究成为CO2-ECBM的重点研究领域之一。本文梳理了大量煤岩超临界CO2吸附实验结果与模型,指出超临界CO2密度变化是过剩吸附曲线异常的原因,论述了水分、显微煤岩组分、煤阶、温度与孔隙尺寸对超临界CO2吸附能力的影响机理;总结了煤中超临界CO2吸附速率在不同压力、温度、粒径及煤阶中的变化规律;在前人关于不同孔径孔隙中的不同吸附行为研究的基础上,凝练了煤中超临界CO2的孔隙选择效应模式,认为超临界CO2的非凝聚性与高密度特征是形成煤岩多尺度孔隙中不同吸附行为的原因;分析指出了今后煤岩超临界CO2吸附作用研究可能的发展方向。本文旨在评述煤岩的超临界CO2吸附的相关研究进展,为深化认识煤岩超临界CO2吸附机理与表征模型提供基础和启示。

关键词:超临界CO2;煤岩吸附;吸附模型;孔隙选择效应;吸附动力学

0 引 言

2018年全球CO2排放总量为371亿t,中国的年排放量超过美国与欧盟的总和,其主要的碳来源是大量燃烧的化石能源[1]。CO2地质存储及其资源化利用是目前最为直接有效的减少碳排放的手段,已成为国内外关注的重点[2-7],其中CO2-ECBM技术融碳减排与煤层气高效开发为一体,既保障了我国对能源的巨大需求,又满足了我国对全世界温室气体减排的承诺,是经济、环保、高效的CO2地质存储技术手段。目前我国CO2-ECBM工程已经向深部煤层进军[8-11],而深部煤层的高温高压条件使得CO2在注入后能够保持超临界状态,因此针对深部不可采煤中CO2地质封存机理应重点关注超临界CO2的相关吸附过程。十几年来,国内外学者开展了大量的高温高压下煤岩的CO2吸附试验,基于Langmuir单分子吸附模型、微孔填充模型及气体密度状态方程等理论建立了一系列改进的超临界CO2吸附模型,并取得了较好的效果(表1)。超临界CO2因其与气态CO2迥异的流体性质特征,使得其与煤岩的相互作用更为复杂,不仅表现在过剩吸附曲线在高压下的异常降低,还会改变煤岩的物理化学结构,进而影响超临界CO2的吸附能力[12-14]

表1 国内外煤岩的超临界CO2吸附试验一览(CO2临界条件,温度304.41 K,压力7.4 MPa)
Table 1 Experiments of supercritical CO2 adsorption on coals performed by various authors (critical condition for CO2:304.41 K and 7.4 MPa)

煤样来源国家试验方法煤样干湿条件温度/K最高压力/MPa表征模型文献来源澳大利亚重量法干313,323,333,34320Toth模型BAE等[22]澳大利亚重量法干/湿326.1520超临界DR模型SAKUROVS等[23]澳大利亚,新西兰,美国,波兰重量法干326.1516超临界DR模型DAY等[24]澳大利亚,中国重量法湿328.1520超临界DR模型DAY等[25]中国容量法干318.225HAN等[26]中国容量法湿318.15,335.65,353.1520超临界DR模型HAN等[27]中国容量法干308.15,318.15,328.1525超临界Langmuir模型LI等[28]英国,德国,波兰容量法干/湿318.1516Langmuir模型Dubinin-Astakhov模型SIEMONS等,[29]意大利重量法干318.15,333.1520Dubinin-Astakhov模型OTTIGER等[20]波兰容量法湿318.1515超临界Langmuir模型Dubinin-Radushkevich模型WEISHAUPTOVÁ等[30]捷克容量法干/湿318.1525超临界Langmuir模型WENIGER等[31]荷兰容量法干/湿313.15,333.15,353.1520KROOSS等[32]美国容量法湿327.613.8二维EOS模型FITZGERALD等[33]美国容量法干/湿328.1512ROMANOV等[34]韩国容量法干/湿318.1516超临界DR模型HE等[35]中国容量法干323.15,338.1512Ono-Kondo格子模型ZHANG等[36]中国重量法干311.11,332.79,352.5719超临界Langmuir模型超临界DR模型SONG等[37]日本,意大利,瑞士,澳大利亚重量法干318.1520双位Langmuir模型PINI等[13]中国容量法干308.15,318.15,328.1516Langmuir模型,BET模型,超临界DR模型WU等[38]美国容量法干/湿328.1514Dubinin-Astakhov模型OZDEMIR等[14]

笔者首先回顾了煤岩超临界CO2吸附实验异常的过剩吸附曲线及其产生的原因,讨论了水分、显微煤岩组分、煤阶、温度与孔隙尺寸对超临界CO2吸附能力的控制作用;其次阐述了动力学数据与压力和时间的关系,总结了吸附速率与粒径、温度及煤阶的关系;再次针对超临界CO2非凝聚性特征论述了关于不同尺寸孔隙内吸附的超临界CO2存在状态,最后简单概括了煤岩的超临界CO2吸附机理及表征模型未来可能的发展方向。

诚然,气体在煤中的吸附作用会造成不同程度的基质膨胀效应,众多学者也开展了大量气体吸附引起的煤基质膨胀的实验及理论研究[15-18]。然而CO2吸附引起的煤基质的膨胀程度会随着温度和压力的升高而降低[12,14,19-21],因此笔者未论述煤岩的超临界CO2吸附引起的基质膨胀效应。

1 煤岩的超临界CO2等温吸附曲线及其异常原因

煤岩的超临界CO2吸附试验获得的吸附曲线呈现不规律甚至异常的变化趋势,如KROOSS等[32]开展了干燥和平衡水条件下的Pennsylvanian煤的超临界CO2吸附实验,试验温度为40 ℃,60 ℃和80 ℃,最高平衡压力为20 MPa,得到双峰式过剩吸附曲线。又如WU等[38]模拟了60 ℃下煤砖的超临界CO2等温吸附试验,得到了在高压下(11~14 MPa)持续增长的过剩吸附曲线。造成这些现象的原因可能是不同煤中孔隙发育的差异及超临界CO2吸附造成的煤岩体积变形,甚至是人为测试误差[20,39]。然而更多的学者报道了在临界压力附近具有最大值的平滑的煤岩超临界CO2过剩吸附曲线[20,23,27,28,30,31,33,36,37,40](图1),其最大过剩吸附量代表了孔隙空间内单分子层恰好被铺满的状态[41]。温度越接近临界温度,过剩吸附曲线在越过最大值后下降越明显,且在高压范围内过剩吸附量随温度增加而增加[22,27,37,42]。这是由于压力大于CO2临界压力后,CO2密度在稍高于临界温度的范围内出现密度随压力急剧增加的情况,将横坐标的平衡压力替换成自由相密度后,过剩吸附曲线下降段呈现出与自由相密度的线性负相关关系,在所有压力范围内,过剩吸附量随温度增加而减小[13,43]

图1 煤岩的超临界CO2吸附试验结果与吸附曲线特征
Fig.1 Experimental results of supercritical CO2 adsorption on coals

根据常用的单分子吸附理论,吸附势理论等推导,在不发生气体凝聚的前提下,随着压力增加吸附剂的吸附量会逐渐增加最终达到最大吸附能力[44,45]。显然等温吸附实验获得的高压吸附数据不能表征真实的吸附能力。造成实验获得的吸附曲线在高压或高密度阶段呈现显著下降的原因是由于过剩吸附与绝对吸附在自由相密度不断增加的条件下差异逐渐增大,其理论表达式见式(1)。在低压条件下,ρfree/ρad可忽略,因此过剩吸附等于绝对吸附,吸附相密度随压力变化而保持不变[28]。而在高压下,由于CO2气体较高的临界温度,其自由相密度会在压力作用下迅速增加并逐渐接近吸附相密度,因此造成了过剩曲线高压段的显著降低。

nex=nab(1-ρfree/ρad)

(1)

式中:nex为过剩吸附量,nab为绝对吸附量;ρfree为CO2的自由相密度;ρad为CO2吸附相密度。

过剩吸附的含义为吸附相中超过主体气相密度的过剩量,相当于绝对吸附量减去吸附空间内与自由相密度相等的量,其概念模型如图2所示,吸附相密度自孔壁向孔中心逐渐减小,并逐渐过渡到自由相密度[46-47]。低压下由于吸附相密度显著大于自由相密度,吸附空间中与自由相密度相等的部分相对于吸附空间内的气态部分可被忽略,过剩吸附可近似看作是真实吸附量,而随着自由相密度增加,吸附空间中与自由相密度相等部分的占比增加,自由相密度越接近吸附相密度,过剩吸附占比越小。因此对于具有高密度的超临界CO2来说,过剩吸附高压段下降现象比N2和CH4更为明显[13,20,33]。目前的等温吸附实验只能够获得过剩吸附量[41],因此需要运用方程(1)来进行绝对吸附量的换算。

关于吸附相密度的具体数值,由于无法直接测量,前人主要采用以下2种方法获得:①假设某一特定值,如将环境压力下CO2沸点的液相密度1.18 g/cm3定为CO2吸附相密度[41,48],但不同学者对这一经验值认识不一[46];②根据绝对吸附与过剩吸附的定义,通过绘制过剩吸附量与自由相密度的曲线,外推高密度范围的过剩吸附量,当过剩吸附量为0时,对应的横坐标即为吸附相密度[49-51],这一方法对高压吸附试验精度要求高,需尽可能多的高压下过剩吸附量数值,以提高线性拟合精度。

图2 过剩吸附与绝对吸附概念模型
Fig.2 Conceptual model of excess adsorption and obsolute adsorption

2 煤岩的超临界CO2吸附影响因素及作用机理

2.1 水分

大量研究证实,煤中水分增加会造成气体吸附能力的降低[25,30,31,34,52-54]。这是由于煤中极性吸附位,如含氧官能团,能优先被水分子占据,吸附位的减少必然导致相同温度压力条件下其他气体吸附能力的降低[55]。此外,水分对煤中CO2吸附的负效应存在一个临界值,水分超过该临界值,CO2吸附能力仍然保持不变[25,52,53],这是由于煤对水分的吸附主要依赖极性吸附位,而对CO2是无差别吸附,只是优先占据极性吸附位,因此水分对CO2吸附能力的影响只表现在煤中极性吸附位的数量上[25]。正是由于极性吸附位对煤中水分吸附的控制作用,而极性吸附位如羧基数量会随煤阶升高而降低,因此煤阶升高,水分对CO2吸附能力的负效应降低[31,56]

2.2 显微煤岩组分

显微煤岩组分对气体吸附能力具有一定影响,但对于该影响目前没有统一认识。部分学者认为由于镜质组是发育微孔的主要显微煤岩组分,气体吸附能力与镜质组含量呈正相关性[54,57]。而WEISHAUPTOVA等[30]发现富惰质组和壳质组的煤岩具有最大CO2吸附速率。另一方面也有相当数量的学者发现显微煤岩组分与气体吸附能力没有关系[56,58,59]。DAY等[24]认为显微煤岩组分与超临界CO2最大吸附能力没有关系。WENIGER等[31]开展的相似煤阶超临界CO2吸附实验结果同样显示显微煤岩组分与含水煤样的超临界CO2最大吸附能力没有关系。FAIZ等[60]对煤岩组分与气体吸附能力的关系给出了解释,认为即便是同一显微组分/亚组分,由于其不同的孔隙发育特征,必然造成吸附能力的差异。一般来说镜质组主要发育微孔,而惰质组与大孔发育程度有关,因此,富镜质组煤具有较高的气体吸附能力[61]

2.3 煤阶

干燥煤样CO2吸附能力随煤阶呈先减小后增大的趋势[19,24,31,36](图3),吸附能力最小值出现在碳含量为84%~90%的煤样处[19,24]。SAGHAFI等[62]发现CO2吸附能力与煤阶呈正相关关系,然而该研究中CO2未达到超临界条件(最高压力5 MPa)。

图3 煤岩的超临界CO2最大吸附能力与煤阶的关系[24,36]
Fig.3 Relationships between supercritical CO2 adsorption capacity and coal rank[24,36]

造成干燥煤样CO2吸附能力随煤阶U型变化趋势的原因可能是早期煤化阶段的上覆岩层压实作用和液态烃生成后的填充作用造成煤岩中微孔数量的减少,而在高级煤化阶段,烃类的热解和煤大分子的裂解产生大量次生微孔,使得煤岩吸附能力升高[47,63,64]。另一方面,含水煤岩的超临界CO2吸附能力与煤阶的关系则呈现单调递增的趋势[27,31,65]。虽然在早期煤化阶段,总的微孔隙数量在减少,但煤大分子结构上具有较多的亲水基团,在有水的前提下能提供给CO2的吸附位有限,因此总的气体吸附能力低[55]。低阶煤中高的原始水分含量以及等温吸附实验前平衡水样处理后的高平衡水含量可提供有效证据[32,36]

2.4 温度

气体吸附是体系熵减的过程,为了使吉布斯自由能减少,系统焓变也应是减少的,因此吸附作用是放热反应。不同温度下的煤岩的超临界/气态CO2吸附试验亦证明,CO2吸附能力与温度呈明显的负相关关系[20,28,31,32,36,66,67]。气体吸附相密度和表面覆盖度随温度增加而降低,下降程度还受煤-气相互作用的约束。此外由于高温条件下,气体分子本身具有较高的能量,不利于气体分子进入微孔等尺寸较小的空间。White[4]总结了前人利用不同方程和模型,如Clausius-Clapeyron方程,Van’t Hoff方程等,研究的超临界/亚临界CO2吸附的吸附热释放过程。

多位学者报道了不同温度的煤岩超临界CO2吸附曲线出现相似的相交现象[20,27,28,31]。不同温度的超临界CO2过剩吸附曲线在越过最大值后,在不同压力下出现相交,且随温度升高,相交点逐渐右移[27,36]。这一现象与超临界CO2密度变化有关,超临界CO2密度随温度变化呈非线性特征。临界点之上,温度越高,CO2密度随压力变化越迟缓,导致CO2降低趋势逐渐减弱[31]。当等温吸附曲线的横坐标换算成自由相密度时,这一随温度变化的相交特征消失,全范围试验压力下,过剩吸附量随温度升高而降低[13,20]

2.5 孔隙尺寸

图4 不同孔径的狭缝型孔中吸附相密度在 孔中的分布特征模拟结果[70]
Fig.4 Modeled results of distribution of adsorbed CO2 density in different slit-like pores[70]

DAY等[24]开展30个煤样的超临界CO2吸附实验,发现最大吸附能力与煤的孔隙度呈轻微正相关关系,高孔隙率有利于更多气体分子附着,然而这一结论并未考虑孔隙尺寸对超临界CO2吸附的影响。微孔填充理论表明气体分子以体积填充的形式存在于微孔内,显然大中孔内由于孔隙中心几乎不受吸附势影响而无法有效吸引自由相分子成为吸附相分子[68,69]。因此,不同尺寸孔隙内,超临界CO2吸附方式存在显著差异。LIU和WILCOX[70]运用分子模拟计算了不同尺寸孔隙内CO2吸附相密度,结果显示靠近孔壁表面的CO2吸附相密度显著高于孔隙中心,在超微孔内(<0.7 nm),CO2吸附相密度大于更大尺寸孔隙内的吸附相密度(图4)。不同尺寸孔隙中CO2吸附形式不同,较小微孔内CO2分子呈体积填充,而较大孔中则呈表面覆盖的形式[71-73]。不同沉积盆地内页岩的超临界CH4吸附实验亦表明超临界CH4吸附模式存在不同方式,并且受孔径大小的控制[74-77]。SONG等[37]利用改进的超临界Dubinin-Radushkevich吸附模型计算了页岩中超临界CH4吸附中微孔填充形式的孔径门限,得出微孔填充与单分子层吸附共存的超临界CH4吸附模型。

3 煤中超临界CO2吸附动力学

吸附动力学过程可以通过监测平衡压力达到前的单个压力点下吸附量随时间的变化来表征。吸附平衡时间与压力关系密切,压力越大吸附速率越高[78],但超临界压力下CO2吸附速率小于亚临界压力(3.99 MPa,图5),这可能是由于高压下CO2吸附量已接近该煤岩饱和吸附量,煤表面吸附位显著减少,单位时间内能进入吸附位的分子数量显著降低。CHARRIE`RE等[78]和SONG等[37]通过开展煤岩的气态/超临界CO2吸附试验,发现剩余吸附量(平衡吸附量-实时吸附量)与时间呈单调递减关系,在低压范围内,压力越高,吸附速率越快。高压条件下(16.83 MPa),剩余吸附量随时间变化波动较大,这与吸附过程中的温度变化有关[37]。超临界条件下,靠近临界温度与临界压力的范围内,CO2密度变化剧烈,可能是造成剩余吸附量出现波动的原因。SIEMONS等[79]通过划分不同压力条件下吸附速率特征,认为超临界CO2的吸附量的增加主要发生在后期的慢吸附过程中。OZDEMIR[14]认为煤岩的超临界CO2动力学过程伴随着吸附量、吸附热、煤的平均微孔孔径和体积膨胀的不断变化,需建立新的吸附模型来表征这些变化。

图5 温度311.11 K不同压力下干煤样CO2剩余 吸附量占比与时间的关系[37]
Fig.5 Relationships between residual CO2 adsorption amount ratio and temperature under various pressures and at temperature of 311.11K[37]

不同尺寸煤粒/煤粉的CO2吸附试验表明,煤粒粒径越小,CO2的吸附速率越快[66,80],这是由于气体分子在不同尺寸孔隙内的运移方式不同[81,82]。温度越高,气体分子活性越高,与煤表面接触的几率越高,因此能加速吸附过程,实验亦证实在吸附平衡达到前,温度越高吸附速率越快(图6a)。BUSCH等[66]开展了32 ℃和45 ℃下高挥发分烟煤的超临界CO2吸附动力学试验,认为温度越高越有利于CO2尽快达到饱和吸附量,而水分越高,吸附速率越低。当温度降低13 ℃时,吸附速率降低2倍左右[66]。而LI等[28]认为煤阶对超临界CO2的影响大于温度,但未发现明显规律,其中烟煤的初始吸附速率最低,但无烟煤最先达到吸附平衡(图6b)。低煤阶煤相对较高的初始吸附速率可能与CO2的吸收与溶解作用有关,除了CO2在煤孔壁表面的吸附作用,煤岩对CO2的吸收作用以及CO2在煤大分子结构中的溶解作用也加速了CO2在煤中的扩散[48,83]

图6 温度与煤阶对超临界CO2剩余吸附量占比的影响 [28,78]
Fig.6 Effects of temperature and coal rank on residual supercritical CO2 adsorption amount ratio[28,78]

4 超临界气体吸附的孔隙选择效应

煤岩或页岩中气体的吸附作用主要发生在微孔,然而微孔填充无法解释高压下绝对吸附曲线渐进式趋近饱和吸附能力的实验现象,越来越多的学者发现相对微孔,具有更大孔径的孔隙也能够吸附超临界气体[46,69,73,84]。超临界气体最为显著的特征是无论压力多高都不存在凝聚现象,一定温度条件下,自由相分子密度增加,自由相分子与吸附相分子距离减小,更多的自由相分子受到煤表面吸附势作用,导致较小的微孔被不断填充,而较大孔隙中由于吸附势作用范围有限,对孔隙中心的气体分子几乎没有影响,因此形成微孔填充与表面覆盖共存的吸附形式[25,46,75,77,85-87]。亚临界气体由于其密度低,而较大孔隙的孔壁上的吸附势相对较弱,因而其吸附量相对于微孔可以忽略。

CO2吸附相密度自孔壁向孔中心递减直到等于自由相CO2密度,当孔隙中心吸附相密度等于自由相密度时,该孔隙被完全填充,因此超临界CO2密度对温度和压力变化的敏感性决定了其在煤岩中吸附的复杂程度。在温度恒定的条件下,被完全填充微孔的最大孔径随着自由相密度增加而增加[46]。非均质多孔炭材料的亚临界CO2吸附分子模拟结果显示,微孔内CO2吸附分子层随压力增加而增加并逐渐填充较小孔隙[88],这一结果表明不同压力下同一微孔内呈现不同吸附方式。气体吸附行为的孔隙选择效应在超临界CO2吸附时更为明显,这是由于超临界CO2的临界温度较高,实验过程中压力的增加能够显著增加自由相CO2密度并很快达到较高的密度,从而使单分子层吸附更快的过渡到多分子层吸附[25,87](图7)。ZHOU等[71]开展的活性炭的超临界CO2吸附研究亦表明在临界温度之上的温度附近超临界CO2在孔隙中的吸附形式为多分子层表面覆盖。

5 煤岩超临界CO2吸附表征模型

为表征煤岩的气体吸附行为,前人应用了单分子层吸附、多分子层吸附、微孔填充模型、二维EOS模型、理想溶液模型、格子理论模型等吸附模型[41,89-90],这些模型均能较好的表征低压下煤岩的CO2吸附行为(<7 MPa),与等温吸附实验结果拟合精度较高,这是由于这些模型均是用来描述吸附剂表面的真实吸附量,但高压条件下,超临界CO2过剩吸附与绝对吸附间逐渐增大的差异造成上述模型并不适用于表征煤岩的超临界CO2吸附行为,因此最简单的做法是在吸附模型前增加过剩吸附换算表达式(1-ρg/ρa),其中,ρg为自由相密度,ρa为吸附相密度。此外,也有学者针对超临界气体在煤的复杂孔隙结构中的不同吸附方式,气体在孔隙中随吸附势变化的状态等特性建立了新的超临界气体吸附表征模型[33,43]

图7 煤岩CO2吸附行为的孔隙选择效应与吸附模式 [48]
Fig.7 Schematic diagram of pore selection effect in supercritical CO2 adsorption on coals [48]

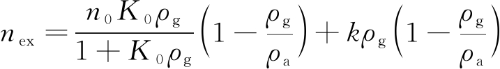
1)Langmuir型超临界吸附模型该模型。基于单分子层吸附假设的经典Langmuir吸附模型,由于Langmuir单分子层吸附模型具有简单,有效以及有特定物理意义的参数等特征,被广泛应用于煤岩的气体吸附实验中[22,27,29,55,91-92]。然而该模型表征的是实际吸附量,对于吸附实验中高压部分吸附点拟合效果差,因此在模型前增加过剩吸附量的校正表达式(1-ρg/ρa),并增加了校正系数k,用以表征高压条件下CO2吸附膨胀引起的吸附量变化。即

(2)

式中:nex为实验直接测得的过剩吸附量;n0为Langmuir体积;K0为Langmuir常数;ρg为自由相气体密度;ρa为吸附相气体密度;k为与吸附膨胀引起的吸附量变化相关的常数。

2)双位Langmuir型超临界吸附模型。越来越多的超临界气体吸附实验,结果证明,以均匀吸附表面和等能量吸附位为假设的传统的Langmuir模型不能够准确描述煤岩中复杂的固气吸附系统[23,37,69],尤其是具有强烈非均质孔表面的煤,不同吸附位的吸附能量,由于孔径和煤大分子结构的不同,存在显著差异。因此为了反映非均质吸附剂的特征,TANG等[93]假设了最简单的吸附位分布情况,即存在两种具有显著差异的吸附位,并建立了双位Langmuir型超临界吸附模型为

(3)

其中,α(0<α<1)为不同吸附类型占比,K1=A1exp(-E1/RT)和K2=A2exp(-E2/RT)为不同吸附类型的吸附常数。T为温度,E1E2为不同吸附位对应的吸附能,A1A2为与吸附热力学相关的参数,R为通用气体常数。TANG等[43]在研究煤的高压CO2吸附中认为,双吸附位CO2包括附着于煤孔隙表面的CO2吸附相与渗入煤大分子结构的CO2吸收相。

3)超临界D-R吸附模型微孔填充模型。基于吸附势理论,认为在微孔中由于吸附剂表面吸附势叠加造成的强化范德华力使得吸附质分子在微孔范围内呈高密度压缩状态,该模型适用于多微孔的吸附剂,如活性炭,煤和页岩等[41,77,94-96]。常规的微孔填充模型如D-R和D-A模型采用了气体饱和蒸气压的概念,然而针对超临界气体,饱和蒸气压已经失去其基本的物理意义,因此,SAKUROVS等[23]运用自由相密度代替平衡压力,吸附相密度代替饱和蒸汽压,并引入经验参数k,构建了微孔填充型超临界吸附模型为

(4)

(5)

其中,n0为微孔体积;D为反映吸附热和吸附质与吸附剂之间关系的常数;k为吸附量修正系数,用来校正吸附膨胀造成的吸附量变化。该模型参数能有效表征煤岩超临界CO2最大的吸附能力和吸附热,能够合理解释水分子,温度,吸附膨胀的作用机理[24,27,46]

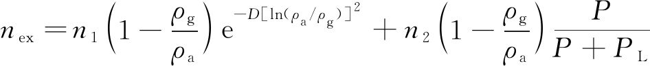
4)超临界D-R-Langmuir复合型吸附模型。周尚文等[85]开展了页岩的超临界CH4吸附实验,根据吸附结果计算了超临界CH4的吸附空间和分子层数,发现超临界CH4在页岩孔隙中的吸附行为既不满足微孔填充也不满足单分子层吸附,因此推测页岩气超临界吸附机理应为微孔充填和单分子层吸附并存,并通过对比微孔填充模型和单分子吸附模型的拟合结果,发现微孔填充-单分子层吸附复合模型对页岩的超临界甲烷吸附具有更好的拟合结果[37,77]。该模型反映了超临界条件CH4,CO2在煤岩等微孔材料中的真实存在方式,同时也满足低压下的Henry法则[71,97],但该模型与煤岩超临界CO2吸附结果的拟合效果不理想,可能是由于超临界CO2在煤中大中孔的多分子层吸附有关。超临界D-R-Langmuir复合型吸附模型表达式为

(6)

式中:n1为微孔填充的最大吸附量;n2为单分子层的最大吸附量或朗格缪尔体积;ρg为自由相气体密度;ρa为吸附相气体密度;P为平衡压力;PL为朗格缪尔压力。

5)简化的局部密度吸附模型该模型。基于气-气相互作用及固-气相互作用,假设吸附剂内孔隙为裂隙型孔,孔内的吸附质分子受到两侧孔壁的作用,距离两侧孔壁不同位置的吸附质分子受到吸附剂吸引不同而形成不同的吸附相密度[98]。Fitzgerald及其团队利用Peng-Robinson状态方程准确地模拟了煤岩吸附超临界CO2的等温吸附曲线,且不需要考虑吸附膨胀引起的吸附量变化[33,51,99]。该模型基于固-气和气-气相互作用,运用气体状态方程和Lennard-Jones势能方程计算孔隙内不同位置的吸附相密度和自由相密度,进而利用如下方程式计算过剩吸附量为

(7)

式中:A煤中孔隙的总比表面积;L为假设的裂隙型孔的相对孔壁距离;σff/2为吸附质分子与左侧煤岩孔壁的距离下限;L-σff/2为吸附质分子与左侧煤岩孔壁的距离上限;z为吸附质分子与左侧煤岩孔壁的距离;ρ(z)为z位置的吸附相密度;ρb为自由相密度。

6 已取得成果与研究展望

通过回顾煤岩的超临界CO2吸附的相关研究内容,指出超临界CO2的高密度是造成过剩曲线异常降低的原因,煤岩超临界CO2吸附能力和吸附速率与煤岩煤质、水分、温度和压力等密切相关,阐述了超临界CO2在煤中不同孔径孔隙中的不同吸附行为,总结了煤岩超临界CO2吸附表征模型。

由于超临界CO2与超临界CH4间的流体性质差异以及煤-气相互作用方式与程度的不同,使得研究超临界CO2在煤岩孔隙中的吸附行为仍然存在诸多挑战,未来研究工作需要在以下方向进一步深入:

1)绝对吸附量计算。超临界CO2吸附曲线与绝对吸附的显著偏离使得无法通过实验直接获得近似的超临界CO2吸附能力,因此绝对吸附量的计算依靠吸附相密度的假设值或间接测量等方法,这就造成了绝对吸附量会严重依赖吸附相密度的选择。

2)真实煤层应力环境下的吸附作用。目前绝大多数超临界CO2吸附实验的煤样采用的是粉煤样,且不受外力约束,这与实际煤层条件相去甚远。为了真实反映CO2注入煤层后超临界CO2的吸附过程,未来需开展三轴应力约束下煤柱的超临界CO2吸附实验。

3)煤中孔隙的超临界CO2吸附方式与最大可被完全填充孔径。超临界CO2高密度的流体特征使得相同吸附空间内能容纳更多的CO2分子,能够在煤的孔壁表面更快的形成多分子层,造成最大可被完全填充孔径的扩大,而最大可被完全填充孔径的划分能清楚的反映超临界CO2的真实吸附状态,因此该孔径的厘定有助于建立准确的超临界CO2吸附表征模型。

4)煤大分子结构对超临界CO2的吸收作用。超临界CO2与煤岩的相互作用不仅仅表现在孔壁表面的物理吸附,CO2分子还会通过扩散作用进入煤岩内部造成煤体结构的改变。高压下煤岩对CO2的吸收作用与表面覆盖的吸附作用前后相关,如何有效区分煤岩中超临界CO2吸附与吸收作用,以及不同温度压力下吸收相与吸附相的转化关系是认识煤岩超临界CO2相互作用机理的重点。

参考文献(References):

[1] LE QUéRé C,ANDREW R M,FRIEDLINGSTEIN P,et al.Global Carbon Budget 2018[J].Earth System Science Data,2018,10(4):2141-2194.

[2] BACHU S.Screening and ranking of sedimentary basins for sequestration of CO2 in geological media in response to climate change[J].Environmental Geology,2003,44(3):277-289.

[3] LACKNER K S.A guide to CO2 sequestration[J].Science,2003,300 :1677-1678.

[4] WHITE C M,SMITH D H,JONES K L,et al.Sequestration of carbon dioxide in coal with enhanced coalbed methane recovery :a review[J].Energy & Fuels,2005,19(3):659-724.

[5] 桑树勋.二氧化碳地质存储与煤层气强化开发有效性研究述评[J].煤田地质与勘探,2018,46(5):1-9.

SANG Shuxun. Research review on technical effectiveness of CO2 geological storage and enhanced coalbed methane recovery[J].Coal Geology and Exploration, 2018,46(5):1-9.

[6] AMINU M D,NABAVI S A,ROCHELLE C A,et al.A review of developments in carbon dioxide storage[J].Applied Energy,2017,208:1389-1419.

[7] BENSON S M,COLE D R.CO2 Sequestration in Deep Sedimentary Formations[J].Elements,2008,4(5):325-331.

[8] 张文东,唐书恒,张松航,等.基于CCUS的深部煤层煤层气采收及CO2封存效果[J].煤炭科学技术,2014,42(8):33-37.

SHEN Jian, QIN Yong, ZHANG Chunjie,et al. Feasibility of enhanced coalbed methane recovery by CO2 sequestration into deep coalbed of Qinshui Basin[J].Coal Science and Technology, 2016,41(1):156-161.

[9] 申 建,秦 勇,张春杰,等.沁水盆地深煤层注入CO2提高煤层气采收率可行性分析[J].煤炭学报,2016,41(1):156-161.

SHEN Jian,QIN Yong,ZHANG Chunjie,et al.Feasibility of enhanced coalbed methane recovery by CO2 sequestration into deep coalbed of Qinshui Basin[J].Journal of China Coal Society,2016,41(1):156-161.

[10] 叶建平,张 兵,韩学婷,等.深煤层井组CO2注入提高采收率关键参数模拟和试验[J].煤炭学报,2016,41(1):149-155.

YE Jianping,ZHANG Bing,HAN Xueting,et al.Well group carbon dioxide injection for enhanced coalbed methane recovery and key parameter of the numerical simulation and application in deep coalbed methane[J].Journal of China Coal Society,2016,41(1):149-155.

[11] PAN Z,YE J,ZHOU F,et al.CO2 storage in coal to enhance coalbed methane recovery:a review of field experiments in China[J].International Geology Review,2017,60(5/6):754-776.

[12] DAY S,FRY R,SAKUROVS R.Swelling of Australian coals in supercritical CO2[J].International Journal of Coal Geology,2008,74(1):41-52.

[13] PINI R,OTTIGER S,BURLINI L,et al.Sorption of carbon dioxide,methane and nitrogen in dry coals at high pressure and moderate temperature[J].International Journal of Greenhouse Gas Control,2010,4(1):90-101.

[14] OZDEMIR E.Dynamic nature of supercritical CO2 adsorption on coals[J].Adsorption,2017,23(1):25-36.

[15] KARACAN C Ö.Swelling-induced volumetric strains internal to a stressed coal associated with CO2 sorption[J].International Journal of Coal Geology,2007,72(3):209-220.

[16] PAN Z,CONNELL L D.A theoretical model for gas adsorption-induced coal swelling[J].International Journal of Coal Geology,2007,69(4):243-252.

[17] DAY S,FRY R,SAKUROVS R,et al.Swelling of coals by supercritical gases and its relationship to sorption[J].Energy & Fuels,2010,24(4):2777-2783.

[18] JINLONG J,SHUXUN S,LIWEN C,et al.Characteristics of CO2/supercritical CO2 adsorption-induced swelling to anthracite:An experimental study[J].Fuel,2018,216:639-647.

[19] OZDEMIR E,MORSI B I,SCHROEDER K.Importance of volume effects to adsorption isotherms of carbon dioxide on coals[J].Langmuir,2003,19(23):9764-9773.

[20] OTTIGER S,PINI R,STORTI G,et al.Adsorption of pure carbon dioxide and methane on dry coal from the sulcis coal province(SW Sardinia,Italy)[J].Environmental Progress,2006,25(4):355-364.

[21] OTTIGER S,PINI R,STORTI G,et al.Competitive adsorption equilibria of CO2and CH4on a dry coal[J].Adsorption,2008,14(4/5):539-556.

[22] BAE J,BHATIA S K.High-pressure adsorption of methane and carbon dioxide on coal[J].Energy & Fuels,2006,20(6):2599-2607.

[23] SAKUROVS R,DAY S,WEIR S,et al.Application of a modified Dubinin Radushkevich equation to adsorption of gases by coals under supercritical conditions[J].Energy & Fuels,2007,21(2):992-997.

[24] DAY S,DUFFY G,SAKUROVS R,et al.Effect of coal properties on CO2 sorption capacity under supercritical conditions[J].International Journal of Greenhouse Gas Control,2008,2(3):342-352.

[25] DAY S,SAKUROVS R,WEIR S.Supercritical gas sorption on moist coals[J].International Journal of Coal Geology,2008,74(3):203-214.

[26] HAN F,BUSCH A,KROOSS B M,et al.CH4 and CO2 sorption isotherms and kinetics for different size fractions of two coals[J].Fuel,2013,108:137-142.

[27] HAN S,SANG S,LIANG J,et al.Supercritical CO2 adsorption in a simulated deep coal reservoir environment,implications for geological storage of CO2 in deep coals in the southern Qinshui Basin,China[J].Energy Science & Engineering,2019,7(2):488-503.

[28] LI D,LIU Q,WENIGER P,et al.High-pressure sorption isotherms and sorption kinetics of CH4 and CO2 on coals[J].Fuel,2010,89(3):569-580.

[29] SIEMONS N,BUSCH A.Measurement and interpretation of supercritical CO2 sorption on various coals[J].International Journal of Coal Geology,2007,69(4):229-242.

[30] WEISHAUPTOVá Z,P IBYL O,SyKOROVá I,et al.Effect of bituminous coal properties on carbon dioxide and methane high pressure sorption[J].Fuel,2015,139:115-124.

[31] WENIGER P,FRANC J,HEMZA P,et al.Investigations on the methane and carbon dioxide sorption capacity of coals from the SW Upper Silesian Coal Basin,Czech Republic[J].International Journal of Coal Geology,2012,93:23-39.

[32] KROOSS B M,VAN BERGEN F,GENSTERBLUM Y,et al.High-pressure methane and carbon dioxide adsorption on dry and moisture-equilibrated Pennsylvanian coals[J].International Journal of Coal Geology,2002,51(2):69-92.

[33] FITZGERALD J E,PAN Z,SUDIBANDRIYO M,et al.Adsorption of methane,nitrogen,carbon dioxide and their mixtures on wet Tiffany coal[J].Fuel,2005,84(18):2351-2363.

[34] ROMANOV V N,HUR T,FAZIO J J,et al.Comparison of high-pressure CO2 sorption isotherms on central Appalachian and San Juan Basin coals[J].International Journal of Coal Geology,2013,118:89-94.

[35] HE J,SHI Y,AHN S,et al.Adsorption and desorption of CO2 on Korean coal under subcritical to supercritical conditions[J].The Journal of Physical Chemistry B,2010,114(14):4854-4861.

[36] ZHANG D,CUI Y,LIU B,et al.Supercritical pure methane and CO2adsorption on various rank coals of China:experiments and modeling [J].Energy & Fuels,2011,25(4):1891-1899.

[37] SONG Y,XING W,ZHANG Y,et al.Adsorption isotherms and kinetics of carbon dioxide on Chinese dry coal over a wide pressure range[J].Adsorption,2015,21(1/2):53-65.

[38] WU D,LIU X,SUN K,et al.Experiments on supercritical CO2 adsorption in briquettes[J].Energy Sources,Part a:Recovery,Utilization,and Environmental Effects,2018,41(8):1005-1011.

[39] TORIBIO M M,OSHIMA Y,SHIMADA S.Evaluation of sequesterable carbon dioxide in Japanese coal samples at sub-critical and supercritical conditions[M]//Park S,Chang J,Lee K.Studies in Surface Science and Catalysis.Elsevier,2004:375-380.

[40] GENSTERBLUM Y,MERKEL A,BUSCH A,et al.High-pressure CH4 and CO2 sorption isotherms as a function of coal maturity and the influence of moisture[J].International Journal of Coal Geology,2013,118:45-57.

[41] HARPALANI S,PRUSTY B K,DUTTA P.Methane/CO2sorption modeling for coalbed methane production and CO2sequestration[J].Energy & Fuels,2006,20(4):1591-1599.

[42] KIM H J,SHI Y,HE J,et al.Adsorption characteristics of CO2 and CH4 on dry and wet coal from subcritical to supercritical conditions[J].Chemical Engineering Journal,2011,171(1):45-53.

[43] TANG X,RIPEPI N.High pressure supercritical carbon dioxide adsorption in coal:adsorption model and thermodynamic characteristics[J].Journal of CO2 Utilization,2017,18:189-197.

[44] LANGMUIR I.The adsorption of gases on plane surfaces of glass,mica and platinum[J].The Adsorption of Gases On Plane Surfaces of Glass,Mica and Platinum,1918,40(9):63-70.

[45] DUBININ M M.The potential theory of adsorption of gases and vapors for adsorbents with energetically non-uniform surfaces[J].Chemical Reviews,1960,60(2):235-241.

[46] SAKUROVS R,DAY S,WEIR S,et al.Temperature dependence of sorption of gases by coals and charcoals[J].International Journal of Coal Geology,2008,73(3):250-258.

[47] BUSCH A,GENSTERBLUM Y.CBM and CO2-ECBM related sorption processes in coal:a review[J].International Journal of Coal Geology,2011,87(2):49-71.

[48] DUTTA P,BHOWMIK S,DAS S.Methane and carbon dioxide sorption on a set of coals from India[J].International Journal of Coal Geology,2011,85(3):289-299.

[49] HUMAYUN R,TOMASKO D L.High-resolution adsorption isotherms of supercritical carbon dioxide on activated carbon[J].AIChE Journal,2000,46(10):2065-2075.

[50] GENSTERBLUM Y,VAN HEMERT P,BILLEMONT P,et al.European inter-laboratory comparison of high pressure CO2 sorption isotherms II:Natural coals[J].International Journal of Coal Geology,2010,84(2):115-124.

[51] CHAREONSUPPANIMIT P,MOHAMMAD S A,ROBINSON R L,et al.High-pressure adsorption of gases on shales:Measurements and modeling[J].International Journal of Coal Geology,2012,95:34-46.

[52] JOUBERT J I,GREIN C T,BIENSTOCK D.Sorption of methane in moist coal[J].Fuel,1973,52(3):181-185.

[53] JOUBERT J I,GREIN C T,BIENSTOCK D.Effect of moisture on the methane capacity of American coals[J].Fuel,1974,53(3):186-191.

[54] CLARKSON C R,BUSTIN R M.Binary gas adsorption/desorption isotherms:effect of moisture and coal composition upon carbon dioxide selectivity over methane[J].International Journal of Coal Geology,2000,42(4):241-271.

[55] GENSTERBLUM Y,BUSCH A,KROOSS B M.Molecular concept and experimental evidence of competitive adsorption of H2O,CO2 and CH4 on organic material[J].Fuel,2014,115:581-588.

[56] WENIGER P,KALKREUTH W,BUSCH A,et al.High-pressure methane and carbon dioxide sorption on coal and shale samples from the Paraná Basin,Brazil[J].International Journal of Coal Geology,2010,84(3):190-205.

[57] 李振涛,姚艳斌,周鸿璞,等.煤岩显微组成对甲烷吸附能力的影响研究[J].煤炭科学技术,2012,40(8):125-128.

LI Zhentao,YAO Yanbin,ZHOU Hongpu,et al.Study on coal and rock maceral composition affected to methane adsorption capacity[J].Coal Science and Technology,2012,40(8):125-128.

[58] MASTALERZ M,GLUSKOTER H,RUPP J.Carbon dioxide and methane sorption in high volatile bituminous coals from Indiana,USA[J].International Journal of Coal Geology,2004,60(1):43-55.

[59] 张庆玲,张 群,张 泓,等.我国不同时代不同煤阶煤的吸附特征[J].煤田地质与勘探,2004,32(S1):68-72.

ZHANG Qingling,ZHANG Qun,ZHANG Hong,et al.Adsorption characteristics of different rank coals in different areas,China[J].Coal Geology and Exploration,2004,32(S1):68-72.

[60] FAIZ M,SAGHAFI A,SHERWOOD N,et al.The influence of petrological properties and burial history on coal seam methane reservoir characterization,Sydney Basin,Australia[J].International Journal of Coal Geology,2007,70(1):193-208.

[61] CHALMERS G R L,BUSTIN R M.The organic matter distribution and methane capacity of the Lower Cretaceous strata of Northeastern British Columbia,Canada[J].International Journal of Coal Geology,2007,70(1):223-239.

[62] SAGHAFI A,FAIZ M,ROBERTS D.CO2 storage and gas diffusivity properties of coals from Sydney Basin,Australia[J].International Journal of Coal Geology,2007,70(1):240-254.

[63] RICE D D.Composition and origins of coalbed gas[J].Hydrocarbons From Coal:AAPG Studies in Geology,1993,38(1):159-184.

[64] PRINZ D,PYCKHOUT-HINTZEN W,LITTKE R.Development of the meso-macro porous structure of coals with rank as analyzed with small angle neutron scattering and adsorption experiments[J].Fuel,2004,83(4):547-556.

[65] 李全中,倪小明,王延斌,等.超临界状态下煤岩吸附/解吸二氧化碳的实验[J].煤田地质与勘探,2014,42(3):36-39.

LI Quanzhong,NI Xiaoming,WANG Yanbin,et al.The experimental study on the adsorption/desorption of carbon dioxide in the coal under supercritical condition[J].Coal Geologyand Exploration,2014,42(3):36-39.

[66] BUSCH A,GENSTERBLUM Y,KROOSS B M,et al.Methane and carbon dioxide adsorption-diffusion experiments on coal:upscaling and modeling[J].International Journal of Coal Geology,2004,60(2):151-168.

[67] SANTAROSA C S,CRANDALL D,HALJASMAA I V,et al.CO2 sequestration potential of Charqueadas coal field in Brazil[J].International Journal of Coal Geology,2013,106:25-34.

[68] BERING B P,DUBININ M M,SERPINSKY V V.Theory of volume filling for vapor adsorption[J].Journal of Colloid and Interface Science,1966,21(4):378-393.

[69] DO D D,DO H D.Adsorption of supercritical fluids in non-porous and porous carbons:analysis of adsorbed phase volume and density[J].Carbon,2003,41(9):1777-1791.

[70] LIU Y,WILCOX J.Molecular simulation of CO2 adsorption in micro-meso porous carbons with surface heterogeneity[J].International Journal of Coal Geology,2012,104:83-95.

[71] ZHOU L,BAI S,SU W,et al.Comparative study of the excess versus absolute adsorption of CO2 on super-activated carbon for the near-critical region[J].Langmuir,2003,19(7):2683-2690.

[72] LIU Y,WILCOX J.Effects of surface heterogeneity on the adsorption of CO2 in micro porous carbons[J].Environmental Science & Technology,2012,46(3):1940-1947.

[73] MOSHER K,HE J,LIU Y,et al.Molecular simulation of methane adsorption in micro-meso porous carbons with applications to coal and gas shale systems[J].International Journal of Coal Geology,2013,109-110:36-44.

[74] 侯宇光,何 生,易积正,等.页岩孔隙结构对甲烷吸附能力的影响[J].石油勘探与开发,2014,41(02):248-256.

HOU Yuguang,HENG Sheng,YI Jizheng,et al.Effect of pore structure on methane sorption capacity of shales[J].Petroleum Exploration and Development,2014,41(2):248-256.

[75] 盛 茂,李根生,陈立强,等.页岩气超临界吸附机理分析及等温吸附模型的建立[J].煤炭学报,2014,39(S1):179-183.

SHENG Mao,LI Gensheng,CHEN Liqiang,et al.Mechanisms analysis of shale-gas supercritical adsorption and modeling of isorption adsorption[J].Journal of China Coal Society,2014,39(S1):179-183.

[76] 陈 磊,姜振学,纪文明,等.陆相页岩微观孔隙结构特征及对甲烷吸附性能的影响[J].高校地质学报,2016,22(2):335-343.

CHEN Lei,JIANG Zhenxue,JI Wenming,et al.Characteristics of microscopic pore structure and their effect impacts on methane adsorption capacity in continental shales[J].Geological Journal of China Universities,2016,22(2):335-343.

[77] ZHOU S,XUE H,NING Y,et al.Experimental study of supercritical methane adsorption in Longmaxi shale:Insights into the density of adsorbed methane[J].Fuel,2018,211:140-148.

[78] CHARRIèRE D,POKRYSZKA Z,BEHRA P.Effect of pressure and temperature on diffusion of CO2 and CH4 into coal from the Lorraine basin(France)[J].International Journal of Coal Geology,2010,81(4):373-380.

[79] SIEMONS N,WOLF K A A,BRUINING J.Interpretation of carbon dioxide diffusion behavior in coals[J].International Journal of Coal Geology,2007,72(3):315-324.

[80] GRUSZKIEWICZ M S,NANEY M T,BLENCOE J G,et al.Adsorption kinetics of CO2,CH4,and their equimolar mixture on coal from the Black Warrior Basin,West-Central Alabama[J].International Journal of Coal Geology,2009,77(1):23-33.

[81] CUI X,BUSTIN R M,DIPPLE G.Selective transport of CO2,CH4,and N2 in coals:insights from modeling of experimental gas adsorption data[J].Fuel,2004,83(3):293-303.

[82] NAVEEN P,ASIF M,OJHA K,et al.Sorption kinetics of CH4 and CO2diffusion in coal:theoretical and xxperimental Study[J].Energy & Fuels,2017,31(7):6825-6837.

[83] LARSEN J W.The effects of dissolved CO2 on coal structure and properties[J].International Journal of Coal Geology,2004,57(1):63-70.

[84] 李子文,林柏泉,郝志勇,等.煤体孔径分布特征及其对瓦斯吸附的影响[J].中国矿业大学学报,2013,42(6):1047-1053.

LI Ziwen,LIN Boquan,HAO Zhiyongm,et al.Characteristics of pore size distribution of coal and its impacts on gas adsorption[J].Journal of China University of Mining and Technology,2013,42(6):1047-1053.

[85] 周尚文,王红岩,薛华庆,等.页岩气超临界吸附机理及模型[J].科学通报,2017,62(35):4189-4200.

ZHOU Shangwen,WANG Hongyan,XUE Huaqing,et al.Supercritical methane adsorption on shale gas:Mechanism and model[J].Chinese Science Bulletin,2017,62(35):4189-4200.

[86] 韩思杰,桑树勋,梁晶晶.沁水盆地南部中高阶煤高压甲烷吸附行为[J].煤田地质与勘探,2018,46(5):10-18.

HAN Sijie,SANG Shuxun,LIANG Jingjing,et al.High pressure methane adsorption of medium and high-rank coal in southern Qinshui Basin[J].Coal Geology and Exploration,2018,46(5):10-18.

[87] ZHOU Y,ZHOU L.Fundamentals of high pressure adsorption[J].Langmuir,2009,25(23):13461-13466.

[88] TENNEY C M,LASTOSKIE C M.Molecular simulation of carbon dioxide adsorption in chemically and structurally heterogeneous porous carbons[J].Environmental Progress,2006,25(4):343-354.

[89] PAN Z,CONNELL L D.Comparison of adsorption models in reservoir simulation of enhanced coalbed methane recovery and CO2 sequestration in coal[J].International Journal of Greenhouse Gas Control,2009,3(1):77-89.

[90] SUDIBANDRIYO M,MOHAMMAD S A,ROBINSON R L,et al.Ono-Kondo lattice model for high-pressure adsorption:Pure gases[J].Fluid Phase Equilibria,2010(2):238-251.

[91] 桑树勋,朱炎铭,张 井,等.液态水影响煤吸附甲烷的实验研究:以沁水盆地南部煤储层为例[J].科学通报,2005,50(S1):70-75.

SANG Shuxun,ZHU Yanming,ZHANG Jing,et al.Influence of liquid water on coalbed methane adsorption:An experimental research on coal reservoirs in the south of Qinshui Basin[J].Chinese Science Bulletin,2005,50(S1):70-75.

[92] 张 群,杨锡禄.平衡水分条件下煤对甲烷的等温吸附特性研究[J].煤炭学报,1999,24(6):566-570.

ZHANG Qun,YANG Xilu.Isothermal adsorption of coals on methane under equilibrium moisture[J].Journal of China Coal Society,1999,24(6):566-570.

[93] TANG X,RIPEPI N,STADIE N P,et al.A dual-site Langmuir equation for accurate estimation of high pressure deep shale gas resources[J].Fuel,2016,85(1):10-17.

[94] CHEN S G,YANG R T.Theoretical basis for the potential theory adsorption isotherms:the Dubinin-Radushkevich and Dubinin-Astakhov equations[J].Langmuir,1994,10(11):4244-4249.

[95] DUTTA P,HARPALANI S,PRUSTY B.Modeling of CO2 sorption on coal[J].Fuel,2008,87(10):2023-2036.

[96] GIL A,GRANGE P.Application of the Dubinin-Radushkevich and Dubinin-Astakhov equations in the characterization of microporous solids[J].Colloids and Surfaces a:Physicochemical and Engineering Aspects,1996,113(1):39-50.

[97] SHETHNA H K,BHATIA S K.Interpretation of adsorption Isotherms at above-critical temperatures using a modified micropore filling model[J].Langmuir,1994,10(3):870-876.

[98] RANGARAJAN B,LIRA C T,SUBRAMANIAN R.Simplified local density model for adsorption over large pressure ranges[J].Aiche Journal,1995,41(4):838-845.

[99] MOHAMMAD S A,CHEN J S,FITZGERALD J E,et al.Adsorption of pure carbon dioxide on wet Argonne coals at 328.2 K and pressures up to 13.8 MPa [J].Energy & Fuels,2009,23(2):1107-1117.

Mechanism and characterization model of supercritical CO2 adsorption on coals:a review

HAN Sijie1,2,SANG Shuxun1,2

(1.Key Laboratory of Coalbed Methane Resources & Reservoir Formation Process,Ministry of Education,China University of Mining and Technology, Xuzhou 221008,China;2.School of Resources and Earth Sciences,China University of Mining and Technology,Xuzhou 221008,China)

Abstract:CO2geologic storage in deep unminable coal as an important option for CCS(CO2 capture and storage),has a highly potential to be a feasible approach for reduction of greenhouse gas and effective development of coalbed methane.In recent years,the CO2-ECBM pilot projects in China had become to consider deep coal seam as a target layer.The interaction between supercritical CO2 and coals had also attracted more amd more attentions.Moreover,the CO2 storage capacity of coals mainly depends on the adsorption of coals.As a result,the study on supercritical CO2 adsorption on coals has become a significant field in CO2-ECBM.Firstly,we recompiled large numbers of experimental resutls and models of supercritical CO2adsorption on coals and concluded that the change of supecritical CO2 density cause the abnormaly of excess adsorption curves.We also summurized the effects of moisture,maceral,coal rank,temperature and pore size on supercritical CO2 adsorption capacity.Secondly,we depicted the variation of supercritical CO2 adsorption rate affected by pressure,temperature,coal size and coal rank.Thirdly,based on various adsorption behavoirs in pores with differet sizes in coals,we pointed out the pore selection effect during supercritical CO2 adsorption on coals.The uncondensed nature and high density of supercritical CO2 resulted in various adsorption behavoirs in different pores.Last but not least,some possible research related to supercrritical CO2 on coals was presented.The aim of this study is to review the research progress of supercrtical CO2 adsorption on coals and provide a foundation and significance for a further understanding of mechanism and characterization model of supercritical CO2 adsorption on coals.

Key words:supercritical CO2;adsorption on coal;adsorption model;pore selection effect;adsorption kinetics

移动扫码阅读

韩思杰,桑树勋.煤岩超临界CO2吸附机理及表征模型研究进展[J].煤炭科学技术,2020,48(1):227-238.doi:10.13199/j.cnki.cst.2020.01.029

HAN Sijie,SANG Shuxun.Mechanism and characterization model of supercritical CO2 adsorption on coals:a review[J].Coal Science and Technology,2020,48(1):227-238.doi:10.13199/j.cnki.cst.2020.01.029

中图分类号:P618.11

文献标志码:A

文章编号:0253-2336(2020)01-0227-12

收稿日期:2019-12-02责任编辑:曾康生

基金项目:国家重点研发计划资助项目(2018YFB0605601);国家自然科学基金重点资助项目(41330638)

作者简介:韩思杰(1991—),男,安徽宣城人, 博士研究生。 E-mail:hsj_cumt@126.com

通讯作者:桑树勋(1967—),男,河北唐山人,教授,博士生导师,博士。 E-mail:shuxunsang@163.com