深部开采底板厚隔水层突水危险性评价方法研究

尹尚先1,徐 维1,尹慧超2,曹 敏1,3

(1.华北科技学院 河北省矿井灾害防治重点实验室,北京 101601;2.防灾科技学院 信息工程学院,北京 101601; 3.中国矿业大学(北京) 能源与矿业学院,北京 100083)

摘 要:突水系数对于深部开采底板厚隔水层突水危险性评价并不完全适用,为了解决深部带压开采底板厚隔水层突水危险性评价问题,据矿井条件建立底板突水主控指标体系,利用区间灰色最优聚类理论,借助GIS强大的空间信息管理和分析功能完成模型的建立、计算以及结果展示;结合层次分析法AHP依据主控因素对突水危险性贡献程度确定其权重系数,采用K-Means聚类算法根据数据分布特征和专家知识及经验划分不同危险性类别所对应区间值,解决了主控因素的复杂性和不确定性问题;按照隶属度的概念改进了经典白化权函数,定义了每个类别的白化权函数不只是与相邻的上、下两个区间存在着关系,而与每个区间的标准值均有关,利用白化权函数将离散的灰数映射到区间灰数上,解决了主控因素物理意义、量纲、量级巨大差异所导致的结果失真问题。以各主控因素在危险性等级下隶属度均为1的确定性判断作为系统特征行为序列,计算评价对象与每个危险性类别的邓氏灰色关联度,形成关联度矩阵。再通过以评价对象与各危险性类别的差异程度为权的加权广义距离描述评价对象与h类别的接近程度,最终建立最优模型。研究结果表明:以邢东矿为例,根据勘探资料和历次突水调查结论,选取了6个主控因素,用AHP确定了权重系数,用K-Means聚类算法确定了安全、较安全、较危险和危险4个等级区间值;再使用灰色最优聚类理论得到了底板突水危险性评价分区图;最终,得到了各危险性等级的分布情况和面积大小等数据,运算结果显示历次突水事故发生的位置都位于危险区域。对比突水系数法的评价结果,由于采用信息量更大,用隶属度关系减弱了临界值的绝对控制作用,使结果更加系统全面,同时克服了基于薄板理论的突水系数法只适用于底板隔水层厚度小于50 m 的局限,是深部带压开采底板厚隔水层突水危险性评价有效方法。

关键词:灰色聚类;白化权函数;灰色关联度;主控因素;GIS;突水危险性

0 引 言

我国多数煤田已进入深部和下组煤开采阶段,据不完全统计,我国目前矿井平均开采深度已达500多米,且每年正在以15~20 m平均均开拓速度向深部延伸[1]。深部和下组煤煤炭资源开采的水害问题随着浅部和上组煤易采资源储量逐渐枯竭日益严重,矿井充水水文地质条件日趋复杂,突水影响控制因素增多,突水机理和类型复杂多变[2]

我国煤矿底板突水机理研究从20世纪60年代起,以矿井充水条件(即充水“水源”、充水“通道”、充水“强度”)分析为基础,针对含水层、地质构造、承压水、隔水层及矿山压力等底板突水主要因素为着脚点,从不同侧面研究出了丰富的底板突水机理[3-4]。在突水机理方面,突水系数法由于物理概念明确,公式简单实用,自1984年制定的《煤矿防治水工作条例(试行)》到2018年版的《煤矿防治水细则》[5-6],突水系数一直都是衡量底板承压水突水危险性的重要定量指标,但突水系数的临界值是根据华北地区几个大水矿区的突水点数据统计而来的,尤其是这些突水点大多位于20 m左右的极薄隔水层区域[3]。因此,突水系数法得到的底板突水危险性评价结果不具有广泛适用性,尤其是对厚隔水层突水情况。另一方面,突水系数所包含的信息量较少,不能全面综合地反映底板突水危险性。实际上,煤层底板突水是一种受控于多因素影响且具有非常复杂的非线性动力特征的水文地质与采矿复合动态现象[7]

武强[8-9]所提出的矿井带压开采煤层底板突水的主控指标体系全面概括了与底板突水相关的指标,采用脆弱性指数法并结合地理信息系统强大的空间信息分析和处理功能,最终对煤层底板突水脆弱性做出科学的区划和预测预报评价。不过,脆弱性指标法中的主控因素的数据主要源于地勘资料,由于数据难以获取以及获取成本较高等原因,导致采集信息不完整、数据不准确。灰色系统理论能够针对“小数据”、“贫信息”不确定性问题,通过对部分已知信息进行深度挖掘,从而获得对现实世界的正确描述和认识[10-12]。笔者在区间灰色最优聚类理论的基础上,结合底板突水主控指标体系,丰富了煤矿底板突水危险性评价方法。

1 区间灰色最优聚类理论

灰色聚类是根据灰色关联矩阵或灰数的可能度函数(白化权函数)将所考察的观测指标或观测对象划分成若干个可定义类别的方法。一个灰类就是属于同一类的观测指标或观测对象的集合[10]。在底板突水主控指标体系中,可将每个主控因素划分成若干个危险性等级区间,即为灰类;然后,基于隶属度的概念,用白化权函数将各主控因素的离散灰数映射到区间灰数上,用精确的数学语言来表达具有模糊性的主控因素数值;再基于整个主控指标体系,通过灰色关联理论计算得到评价对象和危险性等级之间的关联度;最后,通过最优化理论建立最优模型获得评价对象的危险性等级。

针对深部开采底板厚隔水层突水危险性评价,在模糊数学业已完善的理论基础上,以煤层底板突水主控指标体系为载体,以突水危险性等级划分为目的,着重解决突水危险性评价中面临的“小数据”、“贫信息”不确定性问题。

1.1 白化权函数的确定

灰色聚类评估模型的重点在于对白化权函数的构建,白化权函数要根据实际问题的背景确定,在考虑样本自身的数据特征的同时,还要兼顾以往类似知识所形成的经验总结。经典白化权函数的转折点均为实数点,随着多指标评价问题的复杂性和不确定性的增加,越来越不能满足实际需要。而且,当指标意义、量纲、量级有巨大差异时,将导致某些指标的作用被拔高或者削弱,使结果偏离实际。因此,有必要将白化权函数从实数域上单一观测值推广到区间数[10,13-14]

定义一[10]:设有n个聚类对象,m个聚类指标,p个不同灰类,根据第i(i=1,2,…,n)个对象关于j(j=1,2,…,m)指标的观测值xij,将第i个对象归入第k(k∈{1,2,…,p})个灰类,称为灰色聚类。

定义二[10]:将n个对象关于指标j的取值相应地分为p个灰类, 称之为j指标子类,j指标子k类的白化权函数记为

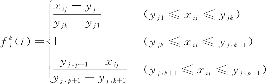
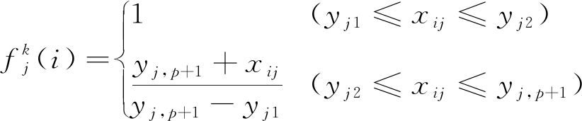
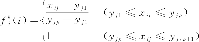
定义三[14]:设第i个对象的第j个指标所对应的第k个灰类标准值的所属区间为[yjk(i),yj,k+1(i)]。

定义这样的白化权函数:每一级别的白化权函数不只是与相邻的上、下两个类别存在着关系,而是与每个类别的标准值均有关,从而使得样品指标的任何实测值对每个类别都有不为零的隶属度(除端点及以外的值外)。当yjkyj,k+1时,白化权函数可由如下公式确定,逆序时,同理建立对应的白化权函数[14]

1.2 灰色关联分析

灰色关联分析的基本思想是根据灰色关联因素的曲线的几何形状的相似程度来判断判断不同灰色关联因素之间的联系是否紧密。结合白化权函数,对文献[10]中的灰色关联公理重新定义,得到定义四[10,14]

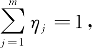
定义四[10,14]:设为在h灰类下的系统特征行为矩阵,并且为在h灰类下的相关因素序列,ηj为每j个聚类指标的权重,其中给定实数满足:

1)规范性:

2)接近性:越小,越大。

则称γ(Fh(0),Fh(i))为Fh(0)与Fh(i)在h灰类下的灰色关联度,h灰类下的关于j聚类指标的关联系数。

对于关联系数采用邓氏灰色关联系数计算公式[10],即

Fh(0)对于任意聚类指标j都有Fh(0)是一个清晰的综合判断,其中ξ为分辨系数,一般取0.5。

1.3 最优模型

为全面更合理地描述样品ih灰类标准区间的接近程度,将该接近程度用以样品与各灰类标准区间的差异程度uh(i)为权的加权广义距离来表示[14],即

uh(i)满足0≤uh(i)≤1,且

显然dh(i)总是越小越好,由文献14得到最优化模型为

2 主控因素的权重和区间划分

最优模型的建立是底板突水危险性评价的基础,为了保证结果的可靠性和准确性,还必须对主控因素的权重和区间进行合理的选择。由于煤层底板突水的主控因素具有非线性动力特征,一般地,权重的确定和区间的划分除与数据本身的分布特征有关,还应符合历史经验和专家知识。

2.1 主控因素的区间划分

聚类分析是一种数据归约技术,旨在按照某个特定标准(如距离准则)把一个数据集分割成不同的类或簇,使得同一个簇内的数据对象的相似性尽可能大,同时,不在同一个簇中的数据对象的差异性也尽可能大[15]。可选择原理简单、易操作且收敛速度快的K-Means聚类算法对主控因素进行区间划分。具体算法如下[16]:①假设把数据分成K个类,随机选取K个点,作为聚类中心;②计算每个点到K个聚类中心的聚类,然后将该点分到最近的聚类中心,这样就行成了K个簇;③再重新计算每个簇的质心(均值);④重复以上第②—④步,直到质心的位置不再发生变化或者达到设定的迭代次数。仅根据数据分布特征还不能反映主控因素在底板突水事件中的非线性动力学特征,使K尽可能大,然后,通过专家知识和经验将K合并到需要的类数。

2.2 层次分析法确定权重

层次分析法(AHP)是一种定性与定量相结合的多目标决策分析方法。该方法在底板突水的主控指标体系的基础上,将底板突水复杂事件分解为中间层次和底层因素。根据专家的知识和经验,通过专家打分的方式得到判断矩阵,运用Matlab计算判断矩阵得到各主控因素的权重[9]

3 应用实例

3.1 井田概况

邢东井田隶属于冀中能源股份有限公司,位于邢台市东北部。主要可采煤层为2煤,其厚度稳定,据以往勘探资料,勘查区主采2煤层位于区域岩溶水位之下,在厚隔水层情况下,仍属带压开采区。煤层开采除受顶板水害之外,还面临下伏区域奥灰强含水层岩溶水的威胁。据区域岩溶水文地质条件分析,邢东井田处于百泉泉域的东北部,断层较多,区内水文地质条件较为复杂,中奥陶统峰峰组、马家沟组岩溶裂隙较发育,地下水补、径、排条件良好,矿井中西部赋存有较丰富的岩溶水。2011年到2018年期间,井田东部2127工作面、2126工作面、2222工作面和2228工作面分别发生底板奥灰水突水,尤其是在2228工作面发生了峰值突水量达到2 649 m3/h的特大突水。

3.2 主控指标体系建立

在邢东矿以往获得的地勘资料以及历次底板突水原因总结的基础上,从含水层、地质构造、隔水层3个方面选取奥陶系峰峰组灰岩富水性、奥陶系峰峰组含水层水压、断层规模指数、构造分形维数、交点和尖灭点和隔水层厚度建立底板突水主控指标体系,如图1所示。

图1 底板突水主控指标体系
Fig.1 Main floor water inrush control index system

1)底板含水层富水性:煤层底板含水层的富水性是指含水程度或释放水量的能力,富水性决定了充水强度[17]。富水性的主要依据是钻孔的单位涌水量,通过钻孔抽水试验所取得的相关数据,经过统降后获得以孔径91 mm,抽水水位降深10 m为统一基数的钻孔单位涌水量来进行富水性划分,奥陶系峰峰组灰岩富水性专题图如图2a所示。

2)奥灰含水层水压:含水层水压是底板突水的动力,底板突水的实质是当水头压力大于隔水层的隔水强度,故含水层水压越大,底板突水危险性越大,奥陶系峰峰组含水层水压专题图如图2b所示。

3)断层规模指数:断层规模指数是单位面积内所有断层的落差与其走向长度乘积之和,其反映断层总体的规模和发育程度,越大往往突水危险性越强[7,18-19],断层规模指数专题图如图2c所示。

4)构造分形维数:构造的分布具有非线性分布特征,基于分形理论的数盒子法进行度量,文中利用分形维数结合地理信息系统评价构造分布的复杂程度[20-21]。邢东矿井田内的断层全为正断层,表现为断层带内张性裂隙发育。据施龙青总结81%的断层突水的突水点并不真正断层面上,而是与断层有一定距离的[3]。故将井田内的构造纲要图中的线要素装换成面要素,并将井田划分为400 m*400 m的网格,计算每个网格的分形维数,以网格中心点的分形维数表示该网格的分形维数[19,21],经过克里金插值得到构造分形维数专题图如图2d所示。

5)构造交点和端点:构造的交点和端点位置应力集中,使得附近的岩体破碎、裂隙和节理发育,在矿压破坏的叠加作用下,极易导通底板含水层,发生突水事故,构造交点和端点专题图如图2e所示。

6)隔水层厚度:煤层和含水层之间的隔水层具有阻碍或减弱水头压力的功能,隔水层越厚,阻水能力越强,底板突水危险性越小(图2f)。

图2 底板突水主控因素专题图
Fig.2 Main control factor of floor water inrush

3.3 权重及区间划分

将上述6个主控因素的专题图划分为相同的400 m×400 m网格,共计115个网格,并提取各网格中心点的值,以中心点的值代表所处网格的值。应用K-Means聚类算法根据主控因素的原始数据分布特征将其分为10类,再使用德尔菲法将这10类分别合并成安全、较安全、较危险、危险4个等级区间。对于权重系数按照图1建立层次结构模型,根据专家打分得到判断矩阵,经Matlab计算出各主控因素的权重。底板突水主控因素权重系数及危险等级划分见表1 。

3.4 底板突水危险性评价

将采样点的各主控因素值带入对应的白化权函数中,得到其和各个危险性等级的隶属度关系;然后,通过邓氏灰色关联理论算得采样点与各危险性等级的关联度矩阵;再将关联度矩阵带入到最优模型中进行计算,获得其危险性结果;最后,通过GIS呈现邢东矿底板突水危险性评价分区如图3所示。

据图可知安全、较安全、较危险和危险4个等级区域的面积占比分别为1.54%、41.80%、34.84%、21.82%,并且邢东矿底板突水危险性评价划分得到的网格具有分区集聚效应,危险区主要分布在井田的北部和东部。危险性评价分区的结果,由6个主控因素共同作用,不存在某个因素占有绝对优势,充分利用了各个因素自身的信息。另外,通过专家知识和经验获得的权重及等级区间值增强了数据的针对性。根据邢东矿历史上的4次底板突水事故全部位于危险区的结果,说明了模型得出的结果与工程实际相符。

表1 底板突水主控因素权重系数及危险等级划分

Table 1 Weight of main control factors of floor water inrush and classification of hazard levels

参数权重系数安全等级安全较安全较危险危险单位涌水量/(L·s-1·m-1)0.120 10~0.130.13~0.450.45~0.990.99~2.70含水层水压/MPa0.360 55.00~6.806.80~9.409.40~11.0211.02~15.00断层规模指数0.127 90~0.100.10~0.290.29~0.530.53~0.80构造分形维数0.242 30~1.131.13~1.241.24~1.471.47~1.75交点和尖灭点/个0.035 20~22~44~88~16隔水层厚度/m0.114 0194~182182~169169~140140~120

图3 邢东矿底板突水危险性评价分区
Fig.3 Zoning diagram of risk assessment of water inrush from floor in Xingdong Mine

4 与突水系数法的对比

采用《煤矿防治水细则》中的采煤工作面安全水头值计算公式,以0.06 MPa/m为底板是否存在突水危险的临界值,得到图4所示的邢东矿突水系数等值线图。对比图3和图4发现二者的分布趋势具有一定相似性,但突水系数法得到的结果不全面、危险性分类较为粗糙。实际上,根据文献[22],突水系数公式是薄板理论公式的近似,具有理论依据,但同时该公式的适用范围为回采工作面且底板隔水层厚度小于50 m[22]。邢东矿的底板隔水层厚度区间为124~194 m,均值为159.9 m,远大于隔水层厚度在50 m内的适用范围。就邢东矿的案例来说,相对于突水系数法,区间灰色最优聚类理论的优势在于引入了包括含水层水压和隔水层厚度在内的另外四个主控因素,信息量扩大的同时,也模糊了临界值的绝对控制作用,矫正了的突水系数法所得评价结果的片面性,突破了突水系数法适用范围的局限性。

图4 邢东矿突水系数等值线
Fig.4 Contours of water inrush coefficient in Xingdong Mine

5 结 论

1)以邢东矿为例,确定了奥陶系峰峰组灰岩富水性、奥陶系峰峰组含水层水压、断层规模指数、构造分形维数、交点和尖灭点和隔水层厚度作为底板突水主控因素。采用定性与定量相结合的方法,以层次分析法为6个主控因素确定权重系数,以K-Means聚类算法将各主控因素划分为安全、较安全、较危险、危险4个等级。通过改进的白化权函数,用隶属度的关系将原本的离散值的映射到区间值上,解决了地勘信息不完整、数据不准确所导致的“小数据”、“贫信息”不确定性问题,以及主控因素物理意义、量纲、量级差异大导致的结果失真问题。

2)应用邓氏灰色关联理论得到评价对象与各底板突水危险性等级的关联度,再根据加权广义距离概念所建立的最优模型获得评价结果。对结果进行统计分析得到各危险性等级的分布情况和面积大小等数据。结果显示,邢东矿历史上的4次底板突水事故全部位于危险区,说明该评价方法的结果与实际情况相符,可以对深部开采底板厚隔水层突水危险性进行评价。

3)借助GIS强大的空间信息管理和分析功能完成模型建立、计算以及结果展示的全过程,方法简单实用,自动化程度高。

4)相对传统的突水系数法来说,深部开采底板厚隔水层突水危险性评价方法应用到的信息量更丰富,用等级区间取代临界值,评价结果更加客观准确,突破了突水系数法适用于底板隔水层厚度小于50 m 的局限,运用区间灰色最优聚类理论建立了深部开采底板厚隔水层突水危险性评价的方法。

参考文献(References):

[1] 武 强,赵苏启,李竞生,等.《煤矿防治水规定》编制背景与要点[J].煤炭学报,2011,36(1):70-74.

WU Qiang,ZHAO Suqi,LI Jingsheng,et al.The preparation background and the main points of rule of mine prevention and cure water disaster[J].Journal of China Coal Society,2011,36(1 ):70-74.

[2] 武 强.我国矿井水防控与资源化利用的研究进展、问题和展望[J].煤炭学报,2014,39(5):795-805.

WU Qiang.Progress,problems and prospects of prevention and control technology of mine water and reutilization in China[J].Journal of China Coal Society,2014,39(5):795-805.

[3] 施龙青,韩 进.底板突水机理及预测预报[M].徐州:中国矿业大学出版社,2005.

[4] 田 干.煤层底板隔水层阻抗高压水侵入机理研究[D].北京:煤炭科学研究总院,2005.

[5] 中华人民共和国煤炭工业部.矿井水文地质规程(试行)[M].北京:煤炭工业出社,1984.

[6] 国家煤矿安全监察局制定.煤矿防治水细则[M].北京:煤炭工业出社,2018.

[7] 左人宇,龚晓南,桂和荣.多因素影响下煤层底板变形破坏规律研究[J].东北煤炭技术,1999(5):3-7.

ZUO Renyu,GONG Xiannan,GU Herong.Research of coal seam floor’s strain and fracture regularity influenced by several facts[J].Northeast Coal Science Technology,1999(5):3-7.

[8] 武 强,张志龙,马积福.煤层底板突水评价的新型实用方法Ⅰ:主控指标体系的建设[J].煤炭学报,2007,32(1):42-47.

WU Qiang,ZHANG Zhilong,MA Jifu.A new practical methodology of the coal floor water bursting evaluating(PartⅠ):The master controlling index system construction[J].Journal of China Coal Society,2007,32(1):42-47.

[9] 武 强,张志龙,张生元,马积福.煤层底板突水评价的新型实用方法Ⅱ:脆弱性指数法[J].煤炭学报,2007,32(11):1121-1126.

WU Qiang,ZHANG Zhilong,ZHANG Shengyuan,et al.A new practical methodology of the coal floor water bursting evaluating(PartⅡ):the vulnerable index method[J].Journal of China CoalSociety,2007,32(11): 1121-1126.

[10] 刘思峰.灰色系统理论及其应用[M].北京:科学出版社,2018:1-13.

[11] 罗 党.灰色决策问题的分析方法研究[D].南京:南京航空航天大学,2005.

[12] 焦明连.基于灰色聚类分析的矿山环境质量评价[J].煤矿开采,2016,21(2):78-82.

JIAO Minglian.Evaluation of mine environment quality based on gray cluster analysis[J].Coal MiningTechnology,2016,21(2):78-82.

[13] 王正新,党耀国,刘思峰.基于白化权函数分类区分度的变权灰色聚类[J].统计与信息论坛,2011,26(6):23-27.

WANG Zhengxin,DANG Yaoguo,LIU Sifeng.Grey clusters with variable weights based on the classification degree of the whitening weight functions[J].Statistics &Information Forum,2011,26(6):23-27.

[14] 肖新平,肖 伟.灰色最优聚类理论模型及其应用[J].运筹与管理,1997(1):23-28.

XIAO Xinping,XIAO Wei.Grey optimal theory model of classification and its application[J].Operations Research and Management Science,1997(1):23-28.

[15] 黄 韬,刘胜辉,谭艳娜.基于K-means聚类算法的研究[J].计算机技术与发展,2011,21(7):54-57,62.

HUANG Tao,LIU Shenghui,TAN Yanna.Research of clustering algorithm based on K-means[J].Computer Technology and Development,2011,21(7):54-57,62.

[16] DHANE.K-means聚类算法原理简析[EB/OL].https://blog.csdn.net/Dhane/article/details/86661208.

[17] 范书凯.华北型煤田南部底板突水评价与对策[D].北京:中国矿业大学(北京),2012.

[18] 李 哲,牛鹏堃,宫厚健,等.基于GIS的AHP型和ANN型脆弱性指数法在底板突水评价应用中的适用性分析[J].煤矿开采,2018,23(1):8-12.

LI Zhe,NIU Pengkun,GONG Hou jian,et al.Applicability analysis of AHP and ANN vulnerability index base on GIS in coal floor water inrush evaluation[J].Coal Mining Technology,2018,23(1):8-12.

[19] 郭信山,施龙青.基于断层影响因子与断层分维特征的断层突水危险性定量化分析[J].山东大学学报:工学版,2014,44(5):58-64.

GUO Xinshan,SHI Longqing.Research on quantitative analysis of water inrush through risk based on fault impact factor and fault fractal dimension characteristics[J].Journal of Shandong University:Engineering Science,2014,44(5):58-64.

[20] 陈 颙,陈凌.分形几何学[M].2版.北京:地震出版社,2005.53-75.

[21] 朱晓华.地理空间信息的分形与分维[M].北京:测绘出版社,2007.15-28.

[22] 尹尚先.新版《煤矿安全规程》(防治水部分)修订要点解读与讨论[J].煤炭科学技术,2017,45(7):139-143.

YIN Shangxian.Interpretation and discussion on revised key points of mine water prevention part from Coal Mine Safety Regulations[J].Coal Science and Technology,2017,45(7):139-143.

Study on risk assessment method of water inrush from thick floor aquifuge in deep mining

YIN Shangxian1,XU Wei1,YIN Huichao2,CAO Min1,3

(1.Hebei State Key Laboratory of Mine Disaster PreventionNorth China Institute of Science and TechnologyBeijing 101601,China; 2.School of Information EngineeringInstitute of Disaster PreventionBeijing 101601,China;3.School of Energy and Mining Engineering, China University of Mining and Technology-Beijing,Beijing 100083,China)

Abstract:The water bursting coefficient is not fully applicable to the evaluation of water inrush risk in thick seams in deep mining.In order to solve the problem of water inrush risk assessment of thick water-bearing floor in deep mining above aquifer,the master indicator system of floor water inrush is established according to mine conditions.Based on the interval gray optimal clustering theory,powerful spatial information management and analysis function of GIS are used to complete model creation,calculation,and results display.The weight coefficient of AHP is determined according to the degree of contribution of the main control factors to the risk of water inrush.The K-Means clustering algorithm divides the interval values of different risk categories according to the data distribution characteristics and expert knowledge and experience,which solves the complexity and uncertainty of the main control factors.According to the concept of membership degree,the classical whitenization weight function is improved.The definition of the whitenization weight function of each category is not only related to the adjacent upper and lower intervals,but is related to the standard value of each interval.The whitenization weight function maps the discrete gray numbers to the interval gray numbers,which solves the problem of result distortion caused by the great difference of the physical meaning,dimension and magnitude of the main control factors.The deterministic judgment of the membership degree under the h risk level is 1 as the system characteristic behavior sequence,and the Deng’s gray correlation degree between the evaluation object and each risk category is calculated to form the relevance degree matrix.The weighted generalized distance with the degree of difference between the evaluation object and each risk category is used to describe the proximity of the evaluation object to the h category,and finally the optimal model is established.Taking Xingdong Mine as an example,based on the exploration data and the results of previous water inrush investigations,six main control factors were selected,the weight coefficient was determined by AHP,and the K-Means clustering algorithm was used to determine four level interval values of safe,safe,danger and danger.The partition map of the risk of floor water inrush is obtained by using the grey optimal clustering theory.In the end,data such as the distribution of the various hazard levels and the size of the area were obtained.The results show that the locations where the water inrush accidents occurred are located in the danger zone.Compared with the evaluation results of the water bursting coefficient method,due to the larger amount of information,the absolute control effect of the critical value is weakened by the membership relationship,which makes the result more comprehensive.At the same time,the water bursting coefficient method based on thin plate theory is broken only for the bottom plate,which is less than 50 m.A method for evaluating the water inrush risk of the thick water-storing layer in deep mining above aquifer is formed.

Key words:grey clustering;whitenization weight function;degree grey incidence;main controlling factors;GIS;risk of water inrush

移动扫码阅读

尹尚先,徐 维,尹慧超,等.深部开采底板厚隔水层突水危险性评价方法研究[J].煤炭科学技术,2020,48(1):83-89.doi:10.13199/j.cnki.cst.2020.01.011

YIN Shangxian,XU Wei,YIN Huichao,et al.Study on risk assessment method of water inrush from thick floor aquifuge in deep mining[J].Coal Science and Technology,2020,48(1):83-89.doi:10.13199/j.cnki.cst.2020.01.011

中图分类号:TD745

文献标志码:A

文章编号:0253-2336(2020)01-0083-07

收稿日期:2019-07-02责任编辑:曾康生

基金项目:国家重点研发计划资助项目(2017YFC0804108)

作者简介:尹尚先(1964—),男,山西朔州人,教授,博士生导师,博士。Tel:010-61590331,E-mail:yinshx03@126.com

通讯作者:徐 维(1993—),男,安徽滁州人,硕士研究生。E-mail:512097604@qq.com.