关键层对特厚煤层综放开采地表沉陷规律的影响研究

高 超1,徐乃忠1,何标庆2,邓伟男1

(1.天地科技股份有限公司 开采设计事业部,北京 100013;2.龙岩学院 资源工程学院,福建 龙岩 364000)

摘 要:特厚煤层综放开采一次性采全高,其采放煤层厚度大,垮落带和裂隙带高度亦相应增大,使得覆岩“两带”发育直接波及到覆岩上部、对地表沉陷起重要控制的厚硬关键层,其移动变形与地表沉陷特征密切相关。为从覆岩内部岩层移动变形角度探究关键层对特厚煤层综放开采地表沉陷的控制影响作用,应用工程类比法与数值模拟综合确定了东坡煤矿914工作面“两带”高度发育情况,通过关键层理论计算了各亚关键层和主关键层破断距与层位,应用3DEC模拟了关键层对地表沉陷规律的控制影响作用。研究结果表明:应用工程类比法结合数值模拟塑性分区法可综合确定“两带”高度发育情况;上覆岩层及地表的移动变形受厚硬岩层的影响控制,表现为上覆岩层破断特征具有组合移动性、传播至地表呈突陷性;关键层内岩梁破断长度越短,地表沉陷盆地边缘越平缓、地表沉陷影响范围越大;受关键层破断距与破断形式差异的影响,地表下沉盆地开切眼侧较陡、终采线侧相对较缓。

关键词:特厚煤层;综放开采;关键层;岩层移动;地表沉陷

0 引 言

按煤层厚度定义,单一煤厚超过3.5 m时为厚煤层、厚度超过8 m则为特厚煤层。特厚煤层综放开采地表沉陷与常规综采或特厚煤层分层开采有一定的差异,现阶段对于厚煤层综放开采地表沉陷规律已有部分研究成果;伴随采煤工艺及科学技术的不断发展,特厚煤层综放开采一次采全高逐渐得到广泛应用,相关学者对该地质采矿条件下地表沉陷规律的研究也逐渐展开。

有许多学者就这方面做了大量的研究,戴华阳等[1]对华亭煤矿分层综放开采的地表沉陷特征进行了相似材料模拟研究;丁小敏等[2]基于砚北煤矿地表移动变形实测数据对该地质采矿条件下地表沉陷规律进行了研究;胡青峰[3]对塔山特厚煤层综放开采条件下的地表沉陷规律及沉陷预计方法进行了探讨;任耀等[4]基于不连沟煤矿的地表移动变形实测数据,分析探讨了该地质采矿条件下地表移动规律;管俊才等[5]探讨了元堡煤矿的地表移动变形规律及沉陷特征;郭文兵等[6]基于实测数据对常村煤矿地表沉陷规律进行了研究;赵兵朝等[7]基于郭家河煤矿的实测数据,对非充分采动条件下的地表移动变形特征进行了研究;高超等[8-9]基于东坡煤矿的地表移动变形数据,对该地质采矿条件下的地表变形特征及其特殊性进行了分析,并对其地表沉陷预计模型进行了改进。

目前特厚煤层综放开采覆岩内部移动变形对地表沉陷特征的控制影响研究尚不成熟,且大多研究结果是基于相似材料、数值模拟或地表移动观测站取得的实测数据进行的表象分析,未针对覆岩内部厚硬岩层对地表沉陷的控制影响作用展开研究;同时特厚煤层综放开采一次性采放出的煤层厚度大,覆岩“两带”发育高度大,甚至使得“两带”高度直接波及至上部、对地表起重要沉陷控制的厚硬岩层,尤其那些高位关键层的移动变形与地表沉陷特征密切相关,研究好上覆厚硬岩层的移动变形将对地表沉陷的发育特征、地表沉陷控制具有重要意义。

1 矿井概况

东坡煤矿隶属山西朔州市,地表黄土沟壑发育;走向长壁布置的914工作面斜长为240 m、走向推进长度约1 250 m,开切眼侧和终采线侧各有宽约15 m区域只进行机采而不放煤;开切眼侧机采高度约3.6 m,放煤高度约10.8 m,平均采高为14.4 m,该区域采深约265 m,深厚比为18.4∶1.0;采煤方法为特厚煤层综放一次采全高,煤层平均倾角2.3°,全部垮落法管理顶板,工作面推进速度约2.8 m/d,开采强度较大,地表伴随有剧烈的裂缝性破坏(图1)。

图1 开切眼附近对应地表台阶下沉
Fig.1 Surface step subsidence of open-off cut

2 地表沉陷主控关键层理论计算

2.1 覆岩破坏的“两带”高度确定

2.1.1 工程类比法

采用文献[10]推荐使用的厚煤层分层开采“两带”高度计算公式,东坡煤矿914工作面“两带”高度计算结果仅为59.7~85.9 m(岩性为中硬),即导水裂缝带高度约为采高的4.1~6.0倍,这显然与实际情况不符。2017年上述规范对应的指南虽然对厚煤层综放开采的导水裂缝带高度进行了补充,但仅适用于采高为3~10 m的综放开采工作面。

许延春等[11]搜集了国内40余个厚煤层综放开采矿井“两带”高度实测数据,回归得到适用于综放开采的“两带”高度计算公式;但该公式未考虑中误差的影响,回归数据采高大于10 m的矿井也仅2个,数据量偏少。刘英锋等[12]应用钻孔简易水文观测法和钻孔电视得到大佛寺煤矿煤矿坚硬、深埋、特厚煤层综放开采条件下的“两带”高度为170.8~192.1 m。董检平等[13]应用钻孔冲洗液漏失量观测法测得朱仙庄煤矿导水裂缝带高度为130.78 m。舒宗运等[14]应用钻孔冲洗液漏失量法得到郭家河煤矿特厚煤层综放开采条件下的两带高度为164 .00 m。陈书客[15]在井下应用仰孔注水漏失量观测得陈家沟煤矿“两带”高度为149.00 m。

2.1.2 数值模拟计算

为确定东坡煤矿地质采矿开采条件下的各关键层及层位,应用FLAC3D对工作面开采后覆岩塑性区及破坏特征进行了模拟研究。工作面开采后塑性区破坏情况如图2所示。由模拟结果可知,该地质采矿条件下,上覆岩层由于煤壁两侧的“切割作用”以及采空区内垮落岩块支撑作用,工作面上下巷道两侧导水裂缝带高度比工作面中部发育高,由数值模拟提取数据可知,导水裂缝带高度在工作面开切眼侧约为162 m、终采线侧约为156 m。

图2 914工作面塑性区分布特征
Fig.2 Distribution characteristics of plastic
zone for No.914 working face

由数值模拟结果可知,特厚煤层综放开采一次性采放煤厚大,导水裂缝带发育沿煤层走向更似“马鞍形”,并且由于深厚比小、采出厚度大等特征,上覆岩层内沿煤壁两侧的剪破坏作用比拉破坏作用更剧烈,工作面上下平巷侧对应的导水裂缝带发育高度较大;需要分析比常规开采条件下的覆岩高度范围更大的岩层破断特征,并探究厚度较大、岩性较硬岩层对上覆岩层的弯曲下沉控制性作用。

2.2 关键层判别

许家林等[16]提出通过关键层层位判别来进行导水裂缝带高度预计的方法,并应用相似材料模拟试验和实测数据对该方法的准确性进行了验证;缪协兴等[17]对导水裂缝带与关键层的影响关系进行了分析。根据东坡煤矿地质采矿条件下的覆岩塑性区发育情况,结合工作面附近的钻孔柱状图,选取9煤顶板以上177.3 m范围内的煤岩层,并据各地层物理力学性质试验结果,基于钱鸣高等[18]提出的关键层判别理论,对各岩层进行参数赋值,将岩层视为固支梁式的断裂进行计算,对工作面覆岩关键层进行判别,分析结果见表1。

表1 914工作面关键层计算参数

Table 1 Calculation parameters of key layers for No.914 working face

序号岩性层厚/m至9煤距离/m初次断距/m关键层判别序号岩性层厚/m至9煤距离/m初次断距/m关键层判别1粗砂岩8.65177.26——20粗砂岩9.5360.4334.1亚关键层32砂质泥岩13.40168.61——214-1煤6.8050.90——3中砂岩10.45155.21——22砂质泥岩1.5744.10——4细砂岩9.47144.76——23细砂岩1.0242.53——5中砂岩2.59135.29——24砂质泥岩2.1141.51——6细砂岩8.01132.7040.6亚关键层5254-2煤1.8039.40——7砂质泥岩9.79124.69——26砂质泥岩1.0437.60——8中砂岩4.30114.90——27细砂岩2.0336.56——9砂质泥岩8.79110.6041.5主关键层285煤1.4034.53——10细粒砂岩2.65101.81——29砂质泥岩7.7433.1331.1亚关键层211中粒砂岩2.4099.16——30细砂岩1.8925.39——12砂质泥岩9.3196.7638.9亚关键层431中砂岩5.8023.5030.5亚关键层113中粒砂岩3.3587.45——32细砂岩1.3017.70——14细粒砂岩4.2984.10——33中砂岩4.4916.40——15粗粒砂岩4.2279.81——34细砂岩4.5411.9127.5基本顶16砂质泥岩5.6975.59——35砂质泥岩1.477.37—17中粒砂岩2.6569.90——368煤1.555.90—18泥岩1.3567.25——37砂质泥岩4.354.35—直接顶区域19中粒砂岩5.4765.90——389煤14.40.00—开采层

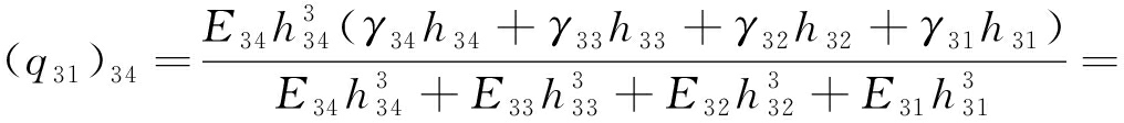
9煤直接顶为砂质泥岩强度低,随采随冒、承重作用较弱;34层细粒砂岩厚度较大且致密坚硬,不易发生破断,同时考虑垮落岩块的支撑作用,该层可认为基本顶。34层岩层自身载荷q34可由各岩层容重γ、层厚h和弹性模量E计算式为

q34=γ34h34=111.23 kPa

(1)

第33层对第34层的作用表达为

(2)

第32层对第34层的作用表达式为


141.37 kPa>(q33)34

(3)

说明第32层对第34层载荷有影响;第31层对第34层的作用表达式为


104.74 kPa<(q32)34

(4)

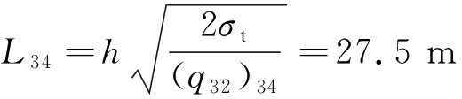
因第31层厚度大、强度高,其可能是关键层,对下部岩层不再有载荷作用,因此第34层所受载荷为141.37 kPa。按固支梁的极限垮距[21]计算式为

(5)

同理,第31层受载荷为178.9 kPa,初次破断距L31=30.5 m;29号岩层受载荷为444.9 kPa,初次破断距L26=31.1 m;20号层受载荷为592.4 kPa,初次破断距L20=34.1 m;12号岩层受载荷为329.9 kPa,初次破断距L12=38.9 m;9号岩层受载荷为311.5 kPa,初次破断距L9=41.5 m;6号岩层受载荷为248.4 kPa,初次破断距L6=40.6 m。

由于L34<L31<L29<L20<L12<L9L9>L6,因此9号岩层为主关键层,工作面开采后该岩层对上覆岩层破断及整个上覆岩层乃至地表的弯曲下沉起控制性作用,同时位于9号下部的各厚硬岩层第12、20、29、31与第34层为亚关键层。

3 关键层对上覆岩层移动变形控制模拟

3.1 模型建立

关键层对地表移动变形的控制作用表现为岩层抗拉性质与抗弯曲性质对地表沉陷的影响,该条件可转化为受采动影响后“两带”范围内岩层的岩梁长度,受扰动前的岩层厚度越大、抗拉与抗压强度越大,则该岩层的周期垮落步距越大。在计算确定了覆岩内主关键层及各亚关键层的层位后,应用3DEC并结合岩层的周期破断距,沿工作面推进方向将“两带”范围内岩层进行尺寸划分,并根据关键层强度差异,从上覆岩层内部岩体的移动变形及稳定结构形成对特厚煤层综放开采覆岩破坏特征及地表沉陷规律进行分析。

根据前述计算分析得到的各关键层位置、初次破断距和周期破断距关系、岩层岩性等因素,根据东坡煤矿914工作面的地质采矿条件共建立4个模型:①模型A——亚关键层与主关键层的周期破断距分别为17.5 m和22.5 m;②模型B——各关键层岩块长分别为20 m和25 m;③模型C——各关键层岩块长分别为22.5 m和27.5 m;④模型D——各关键层岩块长分别为25 m和30 m。

3.2 关键层对覆岩移动变形控制影响

模型B中工作面不同推进度覆岩破坏及地表沉陷特征(图形较多,仅给出模型B中的部分推进度对应状态)如图3所示。

图3 914工作面开采覆岩与地表移动变形过程
Fig.3 Process of overburden and surface
movement deformation for No.914 working face

当工作面推进至20 m时,只采不放的15 m区域内顶煤和下位直接顶一起垮落,下位和中位直接顶间出现横向离层;推进至40 m时,中位直接顶破断,上位直接顶内出现纵向裂隙,同时受下部已垮落岩块支撑和岩块自身旋转铰接挤压作用,该层位岩层暂时未垮落;推进至60 m时,各岩层相继破断、压覆至下部垮落岩块,整体上呈离层-下沉-旋转-垮断-挤压铰接状态;至80 m时,随开采尺寸的增加以及垮落岩块充填进入采空区,再上部的岩层暂时形成稳定的支撑结构。

工作面推进至100 m时,出现横向的“梭形”离层区;推进至120~160 m后,煤层顶板以上约60 m处的水平离层区随工作面推进而逐渐向前发育,同时因上覆岩层的弯曲下沉区域扩大,离层区逐步缩减。推进至180~200 m后,随岩梁的弯曲变形,覆岩向采空区弯曲下沉的同步变形逐步明显,离层区域虽然仍逐步随工作面推进而向前发育、后方离层空间逐步闭合;推进至320 m时,地表监测到下沉盆地出现平底;推进至340 m并运行至平衡状态。

根据地表移动变形监测点提取并绘制的工作面不同推进度下地表下沉曲线如图4所示,其中L为沿工作面推进方向的距离,m,起始点为数值模型的左侧边界,工作面开采尺寸为180~520 m;W表示地表下沉量,mm。

图4 不同开采尺寸下的地表下沉曲线
Fig.4 Surface subsidence curves of different mining sizes

对于特厚煤层综放开采,一次性采出煤层厚度加大,采空区空间亦骤然加大,已垮落岩块对覆岩的弹性垫层支撑性作用减弱,需更高层位的岩层弯曲-旋转-破断进入采空区才能形成稳定空间,致使垮落带高度加大;同时采出煤层厚度的增大,各垮落岩块间水平挤压与垂向挤压作用减弱;地表下沉量的增加值与工作面推进度呈非等速性关系,结合数值模拟可知,不同开采尺寸下,各关键层破断后引起的地表下沉量值较剧烈、下沉量增加值比非关键层破断引起的地表下沉量增加值大。由于厚硬关键层对上覆岩层的破断控制性影响明显,软弱岩层的破断伴随厚硬岩层断裂而进行,覆岩具有成组破断特征与成组移动性,反映至地表即为突陷性,关键层的强度与刚度差异(不同岩块长度)对覆岩与地表的控制作用也不尽相同。

3.3 关键层对地表沉陷特征影响

由模拟结果可知,厚硬主关键层对地表研究点的移动变形起控制性作用,地表的快速下沉紧随主关键层的初次破断;而关键层的周期破断及破断后形成的稳定结构形式将直接影响着“两带”内的岩层移动量,进而控制着“两带”以上以及地表下沉盆地的最大沉陷量、下沉盆地边缘的移动变形情况及盆地中部的台阶下沉情况。图5为根据地表沉陷监测点,提取并绘制的模型中位于“两带”内不同关键层周期性断裂步距影响下的地表下沉曲线。

图5 关键层不同周期断裂距影响下的地表下沉曲线
Fig.5 Surface subsidence curves under influence of
different periodic fracture distances of key strata

若不考虑坚硬厚岩层、仅按照随机介质理论计算,工作面开采后对应沉陷盆地的范围、形状仅与采出煤厚、开采尺寸等有关,即随机介质理论不能考虑岩层的强度、刚度的沉陷影响,沉陷盆地呈完美的对称性。由图5及试验数据可知,关键层内岩梁长度越短,下沉盆地边缘越平缓、沉陷影响范围越大。

同时,关键层的周期破断距不同,岩层垮落后形成的稳定结构亦有一定差异,且该结构对地表下沉盆地的影响很明显,即下沉盆地开切眼侧(左侧)较陡,终采线侧(右侧)较平缓。结合数值模拟可知,工作面自切眼向终采线方向推进,关键层的刚度与抗拉强度越大,在切眼侧形成的“三角形”支撑空间越大(该空间密实度低、孔隙率大),反映至地表的下沉盆地越平缓;同时由于“三角形”支撑空间的存在,上覆岩层由下部已垮落岩块的支撑作用,悬臂岩梁伸向采空区的悬臂段长度越大,下沉盆地的主要影响范围也随关键层强度的增加而逐渐向采空区侧缩减。随工作面向前推进、覆岩尤其关键层初次破断后,后续覆岩的破断及支撑结构转为悬臂梁结构,当推进至终采线附近时,关键层强度(各岩梁周期破断距的差异变小)的影响因素比切眼侧变弱,终采线侧关键层强度对地表沉陷盆地形状的控制性作用及程度也弱化、各模型的沉陷影响曲线差异变小。

4 结 论

1)应用数值模拟塑性分区法与工程类比法可综合确定导水裂缝带高度发育情况,东坡煤矿特厚煤层综放开采条件下最大导水裂缝带高度为162 m;该方法可指导工作面开采高硬关键层层位判别及变形破坏特征研究。

2)厚硬岩层移动变形对上覆岩层及地表起控制性作用,软弱岩层的破断伴随厚硬岩层断裂而进行,覆岩具有成组破断特征与成组移动性,反映至地表即为突陷性。

3)厚硬关键层对地表的沉陷控制性作用较明显:关键层内岩梁长度越短,下沉盆地边缘越平缓、沉陷影响范围越大;受关键层破断距与破断形式差异的影响,下沉盆地切眼侧较陡,终采线侧较缓。

参考文献

[1] 戴华阳,易四海,鞠文君,等.急倾斜煤层水平分层岩层移动规律[J].北京科技大学学报,2006,28(5):409-412,467.

DAI Huayang,YI Sihai,JU Wenjun,et al.Law of strata and surface movement due to horizontally-sliced mechanized top-caving mining at steep-inclined super-thick coal seam[J].Journal of University of Science and Technology Beijing,2006,28(5):409-412,467.

[2] 丁小敏,霍宗保,汪占领,等.低山丘陵地带特厚煤层分层综放开采地表岩移规律及特点[J].煤矿开采,2010,15(4):38-39.

DING Xiaomin,HUO Zongbao,WANG Zhanling,et al.Surface and strata movement rules of full-mechanized caving mining extremely thick coal seam in slices in low-mountain hilly terrain[J].Coal Mining Technology,2010,15(4):38-39.

[3] 胡青峰.特厚煤层高效开采覆岩与地表移动规律及预测方法研究[D].北京:中国矿业大学(北京),2011.

[4] 任 耀,李晓辉,姜 敏.特厚煤层综放开采地表移动规律实测研究[J].采矿技术,2012,12(3):65-68.

REN Yao,LI Xiaohui,JIANG Min.Research on actual measurement of surface movement law for fully-mechanized top coal caving in extra thick seam[J].Mining Technology,2012,12(3):65-68.

[5] 管俊才,鞠金峰.元堡煤矿浅埋特厚煤层开采地表沉陷规律研究[J].中国煤炭,2013,39(5):37-40.

GUAN Juncai,JU Jinfeng.Ground subsidence regularity from shallow buried super-thick seam mining in Yuanbao Coal Mine[J].China Coal,2013,39(5):37-40.

[6] 郭文兵,李圣军.“三软”特厚煤层开采地表沉陷规律研究[J].河南理工大学学报:自然科学版,2014,33(6):733-737.

GUO Wenbing,LI Shengjun.Study pattern of surface subsidence characteristics of “three-soft” and especially thick coal seam mining[J].Journal of Henan Polytechnic University:Natural Science,2014,33(6):733-737.

[7] 赵兵朝,刘 阳,贺卫中,等.郭家河煤矿综放开采地表岩移参数分析[J].煤矿安全,2018,49(8):254-257.

ZHAO Bingchao,LIU Yang,HE Weizhong,et al.Parameters analysis of surface rock movement by fully mechanized caving mining in Guojiahe Mine[J].Safety in Coal Mines,2018,49(8):254-257.

[8] 高 超,徐乃忠,刘 贵,等.特厚煤层综放开采地表沉陷规律实测研究[J].煤炭科学技术,2014,42(12):106-109.

GAO Chao,XU Naizhong,LIU Gui,et al.Research on actual measurement of surface subsidence law for fully-mechanized top coal caving in extra thick seam[J].Coal Science and Technology,2014,42(12):106-109.

[9] 高 超,徐乃忠,刘 贵.特厚煤层综放开采地表沉陷预计模型算法改进[J].煤炭学报,2018,43(4):939-944.

GAO Chao,XU Naizhong,LIU Gui.Improvement on prediction model algorithm for surface subsidence of extra thick seam using fully mechanized top coal caving method[J].Journal of China Coal Society,2018,43(4):939-944.

[10] 国家安全监管总局,国家煤矿安监局,国家能源局,国家铁路局.建筑物、水体、铁路及主要井巷煤柱留设与压煤开采规范[M].北京:煤炭工业出版社,2017.

[11] 许延春,李俊成,刘世奇,等.综放开采覆岩“两带”高度的计算公式及适用性分析[J].煤矿开采,2011,16(2):4-7,11.

XU Yanchun,LI Juncheng,LIU Shiqi,et al.Calculation formula of “Two-zone” height of overlying strata and its adaptability analysis[J].Coal Mining Technology,2011,16(2):4-7,11.

[12] 刘英锋,王世东,王晓蕾.深埋特厚煤层综放开采覆岩导水裂缝带发育特征[J].煤炭学报,2014,39(10):1970-1976.

LIU Yingfeng,WANG Shidong,WANG Xiaolei.Development characteristics of water flowing fractured zone of overburden deep buried extra thick coal seam and fully-mechanized caving mining[J].Journal of China Coal Society,2014,39(10):1970-1976.

[13] 董检平,李江华,姚曹节,等.厚松散层综放开采覆岩破坏发育规律研究[J].煤矿安全,2015,46(9):47-50.

DONG Jianping,LI Jianghua,YAO Caojie,et al.Study on overburden failure development laws of thick unconsolidated strata in fully mechanized caving mining[J].Safety in Coal Mines,2015,46(9):47-50.

[14] 舒宗运,黎 灵,李宏杰.特厚煤层综放开采覆岩“两带”高度研究[J].煤炭科学技术,2016,44(S1):52-54.

SHU Zongyun,LI Ling,LI Hongjie.Study on conducted zone and caving zone height of overlying rock with extremely thick coal in fully-mechanized caving coal face[J].Coal Science and Technology,2016,44(S1):52-54.

[15] 陈书客.导水裂缝带高度研究方法探讨:以陈家沟煤矿为例[J].矿产勘查,2017,8(3):518-523.

CHEN Shuke.Discussion on the methods of determining the height of water flowing fractured zone:a case study on Chenjiagou coal mine[J].Mineral Exploration,2017,8(3):518-523.

[16] 许家林,朱卫兵,王晓振.基于关键层位置的导水裂隙带高度预计方法[J].煤炭学报,2012,37(5):762-769.

XU Jialin,ZHU Weibing,WANG Xiaozhen.New method to predict the height of fractured water-conducting zone by location of key strata[J].Journal of China Coal Society,2012,37(5):762-769.

[17] MIAO Xiexing,CUI Ximin,WANG Jin’an ,et al.The height of fractured water-conducting zone in undermined rock strata[J].Engineering Geology,2011,120 :32-39.

[18] 钱鸣高,缪协兴,许家林.岩层控制中的关键层理论研究[J].煤炭学报,1996,21(3):225-230.

QIAN Minggao,MIAO Xiexing,XU Jialin.Theoretical study of key stratum in ground control[J].Journal of China Coal Society,1996,21(3):225-230.

Study on influence of key strata on surface subsidence law offully-mechanized caving mining in extra-thick coal seam

GAO Chao1,XU Naizhong1,HE Biaoqing2,DENG Weinan1

(1.Coal Mining & Designing Department, Tiandi Science & Technology Co., Ltd., Beijing 100013,China; 2.School of Resource Engineering,Longyan University, Longyan 364000,China)

Abstract:The thickness of one-time mining and coal seam produced in the fully-mechanized caving in extra-thick coal seam is large and the height of caving zone and fracture zone increase correspondingly so that the development of the "two zones" directly affects the upper part of the overburden and the thick and hard strata that plays an important role in controlling surface subsidence. The movement and deformation of key strata which plays a role in controlling subsidence is closely related to the surface subsidence law. In order to explore the influence of key strata on the control of surface subsidence of extra-thick coal seam using fully-mechanized top coal caving method from the perspective of rock movement and deformation inside the overburden rock, Engineering Analogy and Numerical Simulation Method were applied to determine the height development of the "two zones" for the No.914 working face of Dongpo Mine. In this case, key strata theory was used to calculate the fracture spacing and position of each sub-key strata and key strata. The 3DEC Simulation was used to study the influence of key strata on the surface subsidence law. The results show that the application engineering analogy method combined with the numerical simulation plastic zoning method can comprehensively determine the high development of the "two zones". The movement and deformation of the overlying strata and surface is controlled by the thick and hard rock strata, which is characterized by the combination of the overburden strata fracture characteristics. The shorter the fracture length of rock beam in key strata, the gentler the edge of the subsidence basin and the larger the influence range of the subsidence basin. Due to the difference of the fracture spacing and form in key strata, the open-off cut side of the subsidence basin is steep and the stopping line side is relatively gentle.

Key words:extra-thick coal seam; fully-mechanized top coal caving; key strata; strata movement; surface subsidence

移动扫码阅读

高 超,徐乃忠,何标庆,等.关键层对特厚煤层综放开采地表沉陷规律的影响研究[J].煤炭科学技术,2019,47(9):229-234.doi:10.13199/j.cnki.cst.2019.09.029

GAO Chao,XU Naizhong,HE Biaoqing,et al.Study on influence of key strata on surface subsidence law of fully-mechanized caving mining in extra-thick coal seam[J].Coal Science and Technology,2019,47(9):229-234.doi:10.13199/j.cnki.cst.2019.09.029

收稿日期:2019-06-08;责任编辑:曾康生

基金项目:国家自然科学基金青年基金资助项目(51604151);天地科技股份有限公司科技创新创业资金专项资助项目(2018-TD-QN024)

作者简介:高 超(1987—),男,河北石家庄人,助理研究员, 博士研究生。Tel:010-84263040,E-mail:gaochao@tdkcsj.com

中图分类号:TD325

文献标志码:A

文章编号:0253-2336(2019)09-0229-06