煤矿井下水泵电动机设备瞬态电磁辐射骚扰研究

陈 辉1,田子建2,陆 奎1,梁 喆3,王仲根3

(1.安徽理工大学 计算机科学与工程学院,安徽 淮南 232001;2.中国矿业大学 (北京) 机电与信息工程学院,北京 100083;3.安徽理工大学 电气与信息工程学院,安徽 淮南 232001)

摘 要:针对煤矿井下启停高压大功率电动机设备产生的瞬态电磁干扰问题,分析了工频交流电动机设备启停过程引起的瞬态电磁辐射产生机理,结合井下机电设备特点以及井下特殊环境,研究了井下电动机设备瞬态电磁辐射的主要辐射途径和测试要求,并对井下电磁启动器启停水泵电动机产生的瞬态电磁辐射骚扰进行了现场测试。测试结果表明:水泵电动机启停阶段的电磁辐射频谱较宽,幅值频谱主要集中在100 MHz以内,尤其在1~10 MHz范围内辐射电场强度达到最大,100 MHz以上仍然有明显的噪声突起,但辐射强度较小。研究结果可为进一步研究和治理井下瞬态电磁辐射干扰提供参考和依据。

关键词:煤矿;电动机设备;瞬态电磁辐射;电磁辐射骚扰

0 引 言

煤矿井下由于空间狭小,高压大功率机电设备众多且启停频繁,导致井下监测、监控和控制等系统经常出现冒大数和显示紊乱以及控制失灵等异常现象,其主要原因是机电设备操作和运行时产生的电磁干扰[1-2]。井下电磁干扰主要包括沿电缆传播的传导电磁干扰和沿井下巷道空间传播的辐射电磁干扰,传导电磁干扰是井下电磁干扰研究的重要方面,相应的研究成果也较为丰富[3-6],但辐射电磁干扰的研究一直较为缺乏,其中一个主要原因是受限于井下特殊的爆炸性环境和测试设备。近年来,井下辐射电磁环境得到众多学者的重视,辐射电磁干扰研究也取得了一定的成果。根据现有的研究成果,煤矿井下非功能性电磁辐射干扰主要来自变频设备及其驱动系统引起的高频辐射干扰[7-9]以及架线电机车系统受电弓引起的电弧辐射干扰[10]。此外,由于煤矿井下存在大量电动机类生产设备,而且频繁启停,因此启停电动机等感性负载引起的瞬态电磁干扰不容忽视,其中浪涌和电快速瞬变脉冲群干扰是投切感性负载最为典型瞬态电磁干扰[11-13]。浪涌的危害较大,可能会对用电设备造成物理损坏,其频谱主要集中在1 MHz以内,辐射能力较弱,因此以传导干扰为主。电快速瞬变脉冲群一般不会对电子设备造成物理性损坏,但其累计效应会影响控制设备等的正常工作,如引起设备控制异常或显示器显示紊乱等[14],其包含较多的高频分量,导致较强的电磁辐射干扰。笔者通过分析工频交流电动机设备启停阶段瞬态电磁辐射骚扰产生机理及辐射途径,并进行现场测试来研究交流电动机设备启停瞬态电磁辐射骚扰,研究结果可为进一步研究和治理煤矿井下电动机设备瞬态电磁辐射干扰提供参考和依据。

1 井下电动机启停瞬态电磁辐射机理

1.1 电动机设备启停瞬态电路模型

煤矿井下机电设备具有功率大、电压等级高等特点,往往通过电磁启动器控制设备的启动和停止,启停瞬间对电网的冲击大。对于电磁启动器直接控制的电动机设备,其启停阶段的等效分布参数电路模型如图1所示。

R0L0C0—电缆的分布电阻、分布电感和分布电容;RLC—电动机
绕组的等效电阻、电感和分布电容;u—交流电源;K—控制开关
图1 启停电动机负载等效分布参数电路模型
Fig.1 Equivalent distributed parameter circuit
model of start-stop motor load

当开关触点断开时,忽略电缆的分布电容C0,由电路理论可列出RLC电路的二阶微分方程:

(1)

其中:uc为电容C两端的电压。假设开关断开时储存的磁能最大,分布电容的初始储能为零,由式(1)可得uc

(2)

其中:为电源角频率;

由式(2)可知,开关投切电动机负载引起的暂态过电压受电路参数的综合影响。

1.2 电动机启停瞬态电磁辐射机理

开关启停电动机负载过程中引起的暂态过电压uc与电源电压u叠加后加在开关K触点两端,当电压超过绝缘电压就会击穿开关触点间的气隙,产生电弧放电,引起触点间电压迅速下降,电弧熄灭后,触点两端又会出现暂态过电压。上述过程重复发生,形成一连串的瞬态脉冲。瞬态脉冲电压击穿开关气隙引起的电弧放电是一个复杂的过程[15],放电电流一方面通过电弧向空间产生电磁辐射,同时,也会沿着电缆和电动机绕组等产生电磁辐射。因此开关启停电动机负载产生的瞬态脉冲既形成传导电磁骚扰也会产生电磁辐射骚扰。

为了研究方便,瞬变脉冲往往采用标准波形来表示。根据国家电磁兼容标准[16],对于5/50 ns的瞬变脉冲电压波形可用双指数函数描述,见式(3)。

V(t)=kVp(1-e-t/τ1)e-t/τ2

(3)

式中:k为标准瞬变波形的补偿系数,取1.270;Vp为开路峰值电压;τ1为波前系数,取3.5×10-9 s;τ2为波长系数,取55.6×10-9 s。

为了求取瞬变脉冲波形的频谱,对式(1)进行拉普拉斯变换,并绘制幅频特性曲线,如图2所示。

图2 瞬变脉冲频谱分布
Fig.2 Transient pulse spectrum distribution

从图2可以看出,瞬变脉冲的频谱分布很宽,幅值频谱达到1 GHz,1 GHz以后的频谱幅值基本衰减为零。

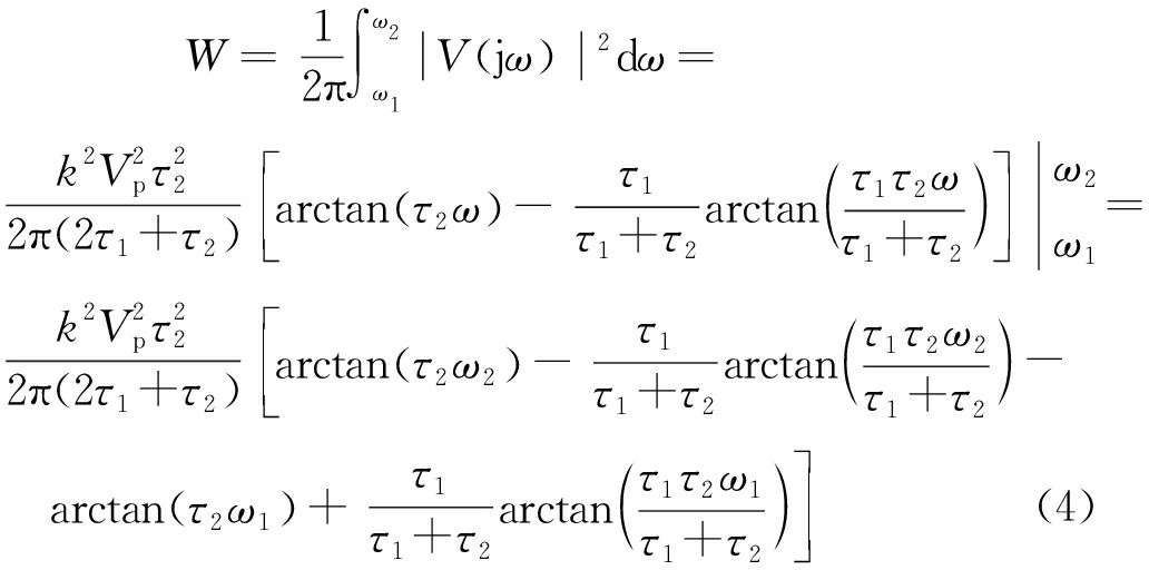
根据帕斯瓦尔(Parseval)方程,可以求得ω1ω2频段单位电阻吸收的脉冲能量为

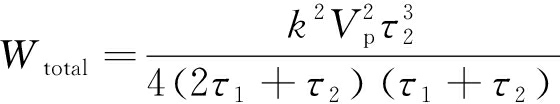
ω1=0,ω2=时,可以求得单位电阻吸收脉冲的总能量为

(5)

将式(3)的系数代入式(5),取脉冲峰值VP=1 000 V,可得Wtotal=18.733 mJ。

由式(4)可以计算出单脉冲能量在不同频段的分布情况,见表1。

表1 瞬变脉冲在不同频段的能量分布

Table 1 Energy distribution of transient pulses in
different frequency bands

频段能量/mJ0~100 Hz4.413×10-4100~1 000 Hz0.0041~10 kHz0.04010~100 kHz0.3970.1~1.0 MHz3.8041~10 MHz11.98010~100 MHz2.4830.1~1.0 GHz0.0251 GHz~∞2.812×10-5

由表1可知,单脉冲能量97.5%集中在0.1~100 MHz频段,其中约64%的能量分布在1~10 MHz频段,100 MHz以上频段能量分布较小。从幅值频谱图和脉冲能量分布可以知道:瞬变脉冲骚扰的频谱主要在100 MHz以内,1~10 MHz频段是瞬变脉冲最主要的骚扰频段;高频部分能量较小,但辐射能力强。

2 井下电动机瞬态电磁辐射途径及测试要求

2.1 井下电动机瞬态电磁辐射途径

煤矿井下为非自由空间,巷道空间狭长,横向宽度一般为3~5 m,供电电缆悬挂在巷道壁的两侧,机电设备具有隔爆外壳,因此井下电磁辐射传播特性不同于地面自由空间。

井下高压大功率机电生产设备的启动和停止一般通过矿用隔爆电磁启动器控制,电磁启动器启停电动机负载时产生的瞬态电磁干扰主要通过电磁启动器、连接电缆、电动机进行辐射和传播。但由于电磁启动器和电动机具有较厚的隔爆外壳,具有一定的电磁辐射抑制作用;机电设备供电采用的高压橡套屏蔽电缆也具有较好的电磁辐射屏蔽能力。因此,井下电磁启动器启停电动机设备产生的高频电磁辐射主要通过电缆接线口或接口缝隙向巷道空间辐射。由于煤矿井下巷道空间复杂,建立准确的预测模型较为困难,最为有效、准确、便捷的方法是通过现场测试来研究井下电动机启停产生的瞬态电磁辐射骚扰。

2.2 井下测试要求

煤矿井下具有瓦斯等易燃易爆气体和煤尘,属于爆炸性环境。因此,对在煤矿井下进行电磁辐射测量的设备有较为严格的要求。首先要求测量设备是本质安全的,其次是具有电池供电,并具有数据实时存储功能。另外,由于瞬态电磁辐射具有较宽的频谱,为了能够覆盖整个频带宽度,测量设备应具有宽的频谱测量范围。

由于目前还没有专门用于煤矿井下电磁辐射测量设备,因此,井下测试时需要对测量现场的瓦斯浓度进行测量,在瓦斯浓度允许的范围内才可以开机测试。考虑到井下测试条件和宽频带测量要求,采用罗德施瓦茨频谱分析仪FSP7,测量辐射电场采用R&S HE300 0.009~20 MHz,HE300 20~200 MHz,HE300 200~500 MHz,HE300 0.5~7.5 GHz四副天线。井下测试点需要根据现场的空间条件,选择接近电磁骚扰源的位置,还需要考虑天线的垂直或水平方向。

3 井下水泵电动机瞬态电磁辐射测试

为了实际测试启停电动机负载产生的电磁辐射干扰,对井下水泵电动机在启停状态的电磁辐射进行了现场测试。测试条件为:水泵电动机额定电压6 kV,额定功率710 kW,配套水泵型号为MD450-60x6;测试位置距电动机电缆接口1.8 m,天线高度距离与泵房地面高度1 m。测试结果如图3所示。

由图3可以看出:电动机接线处的瞬态电磁辐射干扰频谱较宽,可达到1 GHz,但主要集中在100 MHz以内;在1~10 MHz范围内辐射场强达到最大97 dB·μV·m-1,100 MHz以上频段总体辐射电场强度值较小,在某些频点仍然出现较为明显的噪声突起,但均不超过50 dB·μV·m-1。图3d中的2.4 GHz信号是井下人员定位系统发射的信号。

另外,在矿用隔爆高压真空电磁启动器出线口处进行了分合闸时瞬态电磁辐射测试,测试结果如图4所示。

从图4可以看出,矿用隔爆高压真空电磁启动器在启停动电动机设备时,电磁启动器处电磁辐射骚扰较为严重,辐射干扰频谱范围较宽,从9 kHz到1 GHz均有分布。在1~20 MHz范围内,最大辐射电场强度为102 dB·μV·m-1;20~200 MHz范围内的最大辐射电场强度为83 dB·μV·m-1,200 MHz以上的辐射电场强度较小,500 MHz以上基本没有明显的电磁辐射骚扰。

图3 水泵电动机启停时电场频谱
Fig.3 Electric field spectrum of pump motor at start-up and stop

图4 矿用隔爆电磁启动器分合闸时电场频谱
Fig.4 Electric field spectrum of mine flameproof electromagnetic starter during opening and closing

4 结 论

井下工频交流电动机设备启停产生的瞬态电磁辐射骚扰可能会对电子设备的正常工作产生一定的影响,尤其是频繁投切大功率高电压等级的电动机等感性设备,产生的瞬态干扰较为严重。通过理论分析和试验研究,得出以下结论:

1)启停工频交流电动机设备时产生的瞬态电磁辐射骚扰与电动机控制电路的电磁参数以及开关通断状态有关。

2)在水泵房电动机测试环境下,矿用隔爆电磁启动器处最大辐射电场强度达到102 dB·μV·m-1,电动机处最大辐射电场强度达到97 dB·μV·m-1,但对于启停不同额定参数的电动机设备,所产生的电磁辐射大小会不同。

3)由于电动机与电磁启动器之间的屏蔽电缆以及隔爆外壳的屏蔽作用,电磁启动器与电动机处的电磁辐射得到一定程度的抑制,对于不具有屏蔽作用的场合,电磁辐射干扰会更严重。

因此,煤矿井下工频交流电动机设备启停引起的瞬态电磁辐射骚扰对井下电磁环境的影响不容忽视,研究结果可作为进一步研究和治理煤矿井下瞬态电磁辐射干扰的参考和依据。

参考文献

[1] 邹哲强,张立斌,蒋 泽,等.煤矿监控系统产生伪数据的原因和应对措施[J].工矿自动化,2013,39(9):1-4.

ZOU Zheqiang,ZHANG Libin,JIANG Ze,et al.Causes of false data of coal mine monitoring and control system and its countermeasures[J].Industry and Mine Automation,2013,39(9):1-4.

[2] 金树军,李 会.矿用分站控制输出技术研究[J].煤矿安全,2013,44(2):108-110.

JIN Shujun,LI Hui.Research on mine-used sub-station control output technology[J].Safety in Coal Mines,2013,44(2):108-110.

[3] 胡兴志,王纪坤.变频装置对煤矿安全监控系统电磁干扰的机理分析[J].华北科技学院学报,2013,10(1):83-85.

HU Xingzhi,WANG Jikun.Frequency conversion device for coal mine safety monitoring system of electromagnetic interference mechanism analysis[J].Journal of North China Institute of Science and Technology,2013,10(1):83-85.

[4] 孙继平,冯德旺,赵振保,等.矿用线缆电快速瞬变脉冲群骚扰的传输特性[J].中国矿业大学学报,2009,38(1):46-49.

SUN Jiping,FENG Dewang,ZHAO Zhenbao,et al.Propagation characteristics of electrical fast transient/burst in the mine cable[J].Journal of China University of Mining &Technology,2009,38(1):46-49.

[5] 陈 辉,田子建,汤文兵.矿用屏蔽电缆对电动机电压浪涌的影响[J].煤矿安全,2015,46(1):92-94.

CHEN Hui,TIAN Zijian,TANG Wenbing.Effects of mine shielded cable on motor voltage surge[J].Safety in Coal Mines,2015,46(1):92-94.

[6] 冯德旺.长线缆宽带瞬态脉冲骚扰的传播特性分析[J].太原理工大学学报,2012,43(6):683-687.

FENG Dewang.Propagation characteristics of broad band transient pulsed disturbance in long cables[J].Journal of Taiyuan University of Technology,2012,43(6):683-687.

[7] 陈 辉,田子建,陆 奎.煤矿井下绞车变频调速系统辐射电磁骚扰测试研究[J].煤炭科学技术,2018,46(2):232-236.

CHEN Hui,TIAN Zijian,LU Kui.Test study on radiation electromagnetic disturbance of frequency conversion speed control system applied to winch in underground coal mine[J].Coal Science and Technology,2018,46(2):232-236.

[8] 孙继平,程 强,田子建.煤矿井下变频器电磁辐射骚扰的研究[J].太原理工大学学报,2011,42(5):528-530.

SUN Jiping,CHENG Qiang,TIAN Zijian.Study on electromagnetic radiated emission of PWM invert in coal mine[J].Journal of Taiyuan University of Technology,2011,42(5):528-530.

[9] CHEN Hui,TANG Wenbing,ZHOU Huaping.Radiation disturbance of variable frequency winch drive system in underground coal mines[C]//International Conference on Machinery Electronics and Control Engineering,2014,441:552-556.

[10] PAN Tao,LIANG Hong.Analysis of electromagnetic interference from pantograph arcing with different trolley locomotive speed in coal mine tunnel[C]//International Symposium on Antennas,Propagation and EM Theory Proceedings,2008:1096-1098.

[11] 孙继平,陈 辉,李琼琼.矿井浪涌脉冲辐射电磁场研究[J].北京理工大学学报,2011,31(11):1360-1364.

SUN Jiping,CHEN Hui,LI Qiongqiong.Radiated electromagnetic fields of surge current in coal mines[J].Transactions of Beijing Institute of Technology,2011,31(11):1360-1364.

[12] 冯德旺.电快速瞬变脉冲群的短偶极子辐射发射模型[J].电波科学学报,2010,25(5):995-999.

FENG Dewang.Model for radiation emission of short dipoles of electrical fast transient burst[J].Chinese Journal of Radio Science,2010,25(5):995-999.

[13] 孙继平,陈 辉,姜 烨.矿井电快速瞬变脉冲辐射特性研究[J].北京理工大学学报,2013,33(6):628-633.

SUN Jiping,CHEN Hui,JIANG Ye.Radiation characteristics of electrical fast transient/burst in coal mines[J].Transactions of Beijing Institute of Technology,2013,33(6):628-633.

[14] 王玉峰,邹积岩,廖敏夫.微机保护装置抗电快速瞬变脉冲群的研究[J].高压电气,2010,46(10):10-15.

WANG Yufeng,ZOU Jiyan,LIAO Minfu.Research on EFT/B countermeasure of microprocessor protection device[J].High Voltage Apparatus,2010,46(10):10-15.

[15] 孟 涛,林 莘,徐建源.分段电弧模型下VFTO的计算与分析[J].电工技术学报,2010,25(9):69-73.

MENG Tao,LIN Xin,XU Jianyuan.Calculation of very fast transient over-voltage on the condition of segmental arcing model[J].Transactions of China Electrotechnical Society,2010,25(9):69-73.

[16] GB/T 17626.4—2008,电磁兼容-试验和测量技术-电快速瞬变脉冲群抗扰度实验[S].

Study on transient electromagnetic radiation disturbance ofpump motors in underground coal mines

CHEN Hui1,TIAN Zijian2,LU Kui1,LIANG Zhe3,WAGN Zhonggen3

(1.School of Computer Science and Engineering,Anhui University of Science and Technology,Huainan 232001,China;2.School of MechanicalElectronic & Information Engineering,China University of Mining and Technology,Beijing 100083,China; 3.School of Electrical and Infor InformationEngineering,Anhui University of Science and Technology,Huainan 232001,China)

Abstract:Aimed at the transient electromagnetic interference generated by the high-voltage and high-power motor equipment in underground coal mines,the mechanism of transient electromagnetic radiation caused by the start-stop process of the industrial frequency AC motor equipment is analyzed.Combined with the characteristics of mechanical and electrical equipment in underground coal mines,the radiation sources of transient electromagnetic radiation are studied.The measurement requirements of electromagnetic radiation are also analyzed.Moreover,the radiated electromagnetic disturbance produced by switching on or off the water pump motor has been measured in underground coal mines.The results show that the transient electromagnetic radiation spectrum is wide,and is mainly concentrated within the 100 MHz; The radiated electric field intensity reaches the maximum in the range from 1 MHz to10 MHz; There are still some obvious radiated electromagnetic noise protrusions above 100 MHz,but their intensity is relatively weaker.The research results can provide reference and basis for further research and treatment of transient electromagnetic radiation interference.

Key words:coal mine; motor equipment; transient radiation electromagnetic; electromagnetic radiation disturbance

移动扫码阅读

陈 辉,田子建,陆 奎,等.煤矿井下水泵电动机设备瞬态电磁辐射骚扰研究[J].煤炭科学技术,2019,47(9):214-218.doi:10.13199/j.cnki.cst.2019.09.027

CHEN Hui,TIAN Zijian,LU Kui,et al.Study on transient electromagnetic radiation disturbance of pump motors in underground coal mines[J].Coal Science and Technology,2019,47(9):214-218.doi:10.13199/j.cnki.cst.2019.09.027

收稿日期:2019-04-05;责任编辑:赵 瑞

基金项目:安徽省自然科学基金资助项目(1608085ME122);安徽省高校省级自然科学研究重点资助项目( KJ2012A077)

作者简介:陈 辉(1973—),男,安徽庐江人,副教授,博士。E-mail:1115858010@qq.com

中图分类号:TD61

文献标志码:A

文章编号:0253-2336(2019)09-0214-05