在煤层中注入CO2提高CH4采收率(CO2-ECBM)技术融温室气体减排与新能源开发为一体,可降低CO2排放的同时促进煤层CH4产出,受到广泛关注[1-2]。煤层具有非均质性强、渗透率总体偏低等特点,如何实现CO2有效注入和煤层CH4高效产出,是CO2-ECBM面临的主要技术问题[3]。数值模拟技术可再现煤层气井生产历史,定量分析CO2-ECBM潜力,且研究投入少、时间短,在CO2-ECBM工程方案优化与增产CH4效果评价等方面具有显著优势[4]。
THM(thermo-hydro-mechanical)多物理场耦合数值模拟技术已广泛应用到煤层气开发等领域[5]。学者开展了煤层多物理场耦合机理研究,包括CO2注入煤层引起的渗透率演化特征,CO2-ECBM过程中煤层中气体浓度分布特征与体积应变特征等[6-10]。基于上述耦合机理的研究,学者建立了多物理场耦合数学模型,并通过数值模拟技术探讨了CO2注入效率与CH4增产效果。Qu等[6]建立了CO2注入煤层过程中的渗透率演化模型,该模型假设煤中只有一种气体,忽略了竞争吸附的影响;Connell等[4-5,7]认为渗透率与孔隙度之间存在三次方关系,且孔隙度的变化是线性的,与基质膨胀收缩的影响相比,有效应力对储层应变的影响可以忽略;Connell等[7-9]建立了不考虑温度影响的CO2和CH4的流固耦合模型,探讨了CO2-ECBM过程中煤层中气体浓度分布特征;Perera等[10]建立了考虑温度影响的煤体积应变模型,但没有考虑温度对煤吸附气体量的影响。综上所述,上述模型未充分考虑煤层温度和气体压力变化引起的变形及其对煤层孔隙度和渗透率的影响。
基于上述研究成果,笔者以揭示含CH4煤层温度场-渗流场-应力场全耦合影响、探讨不同注入压力条件下的CO2注入与CH4产出特征为目的,考虑温度和应力影响的CO2与CH4竞争吸附、扩散与渗流作用,以及煤层孔隙度与渗透率的动态演化特征,建立CO2-ECBM的THM全耦合数学模型,并以沁水盆地煤层气开发区块为背景,开展CO2-ECBM数值模拟研究。研究对厘清CO2-ECBM过程中气体运移规律,指导CO2-ECBM工程实践具有重要的理论和实践意义。
数学模型建立作如下假设:①煤层各向均质;②煤层中CH4呈饱和状态;③煤层中CH4及CO2的渗流符合Darcy定律,扩散符合Fick定律;④忽略温度对CH4及CO2动力黏度的影响;⑤煤体变形符合弹性形变,吸附、解吸及有效应力变化使煤基质体积发生改变。
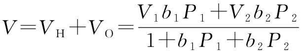
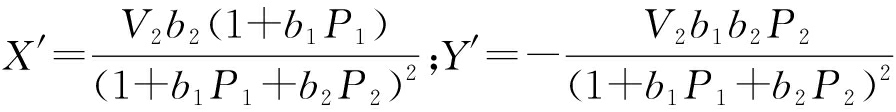
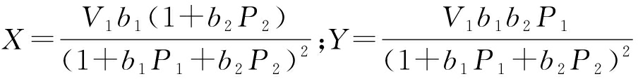
CO2注入后,煤层中CO2与CH4的吸附总量V可表述如下[11-12]为
(1)
式中:VH为CH4的吸附量,m3/kg;VO为CO2的吸附量,m3/kg;V1为CH4的Langmuir体积常数,m3/kg;V2为CO2的Langmuir体积常数,m3/kg;b1为CH4的Langmuir吸附常数,MPa-1;b2为CO2的Langmuir吸附常数,MPa-1;Pn为气体类型n的压力,MPa,其中n代表气体类型,n=1为CH4,n=2为CO2。
煤层中CO2与CH4的吸附、解吸会引起煤基质体积应变εs[13]为
(2)
式中:εH为CH4吸附、解吸会引起的应变量;εO为CO2吸附、解吸会引起的应变量;ε1为CH4的Langmuir体积应变常数;ε2为CO2的Langmuir体积应变常数。
将式(2)对时间t求导可得
(3)
且有:![]()
根据质量守恒原理,应用多孔介质内流体的动力弥散定律以及流体的连续性方程推导出多孔介质中流体对流弥散方程[14-17]为
-
![]()
·(Dn
Pn)=Qn
(4)
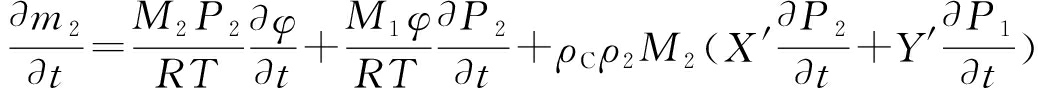
式中:mn为单位体积煤中气体类型n的质量,kg/m3;k为煤层渗透率,m2;μn为气体类型n的动力黏度,Pa·s;
为哈密顿算子;ρn为气体类型n的密度,kg/m3;φ为煤层孔隙度;R为普适气体常数,J/(mol·K);T为煤层温度,K;Dn为气体类型n的动力弥散系数,m2/s;Qn为气体类型n的运移质量,kg/m3。
则单位体积煤中的气体质量[11-12, 18]可定义为
(5)
式中:Mn为气体类型n的摩尔质量,g/mol;ρC为煤体密度,kg/m3。
将m1、m2分别对时间t求导可得
(6)
(7)
且有![]()
![]()
联立式(4)、式(6)可推导出CO2-ECBM过程中CH4流动控制方程(8),联立公式(4)、(7)可推导出CO2-ECBM过程中CO2流动控制方程(9):
(8)
(9)
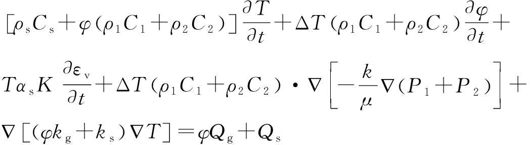
根据能量守恒原理和Fourier定律,可得出固相骨架的能量守恒方程和流体能量守恒方程,将二者叠加、整理可推导出煤层温度场方程[18-20]为
(10)
式中:ρs为煤体骨架密度,kg/m3;Cs为煤体骨架热容,J/(kg·K);Cn为气体类型n的比热容,J/(kg·K);K为煤的体积模量,MPa;αs为热膨胀系数,K-1;εv为煤体积应变;kg为气体的热传导系数,W/(m·K);ks为煤体骨架的热传导系数,W/(m·K);Qg为气体的热源强度,W/m3;Qs为煤体骨架热源强度,W/m3。
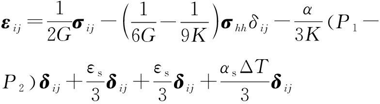
基于多孔介质弹性理论可推导出考虑吸附作用的煤的本构方程式(11),煤体变形受应力、气体压力、气体吸附与煤体温度等多因素共同作用[18, 21-22]。
(11)
式中:εij为应变张量分量,m,其中i,j=x, y, z,表示三维坐标系中方向;G为剪切模量,MPa;σij为应力张量分量;σhh为正应力分量,其中h=x, y, z,表示三维坐标系中方向;δij为Kronecker符号;α为Biot系数。
式(12)为表征煤储层空间平衡状态的平衡方程,且应变分量与位移分量满足式(13)[18]。
σij,j+Fi=0
(12)
(13)
式中:Fi为体积力分量;uij、uji为位移分量。
基于式(11)—式(13)可推导出表征煤储层应力场的Navier-Stokes方程:
(14)
式中:Ks为煤体骨架的体积模量,MPa;v为泊松比。
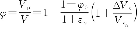
基于气体压力、温度及煤基质吸附、解吸引起的体积变化,可推导出孔隙度演化公式[23-24]:
(15)
式中:Vp为煤体孔隙体积,m3;V为煤体总体积,m3;φ0为煤层初始孔隙度;ΔVs为煤体骨架体积改变量,m3;Vs0为煤体初始骨架体积,m3。
(16)
式中:Ks为煤体骨架体积模量,MPa。
将式(16)代入式(15),整理可得孔隙度动态模型为
(17)
利用渗透率与孔隙度之间的立方定理,可推导出煤层渗透率动态模型[25-26]:
(18)
式中,k0为煤储层初始渗透率,m2。
综上,式(3)、式(8)、式(9)、式(10)、式(14)、式(17)、式(18)共同构成CO2-ECBM的THM全耦合模型。模型中各物理场之间的耦合关系表现为:煤层温度变化引起的热应力对煤层骨架应力场产生影响;煤层骨架内能耗散产生的热对煤层温度产生影响;温度变化引起气体压力改变对气体产生影响;气体与煤层骨架的热对流作用对煤层温度产生影响;煤层变形引起的孔隙度变化对气体流动产生影响;气体压力变化引起煤层变形。
本次研究基于COMSOL Multiphysics多物理场仿真软件对所建立的数学模型进行有限元法的全物理场耦合求解。
研究选择沁水盆地某CO2-ECBM试验工程井组为研究对象(图1),其中IW为注气井,PW为生产井。采用单井注气,多井产气的模式,8口生产井围绕注气井周围约300 m范围进行煤层气开采。基于现场工程平面布置图,同时考虑计算机内存和运行速度,依据对称性选取右上角1/4区域(图1中阴影部分)进行数值模拟分析,即主要对注气井IW及生产井PW1进行分析,实际模拟尺寸为300 m×300m×6 m(图1)。其中IW位于网格左下角(0,0,3),PW1位于网格右上角(300,300,3),煤层厚度6 m,井筒直径0.1 m。
图1 CO2-ECBM数值模拟开发井网示意
Fig.1 Well pattern for CO2-ECBM numerical simulation
本次研究所需的参数(表1)主要来源于该试验井组工程数据、沁水盆地3号煤层样品的相关试验测试数据及相关参考文献[13,18,25-26]。
表1 CO2-ECBM数值模拟核心参数
Table 1 Key parameters for CO2-ECBM numerical simulation
参数数值参数数值参数数值煤杨氏模量/GPa2.71 温度矫正因子/K-10.021 1CO2黏度系数/(Pa·s)1.38×10-5 泊松比0.35CH4黏度系数/(Pa·s)1.03×10-5 常压下CO2热容/(J·mol-1·K-1)37.18煤骨架杨氏模量/GPa8.469 常压下CH4热容/(J·mol-1·K-1)34.4CO2的Langmuir压力/MPa1.38煤骨架密度/(kg·m-3)1 470CH4的Langmuir压力/MPa2.07 CO2的Langmuir体积/(m3·kg-1)0.047 7 初始孔隙度0.037CH4的Langmuir体积/(m3·K-1)0.025 6 CO2比热容/(J·kg-1·K-1)1 624初始渗透率/m25.14×10-16 CH4比热容/(J·kg-1·K-1)651 CO2扩散系数/(m2·s-1)5.8×10-12煤层初始温度/K312.5CH4扩散系数/(m2·s-1)3.6×10-12CO2热传导系数/(W·m-1·K-1)0.015 热膨胀系数/K-12.4×10-5 1CH4热传导系数/(W·m-1·K-1)0.031 CO2的等量吸附热/(J·mol-1)35压力矫正因子/MPa-10.071 1CH4的等量吸附热/(J·mol-1)33.4 煤骨架比热容/(J·kg-1·K-1)1 250
数值模拟方案与初始条件、边界条件见表2。
第1阶段:以原始煤层压力为初始条件,以煤层气井井底流压为内边界条件,开展生产历史拟合,验证模型的准确性并反演储层参数。
第2阶段:以煤层气井排采7年后的煤层压力为初始条件,以0.1 MPa的井底流压为内边界条件,分别模拟CO2以注入压力4.0 MPa(接近原始煤层压力4.3 MPa)、6.0 MPa(小于原始煤层压力且高于CO2临界压力7.39 MPa)和8.0 MPa(高于CO2临界压力)时煤层气井的生产状态与煤储层特征,探讨注气压力对CO2注入效果的影响。考虑煤层温度,注入压力8.0 MPa时CO2已达到超临界状态,由于CO2注入时煤层压力已普遍降至4 MPa以下,故仅在注入井附近极小范围出现了超临界CO2,煤层中CO2基本为气态。
表2 CO2-ECBM数值模拟方案与初始、边界条件
Table 2 Projects, initial conditions and boundary conditions
for CO2-ECBM numerical simulation
阶段压力/MPa时间/d模拟内容第1阶段煤层初始压力4.32 520生产历史拟合阶段:煤层气井直接排采第2阶段注气压力4.0注气压力6.0注气压力8.090CO2注入阶段:注入井注入CO2,生产井正常排采第3阶段注气压力4.0注气压力6.0注气压力8.0500CO2-ECBM阶段:停止CO2注入,生产井正常排采
第3阶段:以注CO2三个月后的煤层压力为初始条件,以0.1 MPa的井底流压为内边界条件,分别模拟CO2注入压力4.0、6.0、8.0 MPa时煤层气井生产状态与煤储层特征,探讨停注后注气压力对CH4增产效果的影响。
由PW1井和PW2井排采7年的日产气量历史拟合结果可以看出,模拟日产气量与煤层气井实际日产气量吻合度较高,验证了数学模型的准确性(图2)。其中,PW1井和PW2井日产气量平均拟合误差分别为18.80%和22.88%,累计日产气量拟合误差分别为9.82%和13.42%(图2)。产生的模拟误差主要是:煤层气井排采过程中排采制度调整较频繁,产能波动较大,时间步长内个别时间点无法有效拟合。
图2 PW1井和PW2井生产历史拟合结果
Fig.2 History fitting results of PW1 and PW2 wells
3.2.1 CO2与CH4浓度分布特征
随时间推移,CO2运移范围逐渐扩大;CO2注入压力越大,同一时间煤层中CO2浓度和运移范围越大(图3)。CO2停注后,压差作用下残余CO2进一步向PW1井扩展(图3)。煤层气井直接排采7年后,煤层CH4浓度已降至较低水平,普遍为(0.6~0.9)×103 mol/m3(图4)。注CO2开发时,CO2注入压力越大,被驱替CH4的分布范围越大,煤层中CH4浓度也越低,对提高CO2累计存储量及CH4累计产出量具有积极作用。由于直接排采阶段煤层内残余CH4浓度总体偏低,同一时间各注入压力之间CH4浓度差异不明显(图4)。同时也说明CH4浓度的变化主要集中在直接开采阶段。
3.2.2 煤储层压力分布特征
直接排采阶段初期,受排水降压和煤层气解吸的影响,煤层压力下降较快,至排采100天,生产井附近煤层压力已降至2 MPa以下;排采1年后煤层压力降幅减缓(图5)。CO2注入使IW井附近煤层压力增大,而CO2未波及区域煤层压力进一步降低(图5)。停注后,井网范围内煤层压力整体进一步降低(图5)。
3.2.3 煤储层渗透分布特征
直接排采阶段,煤层渗透率变化较小,靠近生产井区域,由于煤层气大量解吸,煤基质收缩效应较强,渗透率略有升高(k/k0≈1.01),而远离生产井的区域受有效应力作用,渗透率略有减小(k/k0≈0.995)(图6)。CO2注入使IW井附近煤层大量吸附CO2,煤层渗透率降低(k/k0≈0.97~0.98),且注入压力越大渗透率降幅越高,明显下降的范围也越大(图6)。停注后,CH4和CO2被进一步产出,CO2波及区域渗透率逐渐由减小恢复至初始大小,但注入井附近煤层渗透率仍相对较低(图6)。说明CO2未波及至生产井时,注入井附近渗透率主要受CH4与CO2竞争吸附影响;当CO2波及至生产井时,生产井附近CO2与CH4竞争吸附对渗透率的影响会逐渐取代有效应力对渗透率的影响。
图3 不同注气压力条件下煤层CO2摩尔浓度分布云图
Fig.3 CO2 molarconcentration in coal seam under different CO2 injection pressures
图4 不同注气压力条件下煤层CH4摩尔浓度分布云图
Fig.4 CH4 molarconcentration in coal seam under different CO2 injection pressures
图5 不同注气压力条件下煤层压力分布云图
Fig.5 Coal seam pressure under different CO2 injection pressures
图6 不同注气压力条件下煤层渗透率与初始渗透率比值分布云图
Fig.6 Ratio of coal seam permeability and initial permeability under different CO2 injection pressures
3.2.4 CH4产出与CO2注入特征
煤层气井直接排采阶段,CH4产出速率随时间逐渐降低,CH4累计产出量增速也随之变缓(图7)。
图7 不同注气压力条件下CH4产
出速率与累计产出量
Fig.7 Output rate and cumulative output of CH4
under different CO2 injection pressures
CO2注入后,CH4产出速率不同程度升高,且CO2注入压力越大,CH4产出速率越快。一方面与较高注入压力下CO2对CH4的竞争吸附和驱替作用较强有关;另一方面与较高注入压力所形成的生产压差较大有关。但是不同注入压力条件下产出速率差异较小,8、6和4 MPa条件下的高峰产出速率分别为410、340、290 m3/d(图7)。同一CO2注入压力下,CH4产出速率随开采时间先快速增加后逐渐减少(图7),CO2注入压力对CH4产出速率的影响在时间上具有滞后性,且注入压力越低滞后性越明显。另外,受产出速率的影响,CH4产出量同样随CO2注入压力的增加而增大,说明注CO2对提高CH4累计产出量具有积极的作用。
不同CO2注气压力下CH4累计产出量的差异不明显,模拟时间尺度内8、6、4 MPa条件下的CH4最终累计产出量分别为1.33×106、1.28×106、1.26×106 m3(图7)。主要原因在于煤层气井直接排采阶段持续时间较长,已产出大量煤层中CH4,造成CO2注入阶段煤层中CH4残留较少。
模拟时间尺度内,CO2注入速率随注气压力增大显著增大,8 MPa条件下CO2稳定注入速率(2 570 m3/d)分别是6 MPa(1 300 m3/d)和4 MPa(600 m3/d)条件下的1.73和3.75倍;受CO2运移速率和吸附饱和的影响,注入速率随时间逐渐降低并趋于平稳(图8)。受CO2注入速率等影响,随注入时间和注入压力的增加,煤层中CO2注入量具有明显的差异,模拟时间尺度内8 MPa条件下CO2的最终注入量(2.35×105 m3)分别是6 MPa(1.41×105 m3)和4 MPa(0.65×105 m3)条件下的1.67和3.62倍(图8)。
图8 不同注气压力条件下CO2注入速率与累计注入量
Fig.8 Injection rate and cumulative injection of CO2 under different CO2injection pressures
1)考虑温度效应和有效应力影响下的CO2与CH4竞争吸附、扩散与渗流作用,以及煤层孔隙度与渗透率的动态演化,建立了CO2注入煤储层结构演化-流体运移-储存能力THM全耦合数学模型,基于COMSOL Multiphysics多物理场仿真软件采用有限元法进行多物理场全耦合求解。
2)以沁水盆地3号煤层典型五井式CO2-ECBM开发井网为背景,开展了CO2-ECBM数值模拟研究,探讨了不同注入压力条件下的CO2注入与CH4产出特征。模拟结果显示,数学模型具有较高的准确性,日产气量平均拟合误差小于25%,累计日产气量拟合误差小于15%;模拟结果证实了CO2-ECBM过程中煤层渗透率总体呈降低趋势,注入井附近渗透率主要受CH4与CO2竞争吸附的影响;注CO2对提高CH4累计产出量具有积极的作用,增大注气压力可提高注入CO2及产出CH4的效率,但CO2注气压力对CO2注入量的影响较显著,而对CH4累计产出量的影响相对不太明显。
[1] LIU Shiqi, SANG Shuxun, MA Jingsheng, et al.Effects of supercritical CO2 on micropores in bituminous and anthracite coal [J].Fuel, 2019, 242:96-108.
[2] 杜 艺, 桑树勋, 王文峰.超临界CO2注入煤岩地球化学效应研究评述[J].煤炭科学技术,2018,46(3):10-18.
DU Yi, SANG Shuxun, WANG Wenfeng.Study and review on geochemical effect of coal and rock injected with super-critical CO2 [J].Coal Science and Technology, 2018, 46(3):10-18.
[3] 桑树勋.二氧化碳地质存储与煤层气强化开发有效性研究述评[J].煤田地质与勘探,2018,48(5):1-9.
SANG Shuxun.Research review on technical effectiveness of CO2 geological storage and enhanced coalbed methane recovery [J].Coal Geology & Exploration, 2018, 48(5):1-9.
[4] FANG Huihuang, SANG Shuxun,LIU Shiqi,et al.Experimental simulation of replacing and displacing CH4 by injecting supercritical CO2 and its geological significance [J].International Journal of Greenhouse Gas Control, 2019, 81:115-125.
[5] FANG Huihuang, SANG Shuxun,LIU Shiqi.Numerical simulation of enhancing coalbed methane recovery by injecting CO2 with heat injection [J].Petroleum Science, 2019, 16(1):32-43.
[6] QU HY, LIU JS, CHEN ZW, et al.Complex evolution of coal permeability during CO2 injection under variable temperatures [J].International Journal of Greenhouse Gas Control, 2012, 9:281-93.
[7] CONNELL L Luke, LU Meng, PAN Zhejun.An analytical coal permeability model for tri-axial strain and stress conditions [J].International Journal of Coal Geology, 2010, 84(2):103-114.
[8] CONNELL L Luke.Coupled flow and geomechanical processes during gas production from coal seams [J].International Journal of Coal Geology, 2009, 79(1-2):18-28.
[9] WU Yu, LIU Jishan, CHEN Zhongwei, et al.A dual poroelastic model for CO2-enhanced coalbed methane recovery [J].International Journal of Coal Geology, 2011, 86(2-3):177-189.
[10] PERERA M S A, RANJITH P G, RANATHUNGA A S, et al.Optimization of enhanced coal-bed methane recovery using numerical simulation [J].Journal of Geophysics and Engineering, 2015, 12:90-107.
[11] LI Sheng, FAN Chaojun, HAN Jun,et al.A fully coupled thermal-hydraulic-mechanical model with two-phase flow for coalbed methane extraction [J].Journal of Natural Gas Science and Engineering, 2016, 33:324-336.
[12] 王 烽, 汤达祯, 刘洪林, 等.利用CO2-ECBM技术在沁水盆地开采煤层气和埋藏CO2的潜力[J].天然气工业,2009,29(4):117-120.
WANG Feng, TANG Dazhen, LIU Honglin,et al.Analysis on the potential of the carbon dioxide enhanced coalbed methane (CO2-ECBM) recovery in the Qinshui Basin [J].Natural Gas Industry, 2009, 29(4):117-120.
[13] SHI Jiquan,MAZUMDER Saikat, WOLF Karl Heinz, et al.Competitive methane desorption by supercritical CO2 injection in coal [J].Transport in Porous Media, 2008, 75(1):35-54.
[14] GUO Hongguang, YU Zhisheng, ZHANG Hongxun.Phylogenetic diversity of microbial communities associated with coalbed methane gas from Eastern Ordos Basin, China [J].International Journal of Coal Geology, 2015, 150/151:120-126.
[15] LIU Qingquan, CHENG Yuanping, ZHOU Hongxing,et al.A mathematical model of coupled gas flow and coal deformation with gas diffusion and Klinkenberg effects [J].Rock Mechanics and Rock Engineering, 2015, 48:1163-1180.
[16] XIA Tongqiang, ZHOU Fubao, GAO Feng,et al.Simulation of coal self-heating processes in underground methane-rich coal seams [J].International Journal of Coal Geology, 2015, 141/142:1-12.
[17] ZHANG Hongbin, LIU Jishan, ELSWORTH D.How sorption-induced matrix deformation affects gas flow in coal seams: a new FE model [J].International Journal of Rock Mechanics and Mining Sciences, 2008, 45:1226-1236.
[18] FAN Yongpeng, DENG Cunbao, ZHANG Xun,et al.Numerical study of CO2-enhanced coalbed methane recovery [J].International Journal of Greenhouse Gas Control, 2018, 76:12-23.
[19] LIN Baiquan, LI He, CHEN Zhongwei, et al.Sensitivity analysis on the microwave heating of coal: a coupled electromagnetic and heat transfer model [J].Applied Thermal Engineering, 2017, 126:949-962.
[20] WANG Junli, GUAN Guoqing, HAO Xiaogang,et al.Kinetics modeling of low-rank coal pyrolysis based on a Three-Gaussian Distributed Activation Energy Model (DAEM) reaction model [J].Energy & Fuels, 2016, 30(11):9693-9702.
[21] 尹光志, 李铭辉, 李生舟, 等.基于含瓦斯煤岩固气耦合模型的钻孔抽采瓦斯三维数值模拟[J].煤炭学报,2013,38(4):535-541.
YIN Guangzhi, LI Minghui, LI Shengzhou, et al.3D numerical simulation of gas drainage from boreholes based on solid-gas coupling model of coal containing gas [J].Journal of China Coal Society, 2013, 38(4):535-541.
[22] 冉启全, 李士伦.流固耦合油藏数值模拟中物性参数动态模型研究[J].石油勘探与开发,1997,24(3):61-65.
RAN Qiquan, LI Shilun.Study on dynamic model of physical property parameters in numerical simulation of fluid-solid couple reservoir [J].Petroleum Exploration and Development, 1997, 24(3):61-65.
[23] KONG Xiangguo, WANG Enyuan, LIU Quanlin,et al.Dynamic permeability and porosity evolution of coal seam rich in CBM based on the flow-solid coupling theory [J].Journal of Natural Gas Science and Engineering, 2017, 40:61-71.
[24] 陶云奇, 许 江, 程明俊, 等.含瓦斯煤渗透率理论分析与试验研究[J].岩石力学与工程学报,2009,28(S2):3363-3370.
TAO Yunqi, XU Jiang, CHENG Mingjun,et al.Theoretical analysis and experimental study on permeability of gas-bearing coal[J].Chinese Journal of Rock Mechanics and Engineering, 2009, 28(S2):3363-3370.
[25] WANG Gang, WANG Ke, JIANG Yujing,et al.Reservoir permeability evolution during the process of CO2-enhanced coalbed methane recovery [J].Energies,2018, 11(11):2996.
[26] WANG Gang, WANG Ke,WANG Shugang,et al.An improved permeability evolution model and its application in fractured sorbing media [J].Journal of Natural Gas Science and Engineering, 2018, 56:222-232.