地质与测量

瓦斯富集区多频电磁波CT同步透视技术研究

仇念广,屈旭辉,刘百祥

(中煤科工集团重庆研究院有限公司,重庆 400039)

摘 要:为探明回采工作面瓦斯富集区域,基于电磁波CT透视理论与SIRT层析成像,对不同介质和瓦斯富集区不同频率的电磁波衰减变化曲线和透视层析成像特征进行了数值正演模拟研究,提出了多频电磁波同步透视方法,并在演马庄煤矿开展了瓦斯富集区多频电磁波CT同步透视现场试验。研究结果表明:电磁波CT能够有效探测瓦斯富集区,相对正常煤体,瓦斯富集区呈现为电磁波弱衰减的特征,且频率越高,衰减越严重;高频电磁波相对低频电磁波,衰减幅值稍大,透视距离短,但响应较强;多频同步透视技术可利用高频的高敏感度、响应强的特性和低频的长透距性,透视探测效率快、精度高;井下现场试验验证了多频电磁波CT同步透视技术能够高效、准确识别回采工作面中的瓦斯富集区,可推广应用煤矿生产一线。

关键词:瓦斯富集区;多频电磁波CT;同步透视;回采工作面

0 引 言

瓦斯一直以来都是煤矿安全生产所需面对的主要灾害,其造成的人员及经济损失也最为严重[1]。瓦斯的富集易形成煤与瓦斯突出[2]。因此,分析预测探明瓦斯富集区,能够为煤矿安全生产提供积极的安全保障,并具有较高的经济、社会效益。

目前,对于瓦斯富集区的研究,主要是依据地质条件,分析瓦斯主控地质因素和成藏模式,确定瓦斯分布规律,从而划分瓦斯富集区。此外,还可利用三维地震资料,通过地震属性、AVO、各向异性技术分析瓦斯富集区[3-4]。针对回采工作面的瓦斯富集分布情况,一般主要利用钻孔瓦斯参数,结合地质统计学和指标分析法进行预测。近年来,利用地质雷达[5]、电磁波CT[6]、槽波[7]、微地震[8]等地球物理探测技术,开展了瓦斯富集区的地球物理响应特征的应用研究。其中,基于电磁波CT技术探测瓦斯富集区的研究较多,20世纪70年代煤炭科学研究总院重庆分院已开展了相关研究。吴燕清等[9]明确了电磁波透视技术主要利用介质的电性差异,根据透视的综合曲线和CT层析成像进行异常区的探测;吕绍林等[10-11]研究了瓦斯突出煤体的电阻率与介电常数;康建宁等[12]确定了突出煤体与非突出煤体的介电常数差异较小、电阻率差异较大,煤的电阻率与承受应力、吸附瓦斯压力、吸附瓦斯含量之间呈线性关系,并随变质程度、结构破坏增加而减小。文献[13-15]均进一步研究了煤的电性参数与瓦斯突出危险性的敏感性,指出了瓦斯富集区作为突出区,相对于正常煤层主要表现为电阻率变小,介电常数和磁导率变化较小。梁庆华等[6]研究了瓦斯富集区电磁波衰减曲线特征。众多研究结果表明电磁波CT技术能够有效探测瓦斯富集区。但是,近年来并未有良好的应用案例。为进一步提升瓦斯富集区电磁波CT透视效果,通过开展正演数值模拟,以及多频电磁波CT同步透视技术研究,结合现场实际应用试验,研究瓦斯富集区多频电磁波CT同步透视技术,提高应用效果,便于生产应用。

1 电磁波CT透视原理

电磁波CT透视(又称无线电波透视)技术是在孔巷间交替发射、接收电磁波,从而预测孔巷间内部的地质异常[9]。电磁波在煤岩介质传播过程中,经过地质异常时,经折射、反射、吸收后,产生不同的能量衰减,从而形成电磁波衰减区,其接收场强综合曲线也发生变化,由此可依据电磁波衰减差异特征分析地质异常。

电磁波通过偶极子天线发射到工作面内部,其中任一点的磁场表示式[9]

(1)

式中:E为实测场强,A/m;E0为理论初始场强,A/m;β为电磁波吸收系数;r为射线长度,m;θ为偶极子轴与接收点夹角,(°)。

对式(1)分贝转换[16],令H=20lg EH0=20lg E0, 取自然对数则有

H=H0-8.686βr-8.686ln r+8.686ln sin θ

(2)

可见,除射线长度外,电磁波吸收系数β是影响接收信号的主要参数,由介质的电导率、介电常数、磁导率和电磁波的频率决定,即

(3)

式中:σ为电导率,σ=1/ρρ为电阻率,Ω·m;εr为相对介电常数;ε0为真空介电常数,F/m;μr为相对磁导率;μ0为真空磁导率,H/m;f为电磁波频率,Hz。

各种地质体的电性参数不同,电磁波吸收系数则各异,穿透后的接收值有所差异。因此,可根据接收场强、电磁波衰减,或相对衰减情况,来识别异常区。目前,主要依据各接收点间的相对衰减系数的分布规律进行异常划分,再结合地质资料综合分析解释,电磁波相对衰减系数η

η=(H1-H2)/(r1-r2)

(4)

2 电磁波CT透视正演数值模拟

在煤矿开采中主要遇到的地质异常体有陷落柱、断层、采空区、富水区、瓦斯富集区等,这些区域的电性参数有所差异[12](表1)。由式(3)得知各自在不同频率下的吸收系数(表2)。由此可知,电磁波在水中被吸收的最严重,其次为泥岩、陷落柱、断层、瓦斯富集区、煤,而空气中吸收为零。

表1 不同介质电性参数

Table 1 Electrical properties parameters of different mediums

介质相对介电常数电导率/S-1相对磁导率空气101煤20.000 051瓦斯富集区20.000 251破碎带250.0031陷落柱300.0051泥岩70.011水810.51

令式(2)中θ=0°,则可分析电磁波随传播距离的变化情况。结合表2中的吸收系数,可得到电磁波在不同介质体中的场强变化曲线,如图1a所示。并且,还可算得不同频率的电磁波在不同介质中传播的最远距离(即H=0),见表3,如图1b、图1c所示。

介质对电磁波的吸收越强,电磁波的衰减则越快,也就说明电磁波对介质的响应越敏感。因此,可根据电磁波在介质中的场强变化曲线分析电磁波对介质的响应敏感程度。相对于在煤中的传播,电磁波在水中传播衰减最快、传播距离也最短;其次为泥岩、陷落柱和断层;瓦斯富集区居中;而在空气中相对传输较远。这表明,电磁波CT透视煤层时,对富水区响应最敏感,甚至电磁波衰减至零,无法穿越透视区域。其次,对泥岩、陷落柱、断层等敏感度较好;在瓦斯富集区中,相对于理想煤体中衰减也较快,因此也有一定的响应。表3和图1还表明,0.3 MHz低频电磁波在煤层中传播距离较远,1.5 MHz高频传播距离较短,即低频电磁波场强衰减较小,透视距离长;高频电磁波衰减相对较大,透视距离短。

表2 不同频率下电磁波吸收系数

Table 2 Wave absorption coefficient under different frequencies

介质电磁波吸收系数0.3 MHz0.5 MHz1.5 MHz空气0.000 0000.000 0000.000 000煤0.005 6250.006 1490.006 586瓦斯富集区0.016 0920.019 8840.028 127断层0.055 5890.068 5700.096 321陷落柱0.073 1660.091 3850.135 180泥岩0.108 1400.139 0650.236 230水0.768 1010.990 7221.708 269

表3 电磁波信号传播的最远距离

Table 3 Max-distance of electromagnetic wave travelled

煤体最远传播距离/m0.3 MHz0.5 MHz1.5 MHz空气495 367.65495 367.65495 367.65煤1 088.321 012.03953.85瓦斯富集区437.07364.33268.43断层146.24121.6589.75陷落柱114.8794.0866.21泥岩80.6864.3539.90水11.9010.866.58

图1 电磁波在不同介质传播中的场强变化曲线
Fig.1 Variation curves of electromagnetic wave field strength in different medias propagation

为研究电磁波在不同介质中的响应特征,构建长400 m、宽200 m工作面模型,中心设置50 m×50 m矩形的异常区,如图2所示。

图2 工作面透视模型
Fig.2 Model of electromagnetic wave CT in working face

由式(2)可得接收点B场强变化曲线公式为

(5)

式中:β1β2分别为正常煤体和瓦斯富集区的电磁波吸收系数。

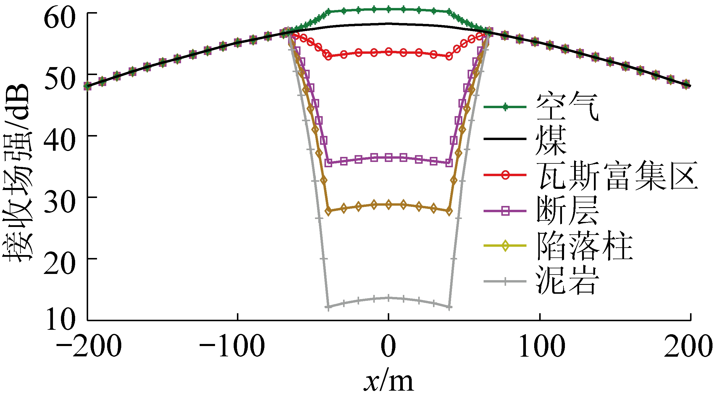
H0为WKT-E无线电波透视仪的最大发射场强113.9 dB,由式(5)可绘制接收点B的接收场强变化曲线。当异常区全为水时,电磁波无法穿透,因此不再绘制其曲线。分别设异常区为泥岩、陷落柱、断层、瓦斯富集区、采空区。各种情况的接收场强变化曲线如图3所示。

图3 不同介质电磁波接收场强变化曲线(0.3 MHz)
Fig.3 Variation curves of electromagnetic wave receiving field strength in different medias (0.3 MHz)

与图1结果一致,泥岩、陷落柱、断层、瓦斯富集区呈现为漏斗状衰减,仅空气表现为微突状。瓦斯富集区相对于页岩、陷落柱、断层表现为弱衰减,衰减幅值较小,衰减幅值5~10 dB;而泥岩、陷落柱、断层等地质异常体衰减幅值20~40 dB,衰减幅值较大。因此,电磁波CT透视对泥岩、陷落柱、断层的响应更敏感,更易识别;同时也能识别瓦斯富集区。

为研究瓦斯富集区不同频率的衰减特征,设置模型的透视频率分别为0.3 、0.5 和1.5 MHz。

各频率电磁波对于瓦斯富集区均有一定的衰减响应(图4),其中低频衰减较小、高频衰减较大。总体表现为衰减值较小,衰减幅值约5~10 dB,不到区分构造异常的20 dB[17]。其中1.5 MHz衰减最严重,约10 dB,0.5 MHz和0.3 MHz衰减较小,约5 dB。表明频率越高衰减越严重,对异常响应越显著、越敏感。

图4 正常煤体与瓦斯富集区电磁波接收场强变化曲线
Fig.4 Variation curves of electromagnetic wave receiving field strength in normal coal and abundance zone of gas

根据构建的模型,依据式(5),针对断层、陷落柱、泥岩和瓦斯富集区进行数值模拟。其中,针对瓦斯富集区分别进行了0.3 、0.5 和1.5 MHz 3种频率的数值模拟。再通过建立发射、接收透视观测系统,利用SIRT联合迭代重建层析成像技术,得到不同介质的电磁波CT相对衰减成像结果,如图5所示。

图5 电磁波CT透视模拟成像
Fig.5 Perspective simulation imaging of electromagnetic wave CT

对于0.3 MHz的电磁波,泥岩最大相对衰减系数0.501,陷落柱为0.425,断层为0.387,瓦斯富集区为0.301,煤为0.275。表明泥岩、陷落柱、断层、瓦斯富集区的电磁波响应逐渐减弱,电磁波对泥岩、陷落柱和断层比较敏感,对于瓦斯富集区也有一定的敏感度,呈现为弱衰减。此外,3种频率的电磁波对于瓦斯富集区均有响应,0.3 MHz最大相对衰减系数0.301,0.5 MHz为0.313,1.5 MHz为0.334。可见,0.3 MHz低频电磁波的相对衰减较弱,1.5 MHz高频电磁波的相对衰减较强,即高频电磁波CT透视响应明显,较敏感。

3 多频电磁波CT同步透视分析

高频电磁波吸收系数较大,信号能量衰减快,响应较敏感,但其穿透距离较短;低频电磁波吸收系数较小,其穿透距离较长,但其敏感度较低。为充分利用低频的长透距性和高频的高敏感度,可进行多频同步透视,从而提升探测效果。

传统多频电磁波CT透视分多次进行,每次仅提供一种频率,其工作量大、周期长、效率低。多频同步透视技术针对这一问题,选择在同一测点发射多种频率,实现了多种频率的一次性透视。一次得到高敏感度的高频透视结果,以及更易有效穿透的低频透视结果。低频透视保证了电磁波可有效透视,而有效透视的高频对于异常响应更明显,则更易识别。多种频率结果的综合运用可更易识别异常响应区域范围,判定异常性质。

多频无线电波同步透视可分为同一时刻多种频率同步同时探测和多种频率一次探测中同一时段的依次探测。无线电波透视多采用正弦波信号作为发射源,频率主要为0.3 、0.5 和1.5 MHz分别记作f0.3f0.5f1.5,振幅分别记作A0.3A0.5A1.5,即

A0.3=sin(2πf0.3t)

(6)

A0.5=sin(2πf0.5t)

(7)

A1.5=sin(2πf1.5t)

(8)

同一时刻同时发射多种频率的信号会产生干扰如图6所示。

A1=A0.3+A0.5+A1.5

(9)

图6 同一时刻多种频率同时透视干扰结果示意
Fig.6 Schematic of simultaneous perspective interference of multiple frequencies at the same time

三者干扰结果对于信号的接收及处理均增加了难度,应用效果较差。与此相比,同一时段的多种频率依次透视,即对每一频率给予一个时间段进行发射、接收,再进行另一个频率发射、接收(图7)。

图7 同一时段内多种频率依次透视示意
Fig.7 Schematic diagram of sequentially perspective of multiple frequencies at the same time

干扰结果表达式为

(10)

式中:t1t2t3为3种频率的结束时;Δt为同一频率2种信号的发射间隔时间。

这种工作方式避免了不同频率间信号干扰,但需保持发射与接收间时间同步精度,以免存在时间差造成接收与发射频率的不一致性。因此需要严格控制好工作时间,保证发射与接收的同步精度。

4 瓦斯富集区电磁波CT同步透视应用试验

4.1 矿井概况

演马庄煤矿属瓦斯突出矿井,开展试验的27131下段工作面工作面,二1煤层平均煤厚为4.07 m,平均倾角11°,长370 m,宽110 m。区域地质构造以断层为主,终采线近邻断距达10~20 m的F147断层。为探明工作面内部的瓦斯富集区域,采用0.3、0.5和1.5 MHz 3种频率进行多频电磁波CT同步透视。为提高探测精度,接收点间距设置为5 m,发射点间距50 m,每个发射点对应21个接收点,共144个接收点,16个发射点。

4.2 瓦斯富集区电磁波CT同步透视结果分析

3种频率同步透视的数据经处理,利用SIRT联合迭代重建技术进行层析成像,得到三者的综合变化曲线和透视层析成像结果(图8)。由CT透视成像结果可见,3种频率在200 m至开切眼处均存在大面积衰减区,且频率越高,相对衰减越严重。其中,1.5 MHz相对0.5 、0.3 MHz,在200~250 m内电磁波相对衰减更严重。从图9综合曲线可知,对于无异常区发射点510(50 m),实际场强曲线与理论曲线基本一致,接收场强与相对衰减系数变化较小,分布较均匀。而发射点540(200 m)的综合变化曲线(图10),在点号40~50(即200~250 m)处,场强信号逐渐变小、相对衰减系数逐渐增大。但是,总体衰减幅值较小,0.3、0.5 MHz约5 dB,1.5 MHz衰减约10 dB左右,未到达20 dB,属于弱衰减的特征。因此,依据3种频率的CT成像结果、综合变化曲线,结合区域及工作面地质条件,分析该处异常可能为瓦斯富集区。

27131运输巷终采线附近钻孔瓦斯含量为3.18 m3/(t·d),属于低瓦斯分布区;27131运输巷225 m钻孔瓦斯含量为14.88 m3/(t·d),27131回风巷在220 、225 、255 m钻孔瓦斯含量分别为14.30、15.98 、16.45 m3/(t·d),属于高瓦斯区。电磁波CT透视结果与钻孔瓦斯含量一致,可见多频电磁波CT同步透视能够有效探测瓦斯富集区。

图8 电磁波CT透视结果与钻孔瓦斯含量对比
Fig.8 Perspective results of electromagnetic wave CT and comparison of borehole gas content

图9 正常煤体电磁波CT透视综合变化曲线(发射点510)
Fig.9 Comprehensive variation curves of electromagnetic wave CT perspective of normal coal body (Emitting Point 510)

图10 瓦斯富集区电磁波CT透视煤体综合变化曲线(发射点540)
Fig.10 Comprehensive variation curves of electromagnetic wave CT perspective of abundance zone of gas (Emitting Point 540)

5 结 论

1)瓦斯富集区的场强变化曲线相对正常曲线,存在一定衰减;数值模拟层析成像结果形成了电磁波衰减区;经现场试验,表明电磁波CT透视技术能有效探测瓦斯富集区,可在煤矿生产推广应用。

2)在数值模拟和现场试验中,与断层、陷落柱、泥岩等地质体相比,瓦斯富集区的场强变化曲线相对正常煤体衰减幅度较小,即瓦斯富集区的电磁波CT响应为弱衰减的特征。

3)电磁波CT透视中,低频电磁波场强衰减较小,透视距离长;高频电磁波衰减相对较大,透视距离短,但高频电磁波的相对较敏感,CT透视识别效果优于低频电磁波。

4)多频电磁波CT同步透视技术可一次透视获得多个频段透视结果。低频保证有效透视;高频响应敏感、明显,可较好识别异常;多频的结果综合分析更易识别异常。其透视探测效率快、精度高。

参考文献

[1] 翟 红,令狐建设.阳泉矿区瓦斯治理技术创新模式与实践[J].煤炭科学技术,2018,46(2):168-175.

ZHAI Hong, LINGHU Jianshe. Practice and mode of gas control technical innovation in Yangquan Ming Area[J].Coal Science and Technology, 2018,46(2):168-175.

[2] 董国伟,胡千庭,王麒翔,等.隔档式褶皱演化及其对煤与瓦斯突出灾害的影响[J].中国矿业大学学报,2012,41(6):912-916.

DONG Guowei, HU Qianting, WANG Qixiang, et al. The evolution of ejective folds and their influence on coal and gas outburst[J]. Journal of China University of Mining & Technology, 2016,41(6):912-916

[3] 彭苏萍,高云峰,杨瑞召,等.AVO探测煤层瓦斯富集的理论探讨和初步实践:以淮南煤田为例[J].地球物理学报,2005,48(6):1475-1486.

PENG Suping, GAO Yunfei, YANG Ruizhao, et al. Theory and application of AVO for detection of coalbed methane:a case from Huainan Coalfield[J]. Chinese Journal of Geophysics,2005, 48(6):1475-1486.

[4] 秦 轲,崔若飞,张少青,等.利用地震P波方位属性评价瓦斯富集区[J].地球物理学进展,2012,27(4):1687-1692.

QIN Ke, CUI Ruofei, ZHANG Shaoqing, et al. Locating the distribution of gas enriched area using seismic P-wave Azimuth attributes[J]. Progress in Geophysics,2012,27(4):1687-1692.

[5] 梁庆华,宋 劲,孙兴平,等.地质雷达井下探测瓦斯富集区特征研究[J].地球物理学进展,2013,28(3):1570-1574.

LIANG Qinghua, SONG Jin, SUN Xingping, et al. The characteristics study of ground penetrating radar detection of gas enrichment area in coal mine[J]. Progress in Geophysics,2013,28(3):1570-1574.

[6] 梁庆华,吴燕清,李云波,等.无线电波探测瓦斯富集区理论与方法[J].煤炭学报,2017,42(S1):148-154.

LIANG Qinghua,WU Yanqing,LI Yunbo,et al. Theory and method of coal seam gas enrichment area based on radio wave perspective detection[J].Journal of China Coal Society,2017,42(S1):148-154.

[7] 王 康,姚小帅,廉 洁,等.槽波地震勘探技术在煤矿灾害探测中的适用性研究[J].煤炭技术,2017,36(4):128-130.

WANG Kang, YAO Xiaoshuai, LIAN Jie,et al. Applicability of coal mine disaster detecting by in seam seismic survey[J].Coal Technology,2017,36(4):128-130.

[8] 李树刚,成小雨,刘 超,等.低透煤层采空区覆岩高位瓦斯富集区微震探测及应用[J].煤炭科学技术,2017,45(6):61-66.

LI Shugang, CHENG Xiaoyu, LIU Chao,et al. Microseisms detection and application of high-level gas enrichment region in overlying strata of goaf under low-permeability coal seam[J]. Coal Science and Technology,2017,45(6):61-66.

[9] 吴燕清.地下电磁波探测及应用研究[D].长沙:中南大学,2002.

[10] 吕绍林,何继善.瓦斯突出煤体的介电性质研究[J].世界地质,1997,16(4):43-46.

LYU Shaolin, HE Jishan. Study on dielectric properties of gas outburst coal[J].World Geology, 1997,16(4):43-46.

[11] 吕绍林,何继善.瓦斯突出煤体的导电性质研究[J].中南工业大学学报,1998,29(6):511-514.

LYU Shaolin, HE Jishan. Study on electrical conductivity of gas outburst coal[J].Journal of Central South University of Technology, 1998,29(6):511-514.

[12] 康建宁.电磁波探测煤层突出危险性指标敏感性研究[D].重庆:煤炭科学研究总院重庆分院,2003.

[13] 徐小兵.煤与瓦斯突出倾向性的电磁波场特征研究[D].青岛:山东科技大学,2007.

[14] 杨 耸.受载含瓦斯煤体电性参数的实验研究[D].焦作:河南理工大学,2012.

[15] 康天慧,董 东,魏建平,等.煤电阻率与其瓦斯含量关系的实验研究[J].地质与勘探,2016,52(5):918-923.

KANG Tianhui, DONG Dong, WEI Jianping,et al. An experimental study on the relationship between resistivity and gas content of coal[J]. Geology and Exploration, 2016,52(5):918-923.

[16] 于治会.分贝及其应用[J].电子机械工程, 2002,18(6):4-7.

YU Zhihui. The decibel and its application[J].Electro Mechanical Engineering,2002,18(6):4-7.

[17] 肖玉林,吴荣新,严家平,等.工作面坑透场强传播规律及有效透视宽度研究[J].煤炭学报,2017,42(3):712-718.

XIAO Yulin, WU Rongxin, YAN Jiaping, et al. Field strength propagation law of radio wave penetration and effective perspective width for coal face[J].Journal of China Coal Society, 2017,42(3):712-718.

Research on multi-frequency electromagnetic wave CT synchronouspenetration technology in gas abundance zone

QIU Nianguang,QU Xuhui,LIU Baixiang

(Chongqing Research InstituteChina Coal Technology & Engineering Group Corp.,Chongqing 400039, China)

Abstract:In order to verify the gas abundance zone of the mining face, numerical simulations of electromagnetic wave attenuation curves and perspective tomography features of different frequencies in different media and gas enrichment zones were carried out, based on the electromagnetic wave CT theory and SIRT tomography. A multi-frequency electromagnetic wave synchronous penetration technology was proposed, and a multi- frequency electromagnetic wave CT synchronous penetration test was carried out in Yanmazhuang Coal Mine. The results show that electromagnetic wave CT can effectively detect the gas abundance zone. Compared with normal coal, the abundance zone of gas was characterized by weak attenuation of electromagnetic wave, and the higher the frequency, the more serious the attenuation.The attenuation amplitude of high frequency electromagnetic wave was slightly larger, which had the characteristics of strong response and short perspective. Multi-frequency synchronous penetration technology, with its high efficiency and precision in penetrating detection, can ensure the high sensitivity and strong response of high frequency and the long effective perspective distance of low frequency. The underground field test results verify that the multi-frequency electromagnetic wave CT synchronous penetration technology can effectively and accurately identify the gas abundance area in the mining face, and can promote the application of coal mine production.

Key words:gas abundance zone; multi-frequency electromagnetic wave CT; synchronous penetration; mining face

移动扫码阅读

仇念广,屈旭辉,刘百祥.瓦斯富集区多频电磁波CT同步透视技术研究[J].煤炭科学技术,2019,47(8):200-206.doi:10.13199/j.cnki.cst.2019.08.028

QIU Nianguang,QU Xuhui,LIU Baixiang.Research on multi-frequency electromagnetic wave CT synchronous penetration technology in gas abundance zone[J].Coal Science and Technology,2019,47(8):200-206.doi:10.13199/j.cnki.cst.2019.08.028

中图分类号:P631.8

文献标志码:A

文章编号:0253-2336(2019)08-0200-07

收稿日期:2019-03-18

责任编辑:曾康生

基金项目: 国家科技重大专项资助项目(2016ZX05045004-007)

作者简介:仇念广(1987—),男,山东济宁人, 工程师,硕士。E-mail:qiunianguang@126.com