我国是煤矿事故多发国家,且常伴有次生事故发生,建国以来我国已有数百名矿山救援指战员在矿山事故抢险救援中牺牲[1]。事故发生后开展科学、有效的救援工作直接关系救援人员、遇险人员的人身安全,是值得深入研究的重要课题[2-5]。我国《煤矿安全规程》和《矿山救护规程》中明确规定矿井发生事故后必须首先组织救援人员进行灾区侦测,探明事故类别、范围及有毒有害气体、温度等情况,这是救援过程中最重要的环节之一,是实现对灾区未知环境侦测的最有效手段,为救援指挥和救援工作的顺利开展提供依据。但是,目前救援人员对井下灾区环境侦测主要通过随身携带各种环境参数传感设备,实现救援人员站立位置的环境参数检测,不能对前方50~100 m处区域进行超前侦测,导致救援过程中无法规避行进中可能存在的潜在危险,极易发生次生灾害,威胁救援人员与被困人员的生命安全。针对上述问题,行业内相关单位及专家提出利用救援机器人代替救援队员进行灾区侦测[6-9],但由于井下灾区环境对防爆等级要求较高,同时地形条件极其复杂,尤其针对0区环境要求防爆等级为本质安全防爆,使得救援机器人难以兼具本质安全防爆性能及较大的动力性能、越障性能。当前煤矿井下救援机器人仍处于试验研究阶段,距实用化研究阶段还有较大距离。基于此,笔者设计研究了一种基于气压原理的惰性气体发射装置,具备本质安全防爆性能,适用于井下灾区受限空间远距离发射环境的侦测探头,可满足救援队员对灾区环境超前侦测的需求,对保障救援队员的生命安全及救援工作的有效开展具有重要意义。
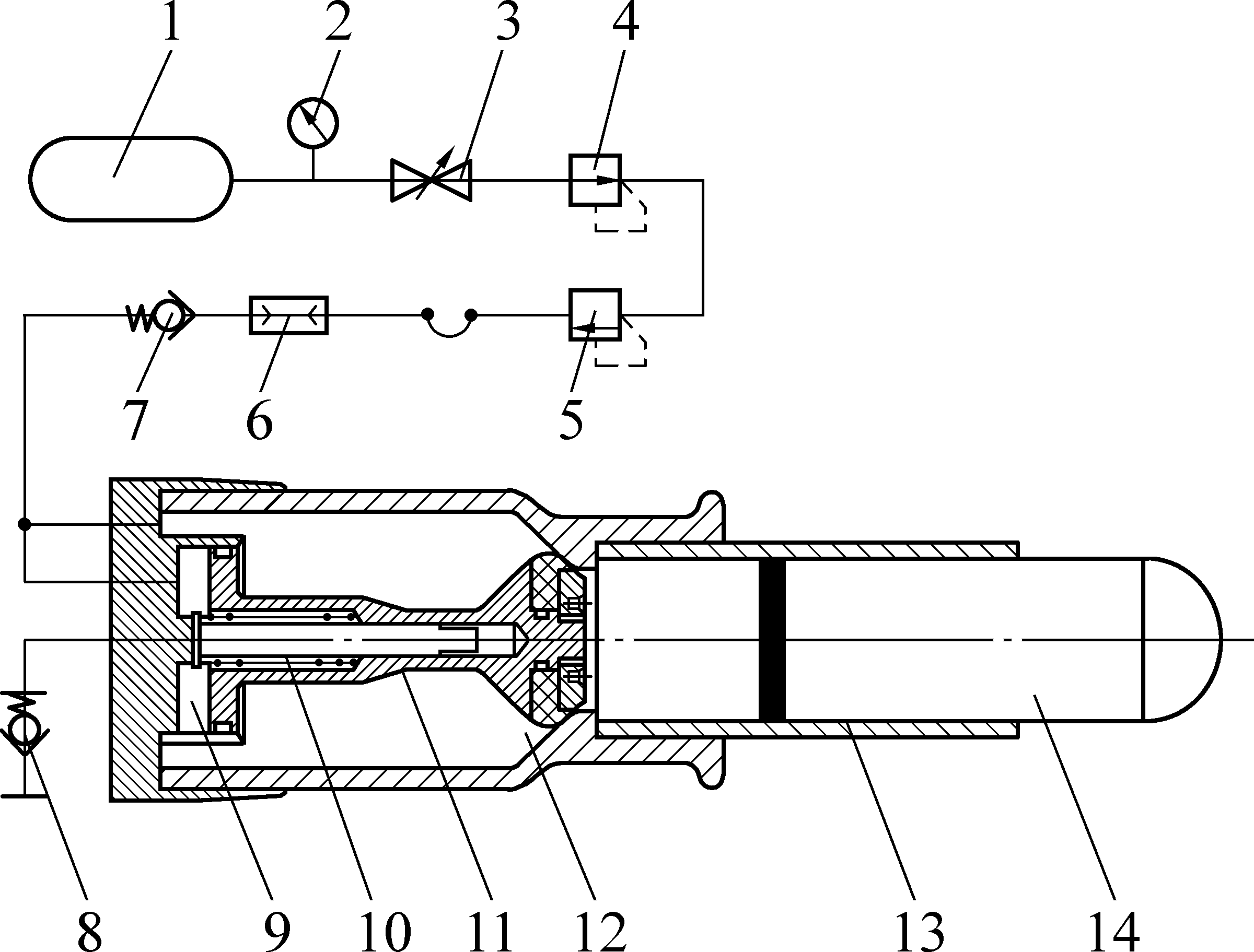
煤矿井下超前侦测发射装置总体结构如图1所示,主要由充气组、肩托组、发射管、主体组及背带组等组成[10-13]。其中充气组可通过2种方式提供发射气体动力,一是通过装卸小气瓶供气,二是通过充气组端部的快插接头连接外置高压气瓶供气,适用于各种场所供气;肩托组用于发射时提供支撑,可折叠收放,便于携带;发射管用于放置探头,主体组通过内部阀芯移动,利用气体压力将探头射出。发射装置主体材料选用铝合金,轻便携带。发射装置及探头关键参数见表1。
1—充气组;2—肩托组;3—发射管;4—主体组;5—背带组
图1 井下超前侦测发射装置结构
Fig.1 Structure of underground mine advanced detection launcher
表1 井下超前侦测发射装置及探头关键参数
Table 1 Key parameters of underground mine advanceddetection launcher and probe
气室容积/m3发射管长/m发射压力/MPa探头质量/kg探头尾管半径/m2.5×10-40.32560.80.02
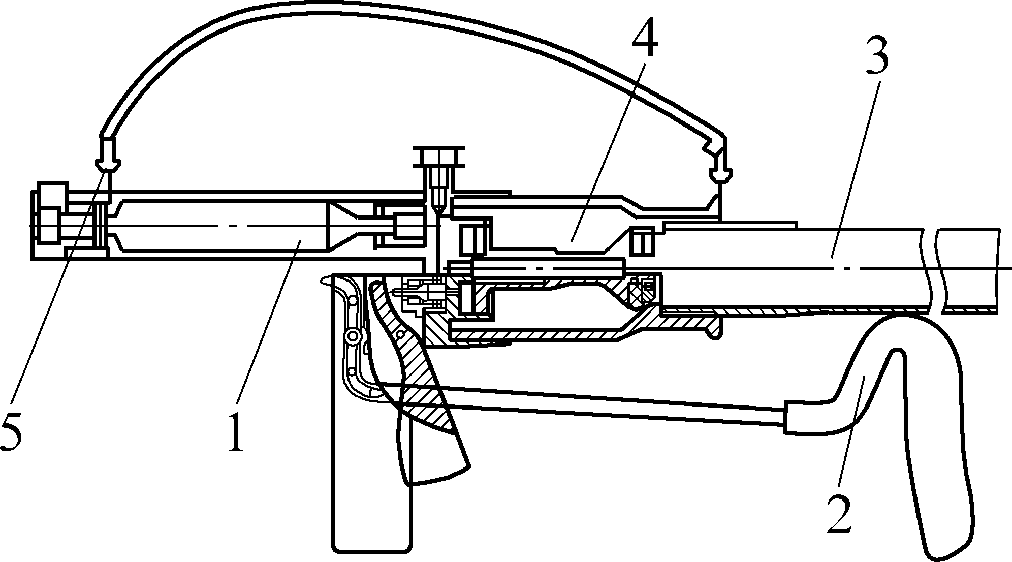
发射装置的作业包括充气和发射2个过程[11-14],其中充气过程是以压缩气体为动力,通过高压气瓶充气,其工作原理如图2所示。充气时气瓶内的高压空气由减压阀降至适当压力,通过充气管路同时进入辅气室和主气室。活塞在气体压力的作用下与外壳紧密地贴在一起形成密封,将压缩空气密封在发射器的气室内。当气室内的压力达到预定值时,关闭瓶阀,拔掉快速接头,充气过程结束;发射过程是通过扣动扳机打开触发阀门,使辅气室与大气相通,同时阻断辅气室与主气室之间的通路。由于辅气室气体压力瞬间减小,而主气室气体压力不变,活塞在瞬间压力差的作用下产生向左的冲击力使主气室与外界瞬间连通,压缩气体被迅速释放进入发射管内对探头做功,并将其推射至前方,发射完成。
1—压缩气瓶;2—压力表;3—截止阀;4—减压阀; 5—安全阀;6—快速接头;7—单向阀;8—触发阀门;9—辅气室;10—复位弹簧;11—阀芯;12—主气室;13—发射管;14—探头
图2 井下超前侦测发射装置工作原理
Fig.2 Working principle of underground mine advanced detection launcher and probe
探头发射过程受力模型如图3所示[14]。
图3 探头发射过程受力模型
Fig.3 Force model of probe launch process
由于发射过程瞬间完成,可假设温度不变。此外,为简化计算,忽略气体泄露的影响和发射过程中的空气阻力,建立探头运动到发射管l处的微分方程为
求得探头的出膛速度v0为
式中:m为探头质量;l为探头位移;t为时间;r为探头尾管半径;p为发射压力;V为气室容积;g为重力加速度;θ为发射角;L为发射管的长度,l≤L。
探头在飞行过程受力模型如图4所示。由于探头本身几何尺寸较小,飞行时间和距离较短,可忽略探头升力的影响,假设探头各部分质量分布均匀,根据牛顿第二定律建立飞行过程中的微分方程[15-20]。
图4 探头飞行过程受力模型
Fig.4 Force model of probe flight process
将图4沿着探头速度切线和法向进行投影,得到飞行过程中的微分方程组为
式中:ρ为空气密度;A为探头迎风面积;Cd为空气阻力系数,取0.45;v为探头飞行速度;F1为探头所受空气阻力,F1=(1/2ρACdv2);α为探头速度方向与水平面的夹角;x为探头飞行水平位移;y为探头飞行高度。
利用Matlab软件对发射过程数学模型进行求解,得到发射过程中气压p与后坐力的关系,以及探头出膛速度与发射角的关系分别如图5、图6所示。
由计算结果得知利用3~4 MPa压力发射所产生的后坐力与口径12.7 mm的重型狙击步枪相当,只要发射姿势得当并不会对人体产生影响或伤害。
图5 气压与后坐力的关系
Fig.5 Relationship between pressure and recoil
图6 出膛速度与发射角角度的关系
Fig.6 Relation between velocity and angle
分析结果表明:出膛速度主要与工作压力有关,受发射角θ的影响可忽略不计。出膛速度的增长速率随压力的增大缓慢降低,发射器的最大出膛速度可达48.9 m/s。
通过对微分方程组求解可得到探头飞行过程中的轨迹、速度、位移发射角等参数及相互之间关系。初始条件为v|t=0=v0,α|t=0=θ,x|t=0=0,y|t=0=h。式中:h为发射装置高度。分别针对站立(1.6 m)和半蹲(1.0 m)2种发射方式求解,如图7所示,为了充分保证探头在发射过程中不发生碰壁现象,依据我国目前煤矿巷道截面尺寸,将探头飞行轨迹的最高点限制在2.2 m以内。
通过上述理论计算得出发射气压和发射角是决定后坐力和发射距离的关键因素,当气压到达3.5 MPa以上时可将探头发射至50 m以外;后坐力相同的情况下站立发射时后坐力的作用力矩是半蹲时的1.6倍。
综上所述,在巷道受限空间内最佳发射策略是在3~4 MPa压力下于巷道中线处采用半蹲水平发射,在发射过程中因后坐力影响,发射装置在发射人员发射瞬间会自然轻微上扬,形成小角度的发射角,可获得足够的发射距离;同时,半蹲发射可更好地保持身体的稳固和获得更大的极限发射角度。
如图7所示,若采用一定角度发射,发射距离明显变大,但因矿山巷道高度限制,随着距离发射高度的增加,发射距离反而减小,这也是在开敞空间与封闭空间发射的最大区别。其中,3~4 MPa半蹲小角度发射距离可达55 m,满足超前侦测设计要求。
图7 半蹲与站立发射最大距离对比
Fig.7 The maximum distance comparision of squat and standing emission
发射装置在瓦斯灾害监控与应急技术国家重点实验室清水溪煤矿巷道基地进行实际发射试验,如图8所示。在3.5 MPa压力下,采取半蹲水平发射5次,利用测距仪测量探头第一落点,第1—5次发射距离分别为52.3、53.1、52.8、53.4、52.5 m,平均发射距离为52.82 m。
图8 发射试验
Fig.8 Emission test
1)通过对井下应急救援超前侦测发射装置发射过程的建模仿真研究,得出探头出膛速度和后坐力主要与发射压力有关,并随发射压力升高而增大,受发射角的影响可基本忽略;考虑后坐力对人员影响,确定最佳发射压力为3~4 MPa。
2)通过对探头飞行过程的建模仿真研究,发射角是影响发射距离和是否碰壁的关键因素,发射高度可忽略不计。
3)设定煤矿巷道最大飞行限制高度为2.2 m,确定巷道受限空间超前侦测发射最佳策略是在3~4 MPa压力下于巷道中线处采用半蹲水平发射,发射距离超过50 m以上,可解决矿山救援过程中超前侦测存在距离不足的实际问题。
[1] 孙继平,钱晓红.煤矿重特大事故应急救援技术及装备[J].煤炭科学技术,2017,45(1):112-116.
SUN Jiping,QIAN Xiaohong.Emergency rescue technology and equipment of mine extraordinary accidents[J].Coal Science and Technology,2017,45(1):112-116.
[2] 葛世荣,朱 华.危险环境下救援机器人技术发展现状与趋势[J].煤炭科学技术,2017,45(5):1-8.
GE Shirong,ZHU Hua.Technical development status and tendency of rescue robot in dangerous environment[J].Coal Science and Technology,2017,45(5):1-8.
[3] 杨大明.新版煤矿安全规程解读:技术装备及应急救援规定的主要调整[J].煤炭科学技术,2017,45(1):117-120.
YANG Daming.Interpretation of new edition coal mine safety regulations:major adjustments of technical equipment and emergency rescue regulations regular [J].Coal Science and Technology,2017,45(1):117-120.
[4] 郑学召,李诚康,文 虎,等.矿井灾害救援生命信息探测技术及装备综述[J].煤矿安全,2017,45(12):116-119.
ZHENG Xuezhao,LI Chengkang,WEN Hu,et al.Summary of mine disaster rescue life information detection technology and equipment[J].Safety in Coal Mines,2017,45(12):116-119.
[5] 戚宏亮,宁云才.煤矿应急救援能力评估研究.[J].煤炭技术,2017,36(4):337-340.
QI Hongliang,NING Yuncai.Research on evaluation of coal mine emergency rescue capabilit[J].Coal Technologyy,2017,36(4):337-340.
[6] 宋 文.井下灾区搜救侦测通信技术装备的研究与发展[J].矿业安全与环保,2014 ,41(5):93-97.
SONG Wen.Research and development of search rescue,detection and communication technology and equipment used in disaster area of coal mines[J].Mining Safety & Environmental Protection,2014,41(5):93-97.
[7] GB 3836.4—2010 爆炸性环境 第4部分:由本质安全型“i”保护的设备 [S].
[8] 覃海明,吴燕青,肖 勇.煤矿井下远程灾区侦测系统研制[J].煤矿安全,2015,46(11):111-113.
QIN Haiming,WU Yanqing,XIAO Yong.Development of long-distance detection system for underground disaster area[J].Safety in Coal Mines,2015,46(11):111-113.
[9] 欧阳利,顾 磊.新型远距离救生抛投器的研发与应用[J].消防技术与产品信息,2013(12):111-113.
OUYANG Li,GU Lei.Development and application of new long-distance lifesaving thrower[J].Fire Technology and Product Information,2013(12):111-113.
[10] 胡艳岭.气动枪械发射原理有关问题研究[D].南京:南京理工大学,2008:6-36.
[11] 王保国,刘淑艳,黄伟光.气体动力学[M].北京:北京理工大学出版社,2005:20-150.
[12] 秦大同,谢里阳.机械设计手册[M].北京:化学工业出版社,2011:21-188.
[13] 张 超.新型农药抛投器的研究与设计[D].福州:福州大学,2016:16-30.
[14] 周 鹏,曹从咏,董 浩. 高压气体发射装置内弹道特性及膛口流场分析[J].兵工学报,2016,44(9):1612-1616.
ZHOU Peng,CAO Congyong,DONG Hao.Analysis of interior ballistic characteristics and muzzle flow field of high-pressure gas launcher[J].Acta Armamentarii,2016,44(9):1612-1616.
[15] 郝 鑫,王建中,施家栋,等.抛投式机器人高低压发射过载的实验研究[J].太原理工大学学报,2013,44(3):393-396.
HAO Xin,WANG Jianzhong,SHI Jiadong,et al.Experimental study on launch overload of high-low pressure launcher for launchable robot[J].Journal of Taiyuan University of Technology,2013,44(3):393-396.
[16] 张 春,唐述明.空气助推运载器在矿井受限空间飞行过程仿真研究[J].矿业安全与环保,2010,37(6):16-19.
ZHANG Chun,TANG Shuming.Simulation study of air boost vehicle in confined space flight[J].Mining Safety & Environmental Protection,2010,37(6):16-19.
[17] 张劲夫,秦卫阳.高等动力学[M].北京:科学出版社,2004:15-120.
[18] 张 彬,陈晓宁,耿 勇,等.一种新型电磁抛投器仿真设计分析[J].环境技术,2014(4):168-171.
ZHANG Bin,CHEN Xiaoning,GENG Yong,et al.Simulation design analysis of a new electromagnetic throwing device[J].Environmental Technology,2014(4):168-171.
[19] 白沐炎.新型35mm枪挂榴弹发射器仿真建模与优化[D].南京:南京理工大学,2006:20-50.
[20] 于 勇,徐新文,傅德彬.同心筒发射装置燃气排导的气体动力学原理分析[J].航空动力学报,2012,27(3):501-507.
YU Yong,XU Xinwen,FU Debing.Aerodynamic theory analysis of gas exhausting from concentric canister launcher[J].Journal of Aerospace Power,2012,27(3):501-507.