粉煤吸附甲烷温度变化规律试验研究

解北京1,2,王广宇1,严 正1

(1.中国矿业大学(北京) 应急管理与安全工程学院,北京 100083;2.河南省瓦斯地质与瓦斯治理重点实验室——省部共建国家重点实验室培育基地,河南 焦作 454000)

摘 要:为了研究粉煤在吸附甲烷过程中的温度变化规律和机理,采用理论分析与试验研究相结合的方法,基于焦耳-汤姆逊效应和吸附热效应原理,对比分析无粉煤纯甲烷压缩、膨胀及不同压力条件下粉煤吸附甲烷温度变化规律。研究结果表明:用充气罐向无粉煤腔体内充甲烷时,由于甲烷焦耳-汤姆逊效应,腔体内气体温度在不同压力条件下迅速升高15 ℃;当腔体卸压时,甲烷温度下降6 ℃;粉煤吸附甲烷过程为放热过程,温度升高2~8 ℃,其温度变化的幅度与甲烷吸附平衡压力有关;粉煤吸附甲烷过程中,环境温度的变化是吸附反应放热和节流效应共同作用的结果。研究结果对井下瓦斯动力灾害预测温度指标的选取依据提供了一定的参考价值。

关键词:吸附;甲烷;焦耳-汤姆逊效应;平衡压力

0 引 言

随着采掘深度的逐年增加,我国大部分矿井瓦斯压力显著增大,瓦斯突出、煤与瓦斯突出等瓦斯动力灾害时有发生。为了准确预测矿井瓦斯动力灾害,必须充分研究灾害发生前兆特征。目前,预测煤岩动力灾害危险性较多采用的接触式预测指标,如钻屑量S、钻孔瓦斯涌出初速度q、瓦斯放散指数ΔP、煤体普氏系数f、瓦斯压力P,其参数测定需占用作业时间和空间,对生产有一定的影响[1]。煤与瓦斯突出过程中会有温度变化,已有学者尝试研究用温度作为一种预测指标[2-3],但大多是利用测试钻孔瓦斯涌出规律过程中得到的温度测试经验值,没有系统研究煤体瓦斯解吸扩散过程中的温度变化,与实际应用还存在一定差距[4]。实际上,煤是多孔隙结构,是一种天然的吸附介质,会对煤层中的甲烷、二氧化碳等气体产生吸附解吸作用,伴随着煤吸附解吸瓦斯会导致煤本身及周围环境温度参数的变化。因此,深入研究煤体吸附解吸瓦斯过程中的温度变化规律,对利用温度变化机制预测瓦斯灾害具有重要的意义。

部分学者针对煤体吸附解吸瓦斯温度变化现象开展了一定的试验研究。郭立稳等[5]发现煤与瓦斯突出这一热力耦合过程中煤体温度的变化规律受瓦斯解吸和膨胀的影响,提出了通过对煤体温度变化梯度进行连续观测,进行煤与瓦斯突出的预测预报的可行性研究。牛国庆等[6]通过测定煤吸附和解吸过程中温度的变化,发现在煤体吸附或解吸过程中温度的变化和气体压力的变化有关,同时还得出煤体吸附过程放出热量,解吸过程则相反。刘纪坤等[7]利用外测温技术,通过大量吸附解吸试验,得出吸附与解吸过程中煤体表面温度场的分布情况,同时建立了温度变化数学模型。杨涛[8]利用铂电阻温度传感器,研究发现温度变化速率及变化幅度与煤样的变质程度、环境温度、煤样粒径、吸附平衡压力等因素相关。现有的研究主要是关于吸附解吸温度规律变化,而未考虑到气体压力陡降会发生绝热不可逆膨胀产生焦耳-汤姆逊效应对温度变化的影响。

焦耳-汤姆逊效应即气体节流膨胀,这是关系工程实际的重要热力学过程[9-10]。牛文杰等[11]考虑焦耳-汤姆逊效应的影响,计算分析了天然气抽采管线及井口降温规律。霍留鹏等[12]通过试验和理论研究,数值计算了不同情况下瓦斯卸压焦耳-汤姆逊升温效应。胡丞[13]考虑焦耳-汤姆逊效应,建立了封存CO2的精通传热模型。但是,前人研究多通过试验对煤体吸附解吸过程温度变化规律总结,尚未有学者研究焦耳-汤姆逊效应在煤体吸附解吸过程中是否对温度有影响。因此,笔者利用理论分析与试验研究相结合的方法设计对比试验,通过对比两者温度-压力变化曲线,分析粉煤吸附过程温度变化规律,以及甲烷在焦耳-汤姆逊效应下环境温度的变化情况,探究粉煤吸附甲烷过程中温度变化机理和影响因素,对井下瓦斯动力灾害预测温度指标的选取具有重要的意义。

1 试验系统设计

1.1 试验装置

试验装置主要由承压腔体、卸压装置、约束管道、温度及压力采集系统、充气系统、抽真空系统6个部分组成[14],如图1和图2所示。

图1 试验系统实物
Fig.1 Physical map of experimental system

图2 试验系统示意
Fig.2 Schematic diagram of experimental system

其中,承压腔体由有机玻璃圆筒(内径为14 cm、外径为18 cm、壁厚为2 cm、高度为30 cm)、固定法兰(密封法兰有底座和顶盖2片,主要实现密封有机玻璃筒、连接气体管道和泄放气体的功能)和固定螺栓(高强度通丝,螺栓直径为16 mm,长度1 000 mm,细牙螺纹1.5 mm,抗拉强度达到400 MPa)三部分组装而成;卸压装置由千斤顶(外形尺寸为外径×内径×高度=30.0 mm×22.5 mm×150.0 mm)、钢珠和钢化玻璃组成;约束管道(选用管外径110 mm、厚度4.2 mm的PVC)限制快速减压时气体的冲击轨迹并阻挡可能产生的钢化玻璃碎片,避免试验人员受伤;温度及压力采集系统由压力表、热电偶温度计和高速存储记录仪构成;充气系统由钢瓶、平衡罐和管道连接而成;抽真空系统由真空计、真空泵和管道连接组成[14]

1.2 温度、压力信息采集系统

1)温度信号采集。K型微细热电偶:直径1 mm铠装 K 型热电偶,测温范围0~1 200 ℃;响应时间小于200 ms,温度分辨率大小为0.01 ℃,将热电偶通过法兰盘测量孔插入吸附腔体内[15],距离充气口腔体长度1/3处,测量腔体内环境温度变化。

2)存储记录仪。温度信号采集系统使用的 HIOKI 8860-50 存储记录仪,能够根据外部采样的采样周期来设置系统的采样速度,满足温度、应变等输入单元存储记录,可以同时实现高速记录与实时记录。采集系统最大采样速率1 MS/s,试验中测试采样速率为1 kS/s。

3)压力表。试验压力表选用Y-50Z型普通压力表,表盘示数范围0~2.5 MPa。

1.3 试验方案

试验包括3个部分内容,共4组试验,见表1。第1组:向腔体充入纯甲烷,记录试验气体在焦耳-汤姆逊效应下温度变化规律;第2、3、4组试验:不断向放置粉煤的腔体内充入甲烷,记录粉煤吸附过程腔体温度-压力变化曲线,其试验的平衡压力条件不同;试验煤样取自山西省孝义市万峰煤矿1209工作面。试验前使用铁锤进行人工破碎筛分。根据参考文献[14],首先将大块煤样砸碎成5 cm以下的碎块;然后,将其放入图3a中的模具通过铁锤反复敲打;最后,将煤样进行筛分,将原始煤样中的煤矸石剔除,筛选出3.35~10.00 mm的煤样,粒度较大。最后筛选出来的试验煤样如图3b所示,放入腔体内的煤样呈自然松散状态。

图3 试验煤样及制作工具
Fig.3 Coal samples and crushing tools

需要说明的是,煤矸石可以采取以下2种方法尽量剔除:①根据颜色和亮度剔除,煤样为黑色,且破碎面具有一定的亮度,而煤矸石为暗灰色,光泽很差;②根据硬度剔除,煤矸石强度比煤样大的多,在敲打时很容易分辨出来[14]

表1 试验方案

Table 1 Experimental program

序号有无粉煤平衡压力P/MPa吸放热变化1无0先放热、后吸热2有1.0放热3有0.7放热4有0.3放热

2 粉煤吸附甲烷温度变化试验结果分析

2.1 焦耳-汤姆逊效应温变特征

焦耳-汤姆逊系数μJ-T是描述焦耳-汤姆逊效应的最主要参数,由热力学函数关系式可表示为[16]

μJ-T=(∂T/∂p)H=[T(∂Vm/∂T)p-Vm]/Cp

(1)

式中:T为温度,K;p为压力,MPa;H为焓;Vm为气体摩尔体积,m3/mol;Cp为实际气体的摩尔定压比热容,J/(mol·K)。

将压缩因子修正的理想气体状态方程pVm=ZRT代入式(1),得:

(2)

式中:R为理想气体常数,J/(mol·K);Z为压缩因子。

可以看出,计算焦耳汤姆逊系数的关键在于求(∂Z/∂T)p。根据参考文献[17],选用Soave Redlich Kwong立方型状态方程计算结果与实测结果的误差较小,SRK立方型状态方程可表示为

(3)

(4)

(5)

式中:aT是关于对比温度Tt的函数;b是各种物质特有的常数,与其临界参数有关;fω=0.48+1.57ω-0.176ω2ω为偏心因子;Tc为临界温度,℃;pc为临界压力,MPa。

pVm=ZRT代入式(3)得到关于压缩因子Z的立方型方程:

Z3=Z2+(A-B-B2)Z-AB=0

(6)

式中:

在压力保持不变的情况下,式(6)对温度求偏导数得式(7)。

(7)

其中,

(8)

(9)

故(∂b/∂T)p=0;(∂aT/∂T)p的计算式为

(10)

对于式(2)中的比热容,可直接利用文献[17]中的数据,或对文献[18]中的数据进行回归分析得到计算式为:

Cp=1 697.510 7p0.066 1T0.077 6

(11)

将式(10)代入式(8),将式(8)与式(9)代入式(7),将式(7)与式(11)代入式(2),可以得到试验条件下甲烷的焦耳-汤姆逊系数μJ-T=3.68。

根据文献[19-20],当μJ-T>0时,表示随着体积的胀大,气体温度下降,而随着体积压缩减小,气体温度升高。通过试验的方法,可以对这一结论进一步验证。

第1组试验,在没有粉煤的条件下向腔体充入纯甲烷,分析充气和卸压2个过程中腔体内压力和温度的变化情况,如图4所示。

图4 甲烷气体节流效应温度-压力曲线
Fig.4 Methane gas throttling effect temperature-pressure curves

由图4中的曲线可见,腔体内初始温度即为实验室室温,在1 500 s左右,打开充气阀门向腔体内充气,观察腔体内压力及温度数据变化情况;为了观察快速增压对腔体内温度变化的影响情况,分别在1 650 s和1 700 s对腔体进行2次充气(图中三角号标明)。可见,由于充入甲烷腔体内的气体压力迅速升高至1.5 MPa,温度随之迅速升高至38.3 ℃,停止充气后温度缓慢降回室温。启动卸压装置后,温度随压力下降迅速降低了4 ℃后,逐渐恢复至室温。

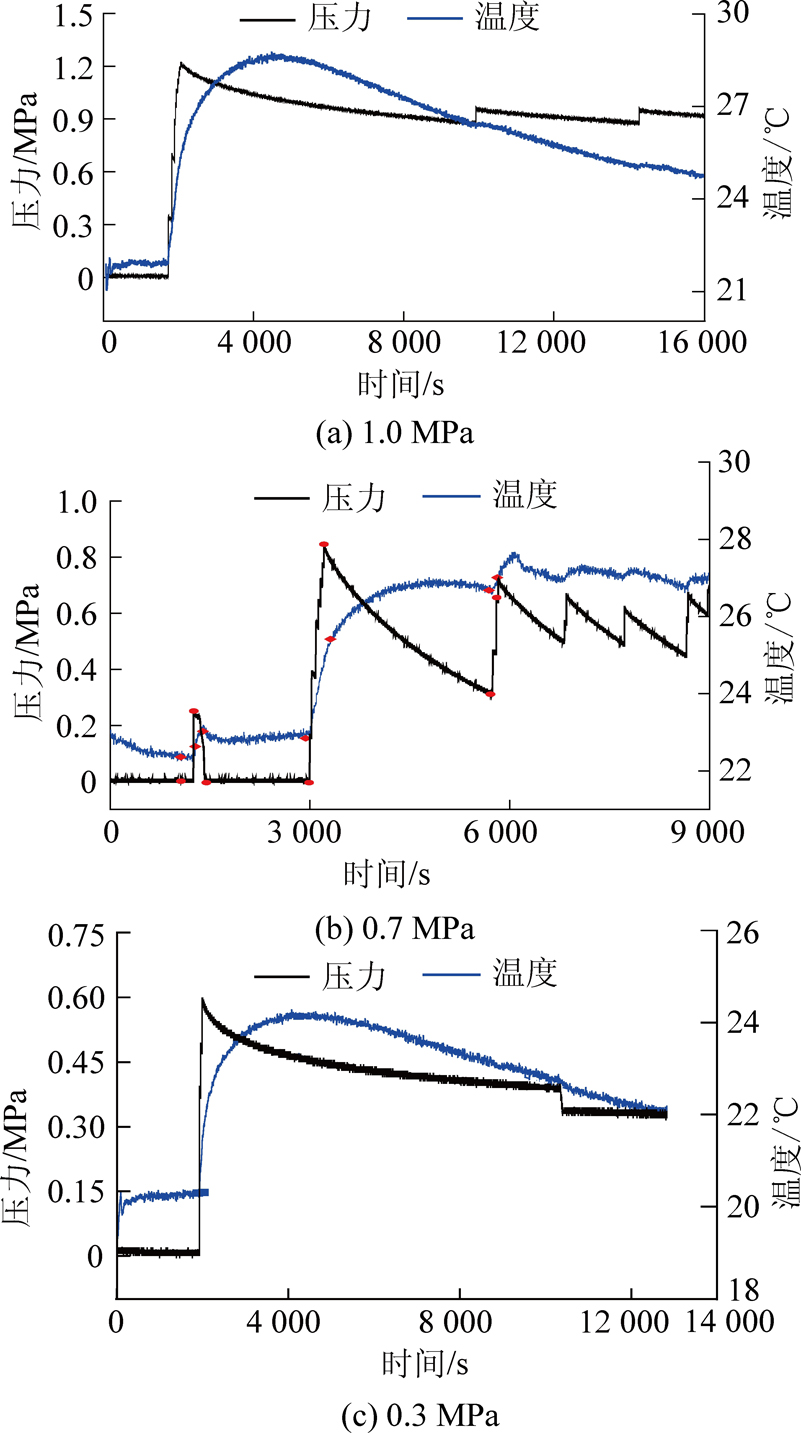
2.2 不同吸附压力下粉煤温度变化特征

用电子天平称量(1 000±10) g煤样装入承压腔体内,充入甲烷,进行第2—4组试验,达到不同的试验压力(0.3、0.7、1.0 MPa),煤样发生吸附的时间-压力/温度变化情况,如图5所示。

图5 粉煤吸附试验压力-温度变化曲线
Fig.5 Adsorption test pressure-temperature curves of pulverized coal

由图5可见,当向腔体内充入甲烷后腔体内气体压力迅速上升,温度都随之快速上升2~8 ℃不等,且温度上升的速率随充气压力的增大而增大。当停止充气,由于粉煤吸附甲烷,腔体内压力开始下降,但腔体环境温度仍在继续上升,且在2 000 s内,3组试验的腔体环境温度都达到最高点(分别为24.0、27.5、28.5 ℃)后。但随着吸附过程的不断进行,腔体内气体压力开始缓慢下降。环境温度在达到最高点后,也随压力的下降出现下降,但上升的速率约为下降速率的7.5倍。

其中在第2组试验中,为更接近粉煤的吸附平衡状态,多次向承压腔体充气,吸附时间较长,因此以0.7 MPa环境压力试验为例进行详细分析。如图5所示,待环境温度稳定后,在1 250 s向承压腔体中第1次少量充气,待反应进行一段时间之后,根据压力和温度的变化情况,在3 100 s时,进行第2次充气,待试验压力达到0.85 MPa停止充气。此后,随着吸附反应的进行,腔体内的压力出现下降,于是多次充气加压直到稳定,温度变化趋势与第2次充气时变化情况相同。

3 粉煤吸附甲烷温度变化机理探讨

通过第1组试验,保持腔体体积不变,充入大量甲烷,腔体内气体压力迅速增大直至1.5 MPa,由于甲烷的焦耳-汤姆逊效应腔体内产生大量的热,导致环境温度在100 s内迅速上升17 ℃,说明瓦斯压力变化过程中焦耳-汤姆逊效应导致的温度变化非常明显;而通过第2、3、4组试验,在腔体内放置破碎筛分的粉煤,仍保持腔体体积不变,充入大量甲烷,受粉煤吸附热效应影响环境温度升高2~8 ℃不等。对比2种试验结果可以发现,相同的试验条件下,2种试验反应都造成了环境温度的升高,两者都属于放热反应,只是温度升高幅度不同,且粉煤吸附反应的温度变化时间间隔更长,认为可能是由于粉煤的热传导率低于甲烷,热量传递慢所造成;也可能是温度与粉煤吸附瓦斯存在相关性[21-22],随着温度的升高,粉煤对甲烷的吸附量变小,所以2、3、4组试验中环境温度升高幅度减小。因此,粉煤吸附甲烷温度变化是受2种效应共同作用的结果。

4 结 论

1)基于甲烷压缩膨胀试验,发现压力增大,甲烷温度迅速升高;压力减小,气体温度迅速降低,说明由于焦耳-汤姆逊效应井下煤层中甲烷卸压过程势必导致钻孔内环境温度或煤壁温度变化。

2)分析粉煤吸附甲烷反应试验的温度-压力曲线,发现粉煤瓦斯吸附过程为放热过程,其温度变化的幅度与瓦斯吸附平衡压力相关。

3)通过对比2个试验的温度-压力曲线,发现有无粉煤的2种试验的环境温度随压力改变而变化的情况是相同的,说明粉煤吸附甲烷环境温度变化受到粉煤吸附热效应和甲烷焦耳-汤姆逊效应2种因素的共同影响。

4)根据试验现象,虽然2种试验温度的变化趋势相同,但有粉煤试验的温度变化幅度只有2~8 ℃,而无粉煤试验降低15 ℃,且2种试验温度发生变化的时间间隔不同,仍需要深入探究粉煤吸附甲烷温度变化机理,比如采用热流变化测量试验来分析煤壁温度变化中吸附热效应和焦耳-汤姆逊效应的协同机制。

参考文献

[1] 聂百胜,何学秋,王恩元,等.煤与瓦斯突出预测技术研究现状及发展趋势[J].中国安全科学学报,2003,13(6):40-43.

NIE Baisheng,SHI Yuanwei,WANG Enyuan,et al.Present situation and progress trend of prediction technology of coal and gas outburst[J].China Safety Science Journal,2003,13(6):40-43.

[2] 谢松岩.突出危险工作面煤体温度变化的研究[J].煤炭技术,2014,33(4):44-46.

XIE Songyan.Study on temperature variation in outburst of coal seam[J].Coal Technology,2014,33(4):44-46.

[3] SUN Zhongqiang,GUO Liwen.Study on the temperature variation in outburst of coal seam[C]//3RD International Symposium on Modern Mining & Safety Technology Proceedings,2008.

[4] 杨 涛,聂百胜.煤粒吸附瓦斯过程中的温度变化研究[J].煤炭学报,2015,40(S2):380-385.

YANG Tao,NIE Baisheng.Temperature variation tests during the gas adsorption process[J].Journal of China Coal Society,2015,40(S2):380-385.

[5] 郭立稳,俞启香,蒋承林,等.煤与瓦斯突出过程中温度变化的试验研究[J].岩石力学与工程学报,2000,19(3):366-368.

GUO Liwen,YU Qixiang,JIANG Chenglin,et al.Testing study on the variation of coal temperature during the process of coal and gas outburst[J].Chinese Journal of Rock Mechanics And Engineering,2000,19(3):366-368.

[6] 牛国庆,颜爱华,刘明举.煤吸附和解吸瓦斯过程中温度变化研究[J].煤炭科学技术,2003,31(4):47-49.

NIU Guoqing,YAN Aihua,LIU Mingju.Research on temperature changes during coal gas absorption and desorption[J].Coal Science and Technology,2000,31(3):366-368.

[7] 刘纪坤,王翠霞.煤体瓦斯解吸过程温度场测量研究[J].西安科技大学报,2013,33(5):522-526.

LIU Jikun,WANG Cuixia.Measurement of temperature field in coal gas desorption process[J].Journal of Xi’an University of Science and Technology,2013,33(5):522-526.

[8] 杨 涛.煤体瓦斯吸附解吸过程温度变化试验研究及机理分析[D].北京:中国矿业大学(北京),2014.

[9] Martin Schoen.The Joule-Thomson effect in confined fluids[J].Physica A:Statistical Mechanics and its Applications,1999,270(3/4):353-379.

[10] 胡新根,林娟娟.气体节流膨胀过程的热力学分析[J].大学化学,2015,30(4):74-77.

HU Genxin,LIN Juanjuan.Thermodynamic analysis on throttling expansion of Gases[J].University Chemistry,2015,30(4):74-77.

[11] 牛文杰,吴建军,刘新福,等.煤层气排采井口温降计算与保温装置设计[J].机械设计,2011,28(9):71-75.

NIU Wenjie,WU Jianjun,LIU Xinfu,et al.Calculation on temperature drop at CBM drainage well-head and insulation device design[J].Journal of Machine Design,2011,28(9):71-75.

[12] 霍留鹏,岳高伟,王宾宾.瓦斯卸压过程中的焦耳-汤姆逊效应[J].煤炭科学技术,2017,45(12):127-133.

HUO Liupeng,YUE Gaowei,WANG Binbin.Joule-Thomson effect of gas pressure releasing process[J].Coal Science and Technology,2017,45(12):127-133.

[13] 胡 丞.地质封存中注CO2井筒传热模拟分析[D].大连:大连理工大学,2013.

[14] 薛洪来.煤气体膨胀动态拉伸破坏特征参数变化及电磁辐射特征[D].北京:中国矿业大学(北京),2018.

[15] 解北京,严 正,赵泽明.基于物理降温静态爆破防喷孔试验研究[J].中国安全生产科学技术,2018,14(1):150-154.

XIE Beijing,YAN Zheng,ZHAO Zeming.Experimental study on anti-spraying hole of static blasting based on physical cooling[J].Journal of Safety Science and Technology,2018,14(1):150-154.

[16] 李西平,司云森.物理化学[M].昆明:云南大学出版社,2006.

[17] 毛 伟,张立德.焦耳-汤姆逊系数计算方法研究[J].特种油气藏,2002(5):44-46,107.

MAO Wei,ZHANG Lide.A method study for calculating Joule-Thompson coefficient[J].Special Oil & Gas Reservoirs,2002(5):44-46,107.

[18] 马庆芳.实用热物理性质手册[M].北京:中国农业机械出版社,1986.

[19] 杨绪红,李月生.气体绝热自由膨胀过程中温度的变化[J].咸宁师专学报,2002(6):75-76.

YANG Xuhong,LI Yuesheng.A process of free expansion in a containerwhich insulates from heat[J].Journal of Xianning Teachers College,2002(6):75-76.

[20] 邓成香,宋鹏云,马爱琳.干气密封的实际气体焦耳-汤姆逊效应分析[J].化工学报,2016,67(9):3833-3842.

DENG Chengxiang,SONG Pengyun,MA Ailin.Analysis of Joule-Thomson effect of real gas system sealed by dry gas[J].CIESC Journal,2016,67(9):3833-3842.

[21] 郭立稳,蒋承林.煤与瓦斯突出过程中影响温度变化的因素分析[J].煤炭学报,2000,25(4):401-403.

GUO Liwen,JIANG Chenglin.The theoretical analysis of the influen-cing factors about temeperature change in the process of coal and gasoutburst[J].Journal of China Coal Society,2000,25(4):401-403.

[22] 张天军,许鸿杰,李树刚,等.温度对煤吸附性能的影响[J].煤炭学报,2009,34(6):802-805.

ZHANG Tianjun,XU Hongjie,LI Shugang,et al.The effect of temperature on the adsorbing capability of coal[J].Journal of China Coal Society,2009,34(6):802-805.

Experimental study on temperature change law of pulverizedcoal during adsorbing methane

XIE Beijing1,2,WANG Guangyu1,YAN Zheng1

(1.School of Emergency Management and Safety EngineeringChina University of Mining & Technology (Beijing),Beijing 100083,China;2.State Key Laboratory Cultivation Base for Gas Geology and Gas Control in Henan Province, Jiaozuo 454000, China)

Abstract:This paper is devoted to study the temperature change law and mechanism of pulverized coal in the process of adsorbing methane, a combination of theoretical analysis and experimental research is adopted.Based on the Joule-Thomson effect and the adsorption heat effect, temperature changes in adsorption of pure methane under compression, expansion, and different pressure were compared. The results show that when filling the pulverized coal chamber with a gas tank, the gas temperature in the chamber rapidly increases by 15 ℃ under different pressuredue to the methane Joule-Thomson effect and decreases by 6 ℃when releasing the chamber. The process of adsorbing methane from pulverized coal is exothermic, with temperature rise of 2~8 ℃. The temperature change depends on methane adsorption equilibrium pressure.It is also found that during the process of methane adsorption, ambient temperature change is a result of the exothermic and throttling effects of adsorption reaction. The research results provide a reference for selection of temperature indicators for underground gas disaster prediction.

Key words:adsorption;methane;Joule-Thomson effect;equilibrium pressure

移动扫码阅读

解北京,王广宇,严 正.粉煤吸附甲烷温度变化规律试验研究[J].煤炭科学技术,2019,47(8):123-128.doi:10.13199/j.cnki.cst.2019.08.015

XIE Beijing,WANG Guangyu,YAN Zheng.Experimental study on temperature change law of pulverized coal during adsorbing methane[J].Coal Science and Technology,2019,47(8):123-128.doi:10.13199/j.cnki.cst.2019.08.015

中图分类号:TD712

文献标志码:A

文章编号:0253-2336(2019)08-0123-06

收稿日期:2019-03-25

责任编辑:王晓珍

基金项目:国家自然科学基金青年基金资助项目(51404277);河南省瓦斯地质与瓦斯治理重点实验室——省部共建国家重点实验室培育基地开放基金资助项目(WS2018B08);中央高校基本科研业务费专项资金资助项目(2014QZ05)

作者简介:解北京(1984—),男,安徽滁州人,讲师,博士。E-mail:bjxie1984@163.com