地质与测量
矿山相似材料模拟是依据相似原理将矿山岩层地质状况以一定比例缩放,并采用相似材料制作成的力学模型,通过模拟煤层井下开采,观测其模拟岩层的位移及破坏情况,以分析预测岩层实际可能发生的变形[1-3],为实际开采提供安全指导。而通过相似材料模型得到监测点的空间位置和位移变化信息,是进一步研究模型力学行为的数据基础。张羽强等[4]对采矿相似模拟的发展现状及存在的问题已做详细阐述,包括模型制作,原型与模型之间的相似关系和相似准则等。传统的模型数据获取的方法有机械测量和物理测量2种,包括水准小钢尺法、百分表法、全站仪方法等。其中,百分表法属于接触型量测,通过在模型内部安插百分表监测岩层的应力应变信息,缺点是设备昂贵、安装复杂,自动化程度低,计算繁琐,并且模型内部安插百分表可能会破环模型的受力系统、引进新的误差[4]。全站仪法是通过全站仪量测模型表面监测标志的实时坐标,以反映模型位移,存在测量繁琐、观测工作量大等缺点。近年来使用较多的还有基于光学的数字散斑相关测量方法,该方法是通过匹配变形前后的同名散斑点来量测模型的二维应变场。杨亚会等[5]将数字散斑技术引入物理相似模拟试验中,提出了一种分析上覆岩层变形和破坏规律的新方法,通过将上覆岩层位移等值线云图、平面总应变等值线云图分别与上覆岩层变形破坏实物图相叠加,得到了位移综合分析图和总应变综合分析图,完善了矿山岩层移动规律的研究手段。但是数字散斑相关方法具有测量精度低,后期数据解算复杂,测量系统昂贵等缺点。因此,寻求一种非接触、成本低、精度高、实时或准时实的量测方法是现代模型观测中急需解决的问题。摄影测量是一种非接触性、实时记录、可三维重建的测量方法[6-8],摄影测量计算机视觉是当代摄影测量发展的最新技术。将该技术应用于矿山材料模型变形数据监测[9-10],通过比较不同时期监测点坐标的变化量,实时计算得出模型变形量。该方法具有非接触量测、实时及连续以及基于影像方式记录研究对象形态变化的特点[11-14]。杨化超等[15]将近景摄影测量应用于相似模型的变形监测,提出了直接线性变换和自检校光束法平差相结合的方法,量测了模型上布设的监测点的位移。笔者将提出一种新的自动化程度高的监测点提取及量测的方法,该方法基于计算机视觉理论,通过对模拟开挖过程中不同时期的模型重建,对模型前后的形态变化进行研究分析。
基于摄影测量计算机视觉的矿山相似模拟自动变形监测,基本技术流程包括:利用非量测数码相机获取模型不同开挖时期多组序列影像,基于摄影测量理论,对不同时期多组数字序列影像进行计算机图像分析与处理,计算得出变形监测点在模拟开挖过程中各个时期的三维坐标,通过分析变形监测点物方三维坐标的变化量,实现相似模拟试验中的变形量测和位移分析。主要内容包括:非量测相机预检校,模型在不同模拟开挖状态下的多组序列影像获取,监测编码点设计及利用编码提取算法自动识别提取影像中控制点和监测点的像点坐标,匹配同一时期不同影像上的同名像点,计算每一张影像与模型平面的单应变换矩阵,并加权求取出监测点的物方三维坐标等内容。技术流程如图1所示。
图1 测试技术流程
Fig.1 Flow chart of test monitoring technology
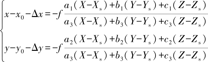
相机检校的目的是为了确定相机的内部几何参数、光学成象参数以及相机相对于空间某坐标系统的方向和位置参数。传统的摄影测量使用的是量测相机,其畸变已经过了严格的检校,但其价格高昂。随着普通非量测数码相机制造水平的提高及普及,在摄影测量中使用非量测的相机代替传统的量测相机已成为不争的事实。通过相机检校求取出相机内方位元素、相机畸变参数,使达到可量测精度的目的[16-18]已成为可能。常规相机检校通常以共线方程为计算模型,如式(1)为
(1)
其中:
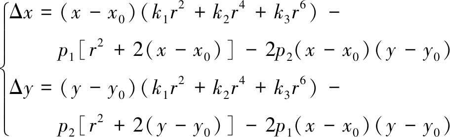
(2)
式中:f为相机主距;(x0,y0)为像主点坐标; (x,y)为像点坐标;(X,Y,Z)为物方点坐标;(Xs,Ys,Zs)为摄影中心坐标;ai、bi、ci(i=1,2,3)为旋转因子。k1、k2、k3是径向畸变参数;p1,p2为偏心畸变参数;r 为向径。
基于视觉的图像量测通常要求被测目标表面具有丰富、明显的纹理信息,以在图像处理中提取出足够的、准确的特征点。由于矿山材料模型表面一般缺少必要的纹理,同时为提高量测精度,进行矿山岩层相似模拟试验时,采取人工布设足够数量且与背景对比明显的标志点(监测点),用以监测模型开挖过程中的位移沉陷情况。为提高数据观测的自动化程度,本文中编码标志点即人工标志点,通过计算机自动识别这些编码点,达到基于图像量测相似模拟试验中标志点自动识别的功能。本试验中编码标志采用回光反射材料制成,使得在光源照射下可以拍摄得到灰度反差明显的“准二值”图像,以减少量测无关的图像信息,提高量测精度。编码标志分为控制编码点与监测编码点,其中,监测编码点设计为单标识点,进行模拟相似试验时均匀、规则地布设于模型表面,用来实现对模型的变形观测。控制编码点设计为基于点分布式的编码标志,其结构如图2所示。每个控制编码点都有一个独一无二的编码,以实现后续同名像点的自动匹配。
图2 编码图像
Fig.2 Image of code point
控制编码点的自动识别与量测是保证实时监测速度与精度的关键。相似材料模型一般由具有高反射率的云母、沙石制作而成,这会导致拍摄的图像中含有大量噪声,影像灰度区间较窄。在此条件下,为有效地实现标志点的自动识别和量测,给出如下方法与步骤对所得影像进行图像处理。
采用多层阈值模型算法,具体描述如下:①图像预处理,为克服摄影环境和噪声等的影响,使用低通滤波对原始图像做卷积处理。②使用OSTU方法计算出全局最佳灰度阈值Ti,对影像做第一次二值化。③根据式(3)对①处理之后的影像分别再做n=6次(可根据试验具体环境而定)二值化,以对②处理过程中未提取的控制编码点进行弥补。即
(3)
式中:i为第(i+1)次二值化,i值越小优先级越大,以便从n+1张二值化影像中剔除冗余的控制点编码;maxV和minV分别为影像灰度的最大值和最小值。
通过二值化处理之后,即可得到影像边缘的初始信息,随后根据图像在其梯度方向呈现高斯正态分布[19-20]的特性对其进行改正,拟合出亚像素精度的边界点,实现边缘优化。
在二值化后的影像上使用椭圆拟合中心定位算法获取所有标志点的像平面坐标,进而通过编码识别算法得到各控制编码点的唯一编码。控制点编码如图3所示,控制编码点由5个基准点和3个定码点两部分组成。彩色点为基准点,作用是定义编码坐标系,位置固定,其中绿色点作为定位点与控制点物方坐标对应。定码点作用是确定每个控制编码标志唯一的数字识别码,如图3所示的 24 个虚线圆为定码点的分布区域。解码时通过识别定码点的位置分布得到编码标志的数字识别码。实际应用时需注意三个定码点两两不能相邻。
图3 控制点编码标示意
Fig.3 Control point code marking intention
点分布式编码标志识别可以看作对编码标志进行解码的问题。如图3中彩色点为基准点(编码标志的设计模板点),把这5个模板点可看作一个点集。把图像上每个控制编码标志中所有的点看作另一个点集。在控制编码标志中找到模板点对应的图像点,既基准点,然后通过找到的基准点确定编码坐标系,求出编码坐标系与像平面坐标系之间的仿射变换参数。利用仿射变换参数将定码点的像点坐标映射到编码坐标系下,然后与定码点分布区域的24个虚线位置相比对,确定定码点位置,继而得到该控制编码标志的数字编码。点分布式编码标志的识别算法如下:
1)使用多层阈值模型图像进行二值化;
2)使用聚类的方法。给定距离阈值,识别控制编码标志中所有点,作为一个点集;
3)确定基准码。确定点集中的基准码并进行编号(每个点集实质上是一个编码标志),如图3所示,在聚类结果中寻找最小距离dmin;
4)距离约束。任选定1号和3号点;使这两点的距离大于dmin的T1倍(本文中阈值T1=2),满足执行下一步,否则返回继续;
5)2号点的选定需在1、3号点之间且满足1号点与和3号点共线,满足执行下一步,否则返回继续;
6)由1号点、3号点确定的直线,除2号点共线,其余的至少2:3分割,满足执行下一步否则返回继续;
7) 4、5号点与1、3号点的交点在4、5号点之间也在1、2号点的之间;满足执行下一步否则返回继续;
8) 分割约束。连接4、5号点两点的直线需将3个定码点(不包括1、2、3号编码点)分割到同一边,满足执行下一步否则返回继续;
9) 平行约束。1、2、4、5点两两连接的线段平行,其平行的相对差小于T2(T2=0.15);满足执行下一步,否则返回继续;
10) 交比约束。如式(8)所示,标志候选为最接近交比阈值T3(T3=1.5±0.1)的值;满足执行下一步,否则返回继续;即
(4)
式中:
为有方向的线段。
11)4 、5 点的分配原则。图像上线段向量
的右边为点4,左边为点5;
12)确定识别码。①确定编码坐标系。根据上面步骤得到该控制编码标志的基准点,确定每个控制编码标志的编码坐标系;②确定定码点的编码坐标;③确定控制编码识别码。判断将定码点坐标在24 个虚线区域的位置,确定出每个控制编码点的识别码。利用5个基准点,通过确定编码坐标系与像平面坐标系之间的仿射变换矩阵,计算出定码点在编码坐标系中的坐标。如式(5)所示,即
(5)
式中:xdst、ydst为定码点在编码坐标系的坐标;[aij]为仿射变换矩阵;定码点xsrc、ysrc在像平面坐标系的坐标。
相机从2个不同视角拍摄得到的2副影像之间存在着一种映射关系,可以使用一个3×3的矩阵来描述,即为单应变换矩阵[21],记为H,此时像方对应点采用齐次表达式来表示。
根据上一步控制编码点识别的结果和已有的控制点物方坐标,就可以得出一种平面到平面的单应变换矩阵,这一点与计算机视觉中计算左右影像的变换矩阵H类似。
Xi=Hxi
(6)
式中:Xi为物方控制点;xi为像方控制点。
把式(6)变换为齐次等式,为
Xi×Hxi=0
(7)
如果将H的第i行表示为hiT,则等式的第2项可以表达为
(8)
将Xi记为
则公式(7)可表示为
(9)
即
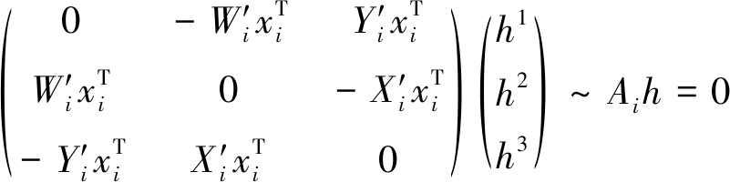
(10)
式(10)为一个关于h的一个线性等式,矩阵Ai,3×9中元素是影像中对应点的二次方程,h是一个由H矩阵元素组成的9×1维向量。公式(10)尽管有3个线性方程,但是只有2个为线性无关的,即rank(Ai)=2,而H是一个除一个缩放比例系数外自由度为8的矩阵,故至少需要4对控制点来求解。
对于H矩阵的计算根据公式(10)采用直接线性变换(DLT) (Hartley and Zisserman,2004),并利用RANSAC(Random Sample Consensus)(Fischler and Bolles,1981),通过一小部分随机点集来鲁棒估计集合之间的转换参数。RANSAC实质上就是一个反复测试、不断迭代的过程。RANSAC的基本理论:首先根据具体问题设计出目标函数模型和参数个数,然后通过反复随机提取最小点集(生成目标函数模型的最少点)估计该函数中参数的初始值,利用这些初始值把所有的数据分为“外点”(Outlier)和“内点”(Inlier),最后用所有的最优内点重新计算和估计函数的参数。
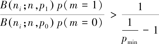
为了检测本文求解模型的可行性,对其进行概率检验。设每一张影像与物方平面对应点的个数为n,其中内点个数为ni,假设用二进制标识符m∈{0,1}表示是否为最优参数支持点,第i个点f (i)∈{0,1}表示是否为内点,并服从Bernoulli二项式分布;则所有内点的分布概率p为
(11)
其中:p1为内点中为最优参数支持点的概率;p0为内点中的噪声点概率;f(1:n)为内点二进制标示变量集{f(i),i=1,2…,n},内点总数
为Binomial分布,即
(12)
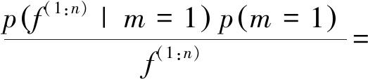
选取p1=0.6,p0=0.1,这样就模型检验问题就变为后验贝叶斯公式为
p(m=1|f(1:n))=![]()

(13)
只接受满足p(m=1|f(1:n))>pmin的模型估计,等价为
(14)
选择p(m=1)=10-6 ,pmin=0.999,并限定内定的条件为
ni>α+βn
(15)
式中:α、β为待定参数,对于正确最优的内点可选取参数α=8.0、β=0.3。
在得到监测点的像方坐标后,通过单应变换矩阵可实现单张影像监测点的像点坐标到物方坐标的映射。但通过单张影像得到的试验结果误差较大,可引入多张影像的多余观测数据来拟合监测点物方坐标的最或是值,而且还能评估验证单应变换矩阵H。同名点聚类匹配算法如下:
1)监测点物方坐标获取;求出每张影像的单应变换矩阵H,将监测点像方坐标映射到物方模型平面。
2)基准监测影像选择;在单应矩阵映射后的影像中选择基准影像,加入稀疏网格矩阵,分割监测点的区域,以提高运算速度。
3)同名像点匹配;根据核线约束原理,设定距离阈值,在基准影像上匹配其余影像上的同名监测点。
4)剔除错误匹配点。剔除同名点个数少于3个的噪声点。
5)选择范围。根据模型平面的物方范围,剔除范围之外的映射点。
采用近景摄影测量方法对某大倾角厚煤层走向长壁综放相似材料进行模拟相似变形监测。相似材料模型如图4所示,长300 cm、宽150 cm、厚20 cm,岩体开挖受重力沉陷。模型表面布设了25×11个监测标志点,在模型体四周牢固的钢结构框架上布设11个控制标志点,用于研究模型的沉陷位移、断层分布情况及地质模型层位结构。由于该试验为平面应变模型,所有监测标志点和控制标志点都视为在同一平面内。
图4 相似材料模拟平面模型
Fig.4 Plane of similar material simulation model
模型变形监测的主要测量工作包括:利用全站仪量观测控制编码点的物方坐标,坐标系的原点为于模型左下角,向右为X轴正方向,向上为Y轴正方向,Z轴正方向垂直模型表面向里内(本文视Z值为零)。相机检校得到相机的内参数和畸变参数为(f,x0,y0,k1,k2,k3,p1,p2)。保持相机参数不变(即拍摄过程中相机镜头锁定),采用佳能600D相机(像幅5 184×3 456像素,CCD物理大小为22.3×14.9 mm)获取模型不同开挖状态下的数字序列影像。上述编码提取算法自动提取影像中控制点和监测点的像方坐标,匹配同一时期不同影像上的同名像点,计算每一张影像与模型平面的单应变换矩阵,加权求取出监测点的物方坐标。分别对不同时期的不同影像重复上述处理过程,最终得到模拟开挖工程中变形监测点的运动情况。
试验在模型周围共布设11个控制编码点,结果如图5所示,其中红、绿、蓝、黄、粉色十字分别为自动识别的1—5号基准点,识别准确率为100%。
图5 控制编码识别效果
Fig.5 Code recognition result
根据相机检校结果校正标识点的坐标,结合实际编码控制点在模型平面中的坐标,解算像方到物方的单应变换矩阵。检验识别出的编码点是否与实际情况一致,可将已识别的编码点投影在模型坐标系中,模型长3.5 m,高1.4 m。经检验,11个编码标志全部识别,各编码点的编号及在模型上的分布如图6所示。
图6 编码的识别与空间分布
Fig.6 Code identification and spatial distribution
对某一期的4张影像做同名点匹配并同时映射到模型平面。每种颜色代表一组数据,如图7所示。通过观察可知,这4张影像的匹配效果良好,4组监测点数据基本重合。
图7 4张影像的映射结果
Fig.7 Mapping results of four images
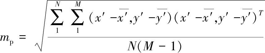
监测结果的中误差可以反映本方法的的试验精度。为了验证本方法的有效性,选取7张影像做精度评定为
则监测点的位移精度
为影像数量,N为监测点个数,(x,y)为在模型平面中的坐标,
为均值。由于mδ误差受到物方基准点测量误差、像方提取误差和系统残差等因素的影响,故在提高基准测量精度和抵消系统误差的条件下或在理想的条件下,其监测精度会更高。图8为监测点误差直方图分布图,可见本文提出的算法精度完全满足生产需求。对变形监测的结果取等权平均值得到最终的监测结果。
图8 点中误差直方图分布
Fig.8 Point error distribution histogram
同理使用mδ的估算方法,映射到同一张影像中,去除物方基准控制和物方基准点测量误差,使用相对控制,来检测像方提取误差,得
=4.167 6×10-6 m=4.1 μm <(22.3/5 184 + 14.9/3 456)/2=4.3 μm,同理这个误差也包含有系统残差,故提取精度必然优于一个像素,其中(x′,y′)为像基准平面坐标,
为均值。
该方法所测监测点坐标与全站仪所测监测点的真实数据对比见表1,结果精度如图9所示,由这个趋势看,其在两侧的精度较差,最大误差为2.1 mm,中间的误差集中在1 mm 左右,可以看出该方法所测结果符合试验精度要求,且符合相机误差传播规律图10分别为上煤层推进至90 cm时 (图10a)和下煤层开挖至1/2时,即下煤层136 cm时的变形可视化结果(图10b)。
表1 基准影像实测与解算结果对比
Table 1 Comparative analysis of result
点号实测坐标/mmXY解算坐标/mmXY4186.007.00186.926.189-319.002.00-315.061.7816-12.00-106.00-11.29-106.8722-597.00-113.00-597.32-112.7432270.00-461.00270.88-461.7244-621.00-482.00-621.53-482.35
图9 与真实测量结果对比
Fig.9 Compared with real measurement results
图10 岩层变形监测
Fig.10 Rock deformation monitoring
由此可见,笔者提出的方法可以精确反映出岩层位移走向。
1)摄影测量计算机视觉方法是当代摄影测量最新发展成果,将此方法引入矿山相似材料模型的变形监测中,可获取不同开挖期位移变化量,并分析和预测出模拟开挖过程中相似变形趋势,具有解算过程简单,获取信息丰富的特点。
2)利用相机检校参数对控制点和监测点进行畸变校正,并根据实际应用设计了特定的编码标志,根据所给算法实现编码标志自动识别,进而实现其像点坐标自动提取,大幅提高了矿山相似材料模型测量的自动化程度。
3)首次尝试将计算机视觉单应变换应用到矿山相似材料模型测量中,由自动提取出的监测编码点的像点坐标和模型平面物方坐标构造出单应变换矩阵,进而得到监测点的物方坐标,满足实验精度要求。
4)为提高试验精度,采用同期多张影像增加多余观测点,并采用等权均值的策略,以得到最或观测值。真实数据实验证明,该方法所测位移场与全站仪实际观测结果一致,精度可达到毫米级,且自动化程度高,可以作为一种新的矿山岩层相似模拟实验的观测方法。
[1] 王怀文,周宏伟,左建平,等.光测方法在岩层移动相似模拟实验中的应用[J].煤炭学报,2006,31(3):278-281.
WANG Huaiwen,ZHOU Hongwei,ZUO Jianping,et al.Application of optical measurement method in strata movement simulation experiment[j].Journal of China Coal Society,2006,31(3):278-281.
[2] 任艳芳,宁 宇,齐庆新,等.浅埋深长壁工作面覆岩破断特征相似模拟[J].煤炭学报,2013,38(1):61-66.
REN Yanfang,NING Yu,QI Qingxin,et al.Physical analogous simulation on the characteristcs of overburden breakage at shallow longwall coal face[J].Journal of China Coal Society,2013,38(1):61-66.
[3] 王家臣,杨胜利,杨宝贵,等.长壁矸石充填开采上覆岩层移动特征模拟实验[J].煤炭学报,2012,37(8):1256-1262.
WANG Jiachen,YANG Shengli,YANG Baogui,et al.Simulation experiment of overlying strata movement features of longwall with gangue backfill mining[J].Journal of China Coal Society,2012,37(8):1256-1262.
[4] 张羽强,黄庆享,严茂荣.采矿工程相似材料模拟技术的发展及问题[J].西安科技大学,2008,27(1):1-3.
ZHANG Yuqiang,HUANG Qingxiang,YAN Maorong.Development and Problems of Similar Material Simulation Technology in Mining Engineering[J].Xi'an University of Science and Technology,2008,27 (1): 1-3.
[5] 杨亚会.数字散斑技术在保护层开采物理相似模拟实验中的应用研究[D].重庆:重庆大学,2017:3-71.
[6] 冯其强,李广云,李宗春.数字工业摄影测量技术及应用[M].北京:测绘出版社,2013:163-180.
[7] 张剑清,潘 励,王树根.摄影测量学[M].武汉:武汉大学出版社,2003.
[8] 冯文灏.近景摄影测量[M].武汉:武汉大学出版社,2002.
[9] 张春森,张 瑛,刘 雷,等.数字近景摄影测量在相似模拟试验中的应用研究[J].煤炭科学技术,2014,42(11):93-96.
ZHANG Chunsen,ZHANG Ying,LIU Lei,et al.Application of digital close photogrammetry in similar simulation experiment[J].Coal Science and Technology,2014,42(11):93-96.
[10] HARTLEY R,ZISSERMAN A.Multiple view geometry in computer vision:second edition [M].London:Cambridge University Press,2003.
[11] 李 欣,陈从新,王兴玲.多重交向摄影用于矿山相似性材料物理模型变形测量[J].武汉大学学报:信息科学版,2012,37(11):1294-1298.
LI Xin,CHEN Congxin,WANG Xingling.Deformation measurement of mine similar material model based on muti-intersection photography[J].Geomatics and Information Science of Wuhan University,2012,37(11):1294-1298.
[12] 李 仲.地面摄影测量在井架变形监测中的应用研究[J].测绘科学,2010,35(1):139-142.
LI Zhong.The application of ground photogrammetry in the well shelf deformation monitoring[J].Science of Surveying and Mapping,2010,35(1):139-142.
[13] 杨化超,于瑞鹏,刘 超,等.基于序列图像的相似材料模型变形测量[J].辽宁工程技术大学学报,2006,25(S1):40-42.
YANG Huachao,YU Ruipeng,LIU Chao,et al.Deformation measurement of simulated material model based on image sequence[J].Journal of Liaoning Technical University,2006,25(S1):40-42.
[14] 于承新,宋传增,滕永彪,等.数字摄影与计算机技术在实时监测结构变形中的应用[J].济南大学学报:自然科学版,2001,15(3):232-234.
YU Chengxin,SONG Chuanzeng,TENG Yongbiao,et al.Digital photographic and computer technology in real-time monitored structural deformation[J].Journal of Jinan University:Science,2001,15(3):232-234.
[15] 杨化超,邓喀中,郭广礼.相似材料模型变形测量中的数字近景摄影测量监测技术[J].煤炭学报,2006,31(3):1-4.
YANG Huachao,DENG Kazhong,GUO Guangli.Numbers in deformation measurement of similar material models Close-range photogrammetry monitoring technology [J].Journal of China Coal Society,2006,31 (3): 1-4.
[16] 杨阿华,李学军,魏 勇,等.基于室外检校场的航空数码相机检校方法[J].装备学院学报,2014,25(3):77-82.
YANG Ahua,LI Xuejun,WEI Yong,et al.Aerial digital camera calibration approach based on outdoor calibration yard[J].Journal of Equipment Academy,2014,25(3):77-82.
[17] ZHANG Yongjun,ZHANG Zuxun,Zhang Jianqing.Camera calibration using DLT and bundle adjustment[J].Geomatics and Information Science of Wuhan University,2002,27(6):566-571.
[18] TRIGGS B,MCLAUCHLAN P,HARTLEY R.Bundle adjustment:a modern synthesis[M].Springer-Verlag,2000:298-375.
[19] 许 策,马 杰,赵全明,等.改进的圆形标志亚像素级中心检测方法[J].计算机工程,2013,39(1):217-220.
XU Ce,MA Jie,ZHAO Quanming,et al.Improved method of sub-pixel centre detection in circle mark[J].Computer Engineering,2013,39(1):217-220.
[20] 王 涛,徐娅萍,亢海龙,等.结合Canny算子的图像二值化方法[J].微型电脑应用,2010,26(2):4-7.
WANG Tao,XU Yaping,KANG Hailong,et al.Image binarization method combined with the Canny operator[J].Microcomputer Applications,2010,26(2):4-7.
[21] 曲天伟,安 波.二维投影变换模型的单应矩阵表示[J].信息技术,2008(3):88-91.
QU Tianwei,AN Bo.Deriving homography matrix of planar projective transform[J].Information Technology,2008(3):88-91.
[22] 张建全,闫保金,廖国华.采动覆岩移动规律的相似模拟实验研究[J].金属矿山,2002(8):10-13.
ZHANG Jianquan,YAN Baojin,LIAO Guohua.study on the rules of overlying rock movement by equivalent material simulation[J].Metal Mine,2002(8):10-13.
[23] 李向阳,李俊平,周创兵,等.采空场覆岩变形数值模拟与相似模拟比较研究[J].岩土力学,2005,26(12):1907-1913.
LI Xiangyang,LI Junping,ZHOU Chuangbing,et al.Comparative study on numerical simulation and similarity simulation of overburden deformation in abandoned stope[J].Rock and Soil Mechanics,2005,26(12):1907-1913.
[24] 李俊平,李向阳.下凹地形下采空区处理方案的相似模拟研究[J].岩石力学与工程学报,2005,24(4):581-586.
LI Junping,LI Xiangyang.Similarity-simulation study of project disposing abandoned stope under the sunken topographty[J].Chinese Journal of Rock Mechanics and Engineering,2005,24(4):581-586.
[25] 苏仲杰,于广明,杨 伦.覆岩离层变形力学机理数值模拟研究[J].岩石力学与工程学报,2003,22(8):1287-1290.
SU Zhongjie,YU Guangming,YANG Lun.Numerical simulation on mechanism of deformation of separated strata in overburden[J].Chinese Journal of Rock Mechanics and Engineering,2003,22(8):1287-1290.
[26] 李 仲,杜永刚,田万寿,等.地面摄影测量在变形监测中的精度分析[J].北京测绘,2010(2):94-95.
LI Zhong,DU Yonggang,TIAN Wangshou,et al.Discussion on the accuracy of photogrammetry in monitoring[J].Beijing Surveying and Mapping,2010(2):94-95.
[27] 刘晓俭,邹进贵,李 欣,等.地下采矿实验模型变形监测研究[J].地理空间信息,2007,5(4):83-85.
LIU Xiaojian,ZOU Jingui,LI Xin,et al.Deformation monitoring of underground mining testing-model[J].Geospatial Information,2007,5(4):83-85.
[28] 华明国,刘进平,吴 兵,等.基于相似模拟实验的采动裂隙场演化规律研究[J].华北科技学院学报,2014,11(2):59-63.
HUA Mingguo,LIU JinPing,WU Bing,et al.Study on the law of mining-induced fractures field evolution based on similar simulation experiment[J].Journal of North China Institute of Science and Technology,2014,11(2):59-63.
[29] 肖 鹏,李树刚,林海飞,等.基于物理相似模拟实验的覆岩采动裂隙演化规律研究[J].中国安全生产科学技术,2014,11(2):59-63.
XIAO Peng,LI Shugang,LIN Haifei,et al.Analysis laws of mining-induced fissure evolution based on physical similar simulation experiment[J].Journal of Safety Science and Technology,2014,11(2):59-63.
[30] 尹光志,张卫中,张东明,等.煤矿开采岩层移动的相似模拟实验及数值分析[J].矿业安全与环保,2004,31(2):1-3.
YI Guangzhi,ZHANG Weizhong,ZHANG Dongming,et al.modeling experiment and numeric analysis on strata movement in coal mine[J].Mining Safety & Environmental Protection,2004,31(2):1-3.
[31] 王怀文,亢一澜,谢和平.数字散斑相关方法与应用研究进展[J].力学进展,2005,35(2):195-203.
WANG Huaiwen,KANG Yilan,XIE Heping.Research progress in digital speckle correlation methods and applications[J].Advances in Mechanics,2005,35(2):195-203.
[32] 杨 剑,韩建栋,秦品乐.视觉测量中可纠错的编码点识别及提取[J].光学精密工程,2012,20(10):2293-2299.
YANG Jian,HAN Jiandong,QIN Pinle.Correcting error recognition of coded points for photogrammetry[J].Optics and Precision Engineering,2012,20(10):2293-2299.