青年博士学术专栏
王海燕1,2,3,方熙扬1,2,3
(1.煤炭科学技术研究院有限公司 安全分院,北京 100013 ;2.煤炭资源高效开采与洁净利用国家重点实验室,北京 100013;3.中国矿业大学(北京) 应急管理与安全工程学院,北京 100083)
摘 要:为深入分析煤自燃特性,以有效减少煤矿内因火灾,根据气固反应动力学相关理论,提出外部环境允许条件下煤氧反应低温阶段温度也并非始终“加速上升”,在一定时期会内出现“自限制”特征,基于此,对颗粒煤低温绝热条件下的反应步骤进行分析,推导出考虑界面效应的煤低温绝热氧化升温理论模型,然后根据4个不同变质煤样的绝热氧化试验结果进行论证。结果表明:煤颗粒的绝热氧化反应前期,温度随时间不断增长且升温速率随试验的进行而加快,呈类指数分布特征,但后期中低变质煤升温速率随试验进行开始逐渐减慢,服从半抛物线趋势变化;随着变质程度的提高,煤低温绝热氧化反应“自限制”温度有向高温方向偏移的趋势,极大升温速率逐渐降低;低温绝热氧化升温过程可分为物理吸氧放热升温阶段、自由加速升温阶段、受限减速升温阶段和全面反应阶段,其中受限减速升温阶段主要是由于“氧化层”界面作用产生,实际自燃状态分析中应注意该效应的影响。
关键词:自燃;绝热氧化;受限温度;升温模型
中图分类号:TD75
文献标志码:A
文章编号:0253-2336(2019)06-0231-07
WANG Haiyan1,2,3,FANG Xiyang1,2,3
(1.Mine Safety Technology Branch of China Coal Research Institute, Beijing 100013,China;2.State Key Laboratory ofCoal Mining and Clean Utilization,Beijing 100013, China;3.School of Emergency Management andSafety Engineering, China University of Mining and Technology(Beijing), Beijing 100083, China)
Abstract:Understanding of coal spontaneous combustion could help reduce fire disaster in coal mines.This paper proposes a new view that temperature of coal-oxygen reaction in the low temperature phase of coal spontaneous combustion is not always accelerated increasing, even if external environment allows, but has the “self-limiting” feature in a certain period of time.The paper analyzes the reaction steps and coal oxidation model under low temperature adiabatic conditions and develop a theoretical model.The model is then validated by conducting adiabatic oxidation experimental on four different coal samples.The results show that at the beginning of adiabatic reaction between coal particles and oxygen, coal temperature accelerated increases with time, showing an exponential correlation.Then, the heating rate of low metamorphic coal samples decreases with time, showing a semi-parabolic correlation.With the increase of coal metamorphic degree, restricted temperature of low temperature adiabatic oxidation has the trend of shifting to high temperature and extreme heating rate decreases gradually.Adiabatic oxidation of coal at low temperature includes four stages, namely physical oxygen adsorption heating stage, free acceleration heating stage, restricted decelerated heating stage, and full reaction heating stage.The restricted decelerated heating stage is mainly resulted from interface effect of thin oxide layer.This effect should be paid attention to in the actual analysis of coal self-ignition.
Key words:spontaneous combustion; adiabatic oxidation; restricted temperature; heating model
王海燕,方熙扬.煤自热低温阶段“自限制”特征的理论与试验研究[J].煤炭科学技术,2019,47(6):231-237.doi:10.13199/j.cnki.cst.2019.06.035
WANG Haiyan,FANG Xiyang.Theoretical and experimental study on low temperature stage of coal self-heating[J].Coal Science and Technology,2019,47(6):231-237.doi:10.13199/j.cnki.cst.2019.06.035
收稿日期:2019-03-27
责任编辑:王晓珍
基金项目:国家重点研发计划资助项目(2018YFC0807904);国家自然科学基金资助项目(51804161);煤炭科学技术研究院科技发展基金资助项目(2018JC07)
作者简介:王海燕(1987—),男,河北沧州人,副研究员,博士。E-mail:whycumtb@163.com
煤自燃火灾本质上是由煤体破碎后与氧气发生反应放出的热量大于其向外界散发的热量,导致其温度不断升高而引发的[1-3]。煤的低温绝热氧化试验方法正是基于该特征,通过分析煤在不受传热(热传导、对流和辐射)和水分蒸发散热影响的理想条件下的氧化升温特征,研究煤的自燃氧化特性的一种重要热分析方法[4-6]。目前,国内外学者广泛使用该方法研究煤的自热升温反应难易等特性,是多个国家和地区用来测定煤自燃倾向性的方法[7-8]。近年来,文献[9-10]对绝热方法进行改进并应用该方法研究了多种因素对煤自燃的影响,国内以王德明[11]为代表首先开发出煤的绝热氧化试验装置,并应用该装置研究了基于活化能指标的自燃倾向性判定方法[12],另外还有学者应用该方法研究了煤在内外因素影响下的发火特征及基于活化能的自然发火期等[13-15],但是目前的研究大都重视整体的升温趋势或前期的加速反应特征,认为煤自燃低温反应阶段整体上是一个加速反应的过程,而对自热升温低温阶段后期升温速率受影响减慢的现象没有重视,但是这一简单变化并非偶然,在国外多位学者试验结果示意图中都有体现[16-17]。课题组经大量实测发现,在采用纯氧作为绝热氧化反应气体的试验条件下,整个绝热试验过程中出口氧体积分数不低于60%,试验中供氧充分,自热升温低温阶段后期升温速率减慢并非因供氧不足等原因引起,因此它是煤自热过程的一个重要特征,而非偶然。笔者从试验中的客观现象出发,根据气固反应动力学的界面反应的相关理论,对煤颗粒与氧在低温绝热条件下的反应步骤进行分析,并推导出“自限制”特征下的煤低温绝热氧化升温理论模型,后根据4个不同变质煤样的试验结果进行论证。
煤的氧化反应过程是固体氧化物“煤”与气体氧化剂“氧气”之间发生的氧化还原反应持续进行的过程。在低温反应阶段,氧气分子并非与煤的整体发生反应,而主要与煤的表面活性结构逐步发生反应。从总包反应角度考虑,煤表面活性结构会消耗或转化为其他不易反应的化学结构,但是煤是一种孔隙结构发达的多孔性材料,活性结构并非只存在于颗粒的最外层表面。因此,随着煤样反应的进行,煤颗粒与氧的反应需要氧气分子不断通过煤的孔隙深入内部后,才能继续反应,并且这一路径会随着反应的进行而变长。相当于煤氧反应会在煤颗粒表面会形成薄膜“反应层”并随着试验的进行“反应层”不断加厚。因此,根据气固反应的动力学特征和原理,煤低温绝热氧化升温过程不会始终加速进行,会出现“自限制”特征[18-19]。在低温绝热反应过程中煤体颗粒的氧化反应步骤为:①氧气分子通过气相边界层扩散到产物(包括煤与活性基团发生反应后的产物和未完全反应的反应物)表面,这是外扩散过程;②氧气分子通过“产物层”向反应的边界界面扩散,这是内扩散过程;③在反应界面,氧气分子与活性基团发生反应,这是界面化学反应;④气体反应产物由反应界面向“产物层”表面的内扩散;⑤气体反应产物由“产物层”表面通过气相边界层的外扩散。
煤的初始氧化反应阶段“产物层”很薄,氧基本是在煤颗粒的表面与之发生反应,煤的氧化反应速率受自身的界面化学反应速率控制;一定时间之后,“产物层”的厚度逐渐增加,氧通过该层的阻力由于距离变长而增大,反应速率开始受扩散的速率所控制。
从煤低温绝热氧化试验的特点和目的出发,为方便计算和建模,在分析前需做出以下基本假设:该设备能够实现程序控温箱内温度始终与煤样温度保持一致;通入气体在进入反应装置前已得到充分预热,进口气体温度与煤样温度一致,不会进行对流换热;反应装置隔热良好,煤样罐内温度均匀一致,煤样与外部环境间不会产生热传导;煤样在预处理阶段已被充分干燥,无残余水分存在;由于煤样量较大且低温阶段煤的反应程度较低,认为在整个试验过程中煤的质量与比热容不发生改变。
假定该反应过程为一级反应,煤颗粒大小一致,半径为r、表面积为S,煤颗粒密度和反应后“产物”密度分别为ρf和ρc,设定煤颗粒被氧化的厚度为x、时间为t,则煤颗粒的氧化反应速率可用下式表示:
(1)
煤氧的反应过程中,会生成气体产物,质量减少量
(因试验前已充分干燥,在此不考虑其他因素导致的质量减少)可用下式表示:
(2)
式中:Δm为氧化反应过程中煤样因氧化造成的质量减少量;m和m0分别为反应后剩余煤样质量;n为煤的颗粒数。
煤颗粒被氧化的厚度x可用下式表示:
(3)
由于存在界面效应的影响,随反应进程的推进,前后期煤氧反应速率应区分讨论研究。在煤颗粒的氧化反应前期,颗粒暴露在氧气环境中,直接与氧气接触。煤氧发生反应放出热量引起煤温升高的过程中,煤颗粒直接与表面吸附的氧发生反应,此时的氧化速率v就等于煤氧化学反应速率vr,vr可用下式表示:
vr=CSkc
(4)
其中:C为煤颗粒表面氧浓度;kc为煤颗粒与氧反应的反应速率常数,根据Arrhenius方程[12],可用下式表示:
(5)
根据式(1)、式(4)、式(5)可得:
(6)
积分可得:
(7)
由式(3)、式(7)可得:
(8)
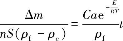
因为绝热试验主要分析煤的绝热升温情况,因此本文用放热量表示反应速率。假定,氧化反应与热释放服从线性关系,即:
pΔm=ΔQ
(9)
式中:p为煤改变单位质量的放热量;ΔQ为质量改变Δm的放热量。
考虑到绝热试验主要是在较低温度条件下完成(40~180 ℃),煤的氧化反应程度很低,煤样物理性质变化很小,可假定其在通过温升计算产热量的过程中煤样质量和化热容不发生改变[20],得到:

(10)
二者之间满足关系:
(11)
其中,c表示煤的比热容。从上式可以得出,在煤颗粒氧化反应前期,煤体温度的增加随反应进行温度升高,逐渐加快。
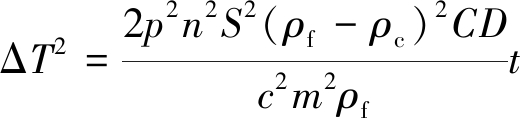
随煤颗粒氧化反应的持续进行,氧化层厚度逐渐增加,当厚度大到一定程度之后,反应物O2和产物CO2等通过氧化层的的路径太长,阻力过大,从而极大地限制了煤颗粒与氧进一步反应的进行,气体的通过氧化层的扩散速率vd小于化学反应速率vr,煤颗粒与氧发生反应整体进程的速率v开始由扩散速率vd决定[19,21]。
(12)
其中,D为O2通过氧化层的扩散系数,因孔隙结构等在低温条件下小温度段内变化不大且反应层薄[20-21],假定其在反应后期不发生变化。根据式(1)、式(12)可以得到:
(13)
积分可得:
(14)
由式(3)、式(9)、式(14)可得:
(15)
二者之间满足关系:
ΔT2=ct
(16)
由式(16)可以得出,在绝热试验煤颗粒与氧发生反应的后期,煤体温度的增长与煤氧反应时间的关系服从半抛物线趋势,在试验温度段范围内,升温速率会随温度的升高而出现降低的趋势。
绝热氧化法是一种理想化的煤自燃低温氧化相似模拟试验方法,通过追踪控温、反应容器隔热及进气预热的方式尽量减少煤与外部环境的热交换,分析煤在不受传热(热传导、对流和辐射)和水分蒸发散热影响的理想条件下的氧化升温特征,研究煤的自燃氧化特性。
该研究中所使用试验装置的设计和制造参考了AQ/T 1068—2008《煤自燃倾向性的氧化动力学测定方法》以及澳大利亚采用绝热氧化法分析煤自燃倾向性的方法的相关设计理念和要求。测试系统由程序控温箱、绝热反应容器、配气装置、气体检测装置、试验控制及数据采集模块等构成。试验系统结构和组成如图1所示。

1—压力泵;2—三通;3—压力表;4—稳压阀;5—减压阀;
6—除尘器;7—进气混合仓;8—煤样罐;9—隔热层;10—程序控温箱;11—气体预热铜管;12—加热器;13—风扇;14—出气混合仓
图1 试验系统结构示意
Fig.1 System structure diagram
试验的步骤和方法为:首先,从冷藏箱内取出密闭保存的煤块,使用破碎和制样设备制取粒径为160~180 μm的煤样;然后,取制备好的煤样200 g装入干燥罐,由质量流量计控制通入180 mL/min的氮气保护,设定程序控温箱温度为105 ℃、干燥15 h,后降温至40 ℃;最后,将煤样取出,在氮气保护环境下,装入绝热氧化反应罐,同时调整系统为追踪控温模式,切断氮气并通入60 mL/min的氧气,直至煤样温度升高至180 ℃。煤的温度随时间变化数据将由采集模块自动采集并保存。
按照上文绝热氧化试验方法对和泰褐煤、荆各庄气煤、兴县气肥煤和常村贫煤(后面简称1号煤、2号煤、3号煤和4号煤)4个煤样进行试验,测定煤样从40~180 ℃的升温过程中温度随时间变化关系,煤样具体参数见表1。为了便于分析和研究,将4个煤样的绝热氧化试验数据以煤温140 ℃为界限,将3组试验中温升量ΔT与时间t的关系分别绘图说明,具体如图2和图3所示。
表1 煤样的基本参数 %
Table 1 Basic parameters of coal samples


图2 140 ℃前ΔT-t关系
Fig.2 Relationship between ΔT and t before 140 ℃
由图2和图3可以得出,在煤颗粒的低温绝热氧化反应前期,试验煤样温度随反应进行不断增长且升温速率随时间的推移而加快,二者之间呈类指数分布特征,与理论推导式(11)模型相吻合,需要指出在煤颗粒与氧气最开始接触的阶段由于煤的物理吸氧及仪器稳定等因素会出现温度的较快增长,笔者在此不多加分析;在低温反应后期,试验煤样温度虽然依旧随反应进行不断增长,但1号煤、2号煤和3号煤升温速率随试验进行开始逐渐减慢,变化趋势与理论推导式(16)模型相符但具体细节存在一定差异,其中1号煤样在170 ℃后出现升温速率加快的现象,出现该状况的原因可能是:低变质褐煤在该温度点出现其他的活性基团参与反应,或煤颗粒的结构发生变化使孔裂隙产生扩张、气体的渗透扩散性提高,煤颗粒与氧发生反应逐渐开始摆脱“自限制”影响,开始反应加速。

图3 140 ℃后ΔT-t关系
Fig.3 Relationship between ΔT and t after 140 ℃
按照1号煤、2号煤、3号煤及4号煤的顺序,受到的影响呈现“逐渐减弱”的趋势,且明显开始起作用的温度向高温方向偏移,4号煤在试验温度范围内的氧化反应后期也没有出现升温减缓的情况,这主要是由于低变质煤本身单位质量的产热量低,且4种煤比热容相差不大,这就导致要想升高同样的温度就要有更多质量的煤参与反应,因此低变质煤表面出现的薄膜“反应层”会更厚,且低变质煤较高变质煤更易与氧发生反应,初始反应速率高,后期薄膜“反应层”的增厚使其反应速率难以为继,褐煤颗粒结构更容易被破坏或新基团加入反应,促使反应进程加速,使其最后出现了升温速率再次开始增大的情况;高变质贫煤的情况刚好相反,单位质量产热量大、薄膜“反应层”厚度小、难与氧发生反应和初始反应速率低造成其在180 ℃前不主要受薄膜“反应层”界面作用的影响,初始反应速率低和薄膜“反应层”厚度小使其在40~180 ℃整个升温过程中并没有明显表现出“自限制”特征,界面作用对于高变质煤的影响逐渐向高温方向偏移。
图4为4种煤样在绝热升温过程中升温速率随温度的变化情况,可以明显得出:1—3号煤在绝热氧化过程的后期都出现了反应受限、升温速率降低的情况,存在极大升温速率,4号煤在40~180 ℃整个升温范围内升温速率始终在增大;4种煤样按极大升温速率高低排序依次为:1号煤、2号煤、3号煤和4号煤,极大升温速率随变质程度升高而逐渐降低;将煤样达到极大升温速率的温度定义为受限温度,则4种煤样受限温度分别为:1号煤145 ℃、2号煤160 ℃、3号煤160 ℃及4号煤大于180 ℃,受限温度随变质程度的升高呈现出增长趋势;从1号煤的升温速率曲线展示了较为完整的煤低温绝热反应过程:经过简短的物理吸氧放热升温阶段(50 ℃前)后,由表面自由反应主导的加速升温阶段(50~145 ℃)到受界面作用影响的受限减速升温阶段(145~170 ℃),最后逐渐摆脱界面作用影响,进入全面反应阶段(170 ℃后)。

图4 煤体升温速率与温度关系
Fig.4 Relationship between heating rate and coal temperature
绝热氧化法是在去除热量传递和水分影响条件下的煤自然发火理想模型,使用该模型能够较好地表现不同煤种在低温条件下的自热升温特征,以往很多专家学者成功应用该方法研究煤的氧化反应特征及机理,但对某些试验过程升温曲线后期的一些细微变化并没有做更多的分析和讨论,这一些细微变化就反应出了煤的氧化反应在没有进入全面氧化阶段前的一个重要特征——煤与氧的反应会受到氧化过程中产生的薄膜“反应层”引起的界面效应的影响,出现“自限制”特征。根据气固反应动力学原理,该作用的影响是必然存在的,笔者也在理论上对升温反应模型分前期和后期进行了研究,并且应用试验方法进行了验证和分析。从结果来看,中低变质的褐煤、气煤和气肥煤在其反应的后期都明显出现了反应受限而升温速率降低的情况,而高变质的贫煤在40~180 ℃内并没有出现类似特征,但随绝热反应温度的逐渐升高,高变质煤可能也会出现反应受限、升温速率降低,但受条件限制本试验无法保证煤样在绝热条件下升温达到更高温度。
本文中1号煤的升温速率曲线展示了较为完整的煤低温绝热反应过程:物理吸氧放热升温阶段、加速升温阶段、受限减速升温阶段和全面反应阶段,受条件限制其他3种煤在180 ℃内并没有达到与低变质褐煤相同的情况,但随着氧化反应的进行,类似情况肯定会出现。褐煤升温过程中,从升温速率开始降低到煤开始出现升温速率升高的受限减速升温阶段持续温度段大概为25 ℃左右,对于其他煤种持续温度可能不同,温度段的长短会受到煤的氧化反应难易、放热量的大小、煤体颗粒分析的稳定程度的影响。由此可以推断,实际煤的自然发火过程也会在一定程度上受到界面作用的影响,以文中所述褐煤为例,其所属矿井如通过指标气体分析等方式判断出现区域自然发火,采取惰化注浆等治理措施后,如果仅出现各项预警指标稳定,没有出现明显的持续下降,且预测温度处于100~150 ℃,要细致分析是防灭火措施切实起到了作用,还是其自热升温过程出现了因反应和生成气体在煤体孔隙运移而出现的“自限制”现象,要结合煤体自身升温特点和防灭火措施实施后煤自然发火判定指标的响应综合判断分析,在防灭火工作开展和自燃状况分析上需要多加注意。
1)从煤的表面物理和化学性质出发,根据气固反应动力学理论,在低温反应阶段,氧气分子并非与煤的整体发生全面反应,而主要与煤的表面活性结构逐步发生反应,相当于在煤颗粒表面形成薄膜“反应层”,煤低温绝热氧化升温过程会出现“自限制”特征。煤颗粒的绝热氧化反应初期,氧化反应速率受自身的表面化学反应速率控制,基本服从
模型;一定时间之后,反应速率开始受扩散的速率所控制,基本服从ΔT2=ct模型。
2)在煤颗粒的绝热氧化反应前期,试验煤样温度随时间不断增长且温升量随试验的进行而加快,二者之间呈类指数分布特征,后期中低变质煤温升量随试验进行开始逐渐减慢,出现“自限制”特征,变化趋势与理论模型相符;随着煤的变质程度的提高,薄膜“反应层”界面作用对煤自热升温的影响呈现出了“逐渐减弱的趋势”,受限温度向高温方向偏移,煤样的极大升温速率呈降低趋势。
3)通过分析褐煤升温速率曲线,认为煤低温绝热反应升温过程可分为:物理吸氧放热升温阶段、加速升温阶段、受限减速升温阶段和全面反应阶段,本文4个不同变质程度煤样只有褐煤在40~180 ℃试验范围内表现出全过程。
参考文献(References):
[1] SCHMALl D,DUYZER J H,HEUVEN VAN JW.A model for the spontaneous heating of coal[J].Fuel,1985,64(7):963-972.
[2] 徐精彩.煤自燃危险区域判定理论[M].北京:煤炭工业出版社,2001.
[3] 谭 波,牛会永,和超楠,等.回采情况下采空区煤自燃温度场理论与数值分析[J].中南大学学报:自然科学版,2013,44(1):381-387.
TAN Bo,NIU Huiyong,HE Chaonan,et al.Goaf coal spontaneous combustion temperature field theory and numerical analysis under mining conditions[J].Journal of Central South University:Science and Technology,2013,44 (1):381-387.
[4] GERARDO Gordillo,KALYAN Annamalai,NICHOLAS Carlin.Adiabatic fixed-bed gasification of coal,dairy biomass,and feedlot biomass using an air-steam mixture as an oxidizing agent[J].Renewable Energy,2009,34(12):2789-2797.
[5] 仲晓星,王德明,戚绪尧,等.煤自燃倾向性的氧化动力学测定方法研究[J].中国矿业大学学报,2009,38(6):789-793.
ZHONG Xiaoxing,WANG Deming,QI Xuyao,et al.Research on oxidation kinetics test methods concerning the spontaneous combustion of coal[J].Journal of China University of Mining &Technology,2009,38(6):789-793.
[6] 余明高,郑艳敏,路 长,等.煤自燃特性的热重-红外光谱试验研究[J].河南理工大学学报:自然科学版,2009,28(5):547-551.
YU Minggao,ZHENG Yanmin,LU Chang,et al.Experiment research on coal spontaneous combustion characteristics by TG-FTIR[J].Journal of Henan Polytechnic University:Natural Science,2009,28(5):547-551.
[7] Zubí ek V,Adamus A.Susceptibility of coal to spontaneous combustion verified by modified adiabatic method under conditions of Ostrava-Karvina Coalfield,Czech Republic[J].Fuel Processing Technology,2013,113:63-66.
[8] 邓 军,张宇轩,赵婧昱,等.基于程序升温的不同粒径煤氧化活化能试验研究[J].煤炭科学技术,2019,47(1):214-219.
DENG Jun,ZHANG Yuxuan,ZHAO Jingyu,et al.Experiment study on oxidation and activated energy of different partical size coal based on programmed temperature rising[J].Coal Science and Technology,2019,47(1):214-219.
[9] BASIL Beamish B,AHMENT Arisoy.Effect of mineral matter on coal self-heating rate[J].Fuel,2008,87(1):125-130.
[10] REN T X,EDWARDS J S,CLARKE D.Adiabatic oxidation study on the propensity of pulverised coals to spontaneous combustion[J].Fuel,1999,78(14):1611-1620.
[11] 陆 伟,王德明,周福宝,等.绝热氧化法研究煤的自燃特性[J].中国矿业大学学报,2005,34(2):213-217.
LU Wei,WANG Deming,ZHOU Fubao,et al.Study on spontaneous combustion of coal by adiabatic oxidation [J].Journal of China University of Mining & Technology,2005,34(2):213-217.
[12] 陆 伟,王德明,仲晓星,等.基于活化能的煤自燃倾向性研究[J].中国矿业大学学报,2006,35(2):201-205.
LU Wei,WANG Deming,ZHONG Xiaoxing,et al.Tendency of spontaneous combustion of coal based on activation energy[J].Journal of China University of Mining & Technology,2006,35(2):201-205.
[13] 王海燕,朱红青,姚海飞,等.基础内因参数对煤自燃低温临界温度的影响[J].应用基础与工程科学学报,2016,24(3):499-509.
WANG Haiyan,ZHU Hongqing,YAO Haifei,et al.Influence of fundamentally inner parameters to critical temperature of low temperature stage in coal self-ignition process [J].Journal of Basic Science and Engineering,2016,24(3):499-509.
[14] 玄伟伟,王 倩,张建胜.褐煤自燃倾向测定及其低温氧化反应过程研究[J].煤炭学报,2016,41(10):2460-2465.
XUAN Weiwei,WANG Qian,ZHANG Jiansheng.Study on spontaneous combustion propensity and low-temperature oxidation process of lignite[J].Journal of China Coal Society,2016,41(10):2460-2465.
[15] 王海燕,李 凯,高 鹏.氧浓度对煤绝热过程氧化特征的[J].中国安全科学学报,2013,23(6):58-62.
WANG Haiyan,LI Kai,GAO Peng.Effect of oxygen concentration on characteristics of coal adiabatic oxidation process[J].China Safety Science Journal,2013,23(6):58-62.
[16] 李 林.煤自然活化机理及自燃过程试验研究[D].重庆:重庆大学,2008.
[17] 许 涛,王德明,辛海会,等.煤自燃过程温升特性及产生机理的试验研究[J].采矿与安全工程学报,2012,29(4):575-580.
XU Tao,WANG Deming,XIN Haihui,et al.Experimental study on the temperature rising characteristic of spontaneous combustion of coal[J].Journal of Mining & Safety Engineering,2012,29(4):575-580.
[18] 李文超.冶金与材料物理化学[M].北京:冶金工业出版社,2001.
[19] 李玉海,黄晓莹,王承志,等.SiC颗粒的高温氧化动力学[J].材料研究学报,2009,23(6):582-586.
LI Yuhai,HUANG Xiaoying,WANG Chengzhi,et al.High temperature oxidation kinetics of SiC particles[J].Chinese Journal of Materials Research,2009,23(6):582-586.
[20] 陆新晓,赵鸿儒,朱红青,等.氧化煤复燃过程自燃倾向性特征规律[J].煤炭学报,2018,43(10):2809-2816.
LU Xinxiao,ZHAO Hongru,ZHU Hongqing,et al.Characteristic rule of spontaneous combustion tendency of oxidized coal at recrudescence stage[J].Journal of China Coal Society,2018,43(10):2809-2816.
[21] 王 苑,罗永浩,林鹏云,等.煤在燃烧过程中灰层有效扩散系数的试验研究与应用[J].动力工程学报,2010,30(8):573-577.
WANG Yuan,LUO Yonghao,LIN Pengyun,et al.Study on gas diffusion through ash layer during coal combustion process and the application[J].Journal of Chinese Society of Power Engineering,2010,30(8):573-577.