非均匀应力影响下巷道顶板破坏特征研究

杜华溢1,司艳龙2,李春元3,魏文胜1

(1.中国矿业大学(北京) 资源与安全工程学院,北京 100083;2.中国华能集团有限公司,北京 100031; 3.中国矿业大学(北京) 力学与建筑工程学院,北京 100083)

摘 要:针对红庆梁煤矿回风大巷掘进过程中受非均匀应力影响,顶板出现台阶下沉和局部冒落等问题,借助地质雷达探测了巷道围岩松动圈的范围,利用离散元软件模拟巷道侧压变化,研究了非均匀应力对巷道围岩应力和变形破坏特征的影响,并提出了相应围岩条件的巷道支护对策。研究结果表明:受地应力非均匀分布影响,回风大巷围岩破坏范围不对称,顶板、南帮和北帮松动圈范围分别为1.7、2.0、1.2 m,稳定性随松动圈范围增大而降低;在断层作用下,顶板两侧呈现非均匀沉降,靠近非均匀应力一侧垂直位移和应力峰值明显增加,破坏深度和平均宽度分别增加了150%和117%;且顶板失稳冒落的时间提前,冒落范围扩大,变形破坏持续时间增加。

关键词:巷道支护;顶板条件;围岩松动圈;地质雷达;非均匀应力

中图分类号:TD353

文献标志码:A

文章编号:0253-2336(2019)05-0101-06

Study on roof failure characteristics of roadway under non-uniform stress

DU Huayi1,SI Yanlong2,LI Chunyuan3,WEI Wensheng1

(1.Faculty of Resources and Safety Engineering, China University of Mining and Technology(Beijing), Beijing 100083, China; 2.China Huaneng Group Co., Ltd., Beijing 100031, China;3.School of Mechanics and Civil Engineering, University ofMining and Technology(Beijing), Beijing 100083, China)

Abstract:In view of the non-uniform stress during excavation process in the return air roadway of Hongqingliang Mine, the roof has problems such as roof bench convergence and local caving,the geological radar was used to detect the range of surrounding rock loose range, and the discrete element software was used to simulate on lateral pressure change of roadway. The effects of non-uniform stress on the surrounding rock stress distribution and deformation characteristics of the roadway were studied, and the roadway support countermeasures for the surrounding rock conditions were proposed. The results show that surrounding rock failure range is asymmetrical in main return air roadway due to the non-uniform distribution of ground stress. The range of roof, south and north gang loose ranges are 1.7, 2.0 and 1.2 m respectively. The stability decreases as the range of loose ranges increases; under the action of non-uniform stress, the two roadway-sides of roof show the non-uniform settlement, the vertical displacement and stress peak near faults increase obviously, the failure depth and average width increase by 150% and 117% respectively; moreover, the roof falling is advanced and its range is expanded, the duration of deformation and failure also increases.

Key words:roadway support; roof condition; surrounding rock loose range; geological radar; non-uniform stress

收稿日期:2018-12-12

责任编辑:曾康生

基金项目:国家重点研发计划资助项目(2016YFC0600708);中央高校基本科研业务费专项资金资助项目(2011YZ05)

作者简介:杜华溢(1993—),男,山东泰安人,硕士研究生。E-mail:857599787@qq.com

移动扫码阅读

杜华溢,司艳龙,李春元,等.非均匀应力影响下巷道顶板破坏特征研究[J].煤炭科学技术,2019,47(5):101-106.doi:10.13199/j.cnki.cst.2019.05.016

DU Huayi,Si Yanlong,LI Chunyuan,et al.Study on roof failure characteristics of roadway under non-uniform stress[J].Coal Science and Technology,2019,47(5):101-106.doi:10.13199/j.cnki.cst.2019.05.016

0 引言

长期以来,我国许多煤矿受到非均匀应力的影响,巷道呈现以中心线为轴的非均匀破坏特征[1]。非均匀应力由原岩应力和偏应力叠加形成,控制了岩体破坏和塑性区变形[2]。国内外学者对巷道围岩的非均匀破坏问题进行了深入研究,取得了诸多研究成果,例如HOEK和SHARAN提出了经验强度准则[3-5];俞茂宏等[6]提出了基于正交八面单元体的主应力统一强度理论;赵志强[7]基于统一强度理论,得到了非均匀应力场影响下巷道塑性区边界方程;REVA[8]基于能量准则分析了区域性破裂围岩的稳定性问题;侯朝炯等[9]基于极限平衡条件下的摩尔-库仑准则,得到不等压作用下围岩的塑性边界方程;谢和平等[10]讨论了能量耗散、释放和岩石强度在岩石变形破坏过程中的关系,认为能量耗散与释放是岩石变形破坏的主要原因;张广超等[11]认为巷道顶板的非均匀破坏是一个复杂的过程,包括位移和应力的非线性变化以及顶板内部能量积累、释放和转移;张明建等[12]通过相似模拟试验,模拟了不同水平应力影响下巷道围岩的非均匀变形破坏特征;赵启峰等[13]采用FLAC3D模拟沿空巷道在不同阶段覆岩结构运移形态的差异性;江贝等[14]应用非连续变形分析方法,研究巷道围岩的变形破坏和裂隙演化规律;樊克恭[15]通过分析软弱结构岩体和非对称破坏的关系,认为软弱结构体是巷道非对称变形破坏的开端;何满潮等[16]利用数值模拟结合室内岩石力学试验的方法,分析了非均匀变形巷道位移场和应力场的分布规律,并为研究巷道的非均匀破坏特征提供了理论基础和依据。

为进一步揭示非均匀应力对巷道围岩破坏的影响,笔者以红庆梁煤矿回风大巷为研究背景,应用地质雷达实测巷道围岩松动圈范围,并采用3DEC软件进行模拟巷道的破坏状况,得到了非均匀应力影响下巷道顶板破坏规律和特征。

1 工程概况

1.1 工程地质

红庆梁煤矿主采近水平3-1煤层,回风大巷沿煤层顶板掘进,埋深约400 m。煤层顶板主要是泥岩和粉砂岩,局部为细粒砂岩或粗粒砂岩,岩石普氏系数0.38~2.00,软化系数0.17~0.31,围岩等级为Ⅳ~Ⅴ级,属于典型的工程软岩。岩石的抗压强度大都在30 MPa以下,抗剪与抗拉强度则更低,确定为兼具膨胀性和软弱破碎性的复合型软岩,顶板岩层物理力学参数见表1。

表1 顶板岩层物理力学参数

Table 1 Physical and mechanical parameters of roof layer

岩性容重/(kN·m-3)剪切模量/MPa黏聚力/MPa内摩擦角/(°)抗拉强度/MPa松散层21.00.820.1430—砂岩24.85.760.37323.10泥岩22.92.030.74371.96

该矿回风大巷断面为直墙半圆拱式,拱高2.6 m,直墙高度1.4 m,净宽5.2 m。原支护方案为锚网索喷支护,锚杆采用ø20 mm×2 500 mm左旋螺纹钢树脂锚杆,间排距800 mm×800 mm;金属网网格尺寸100 mm×100 mm,用ø6.5 mm圆钢焊接;锚索采用ø15.24 mm×8 300 mm钢绞线,间排距2 400 mm×2 000 mm,喷层采用标号C30混凝土,厚度为150 mm。掘进过程中,遇到正断层DF14,落差最大达17 m,破碎带宽度0.8 m,该区域地应力约为5 MPa。受断层影响产生非均匀应力,巷道掘进阶段顶板和两帮出现非均匀大变形、顶板局部冒顶等问题。

1.2 现场冒顶状况

在距11302回风巷口50 m处,回风大巷顶板局部冒顶,冒顶范围长6.0 m,宽3.0 m,高2.5 m;冒落区以外锚杆托盘从顶板脱掉,如图1所示,顶板严重破碎,表层形成明显网兜,且金属网出现严重变形,靠近断层侧顶板下沉量可达110 mm,另一侧约50 mm。回风大巷部分围岩破坏特征见表2。

图1 巷道破坏现场照片
Fig.1 Site photos of roadway damage

表2 回风大巷破坏特征

Table 2 Damage characteristics of main return air roadway

破坏形式破坏原因特征及影响顶板拉坏顶板节理发育多 顶板下沉,金属网变形,距11302回风巷口90 m出现空洞和“网兜”碎块两帮变形锚杆锚固不牢 局部膨胀鼓出0.5 m,金属网严重变形,锚杆托盘与煤壁分离

由表2结合图1分析知,巷道开挖使围岩裂隙进一步扩展,导致锚索预应力的控制范围减小,锚杆之间难以形成协同支护;锚索锚固区域在软岩内,不能形成稳定的承载结构,易导致局部冒顶、片帮等破坏现象。

2 地质雷达现场实测

为掌握回风大巷现场围岩裂隙发育状况,应用GR地质雷达对围岩进行了探测。

2.1 探测原理及测点布置

2.1.1 探测原理

根据雷达信号所形成电磁波图像剖面的振幅与频率等参数可以推断出介质的特征参数,并可对已接收雷达信号进行处理和图像解译,达到探测围岩裂隙的作用[17-19],其工作原理[20]如图2所示。

图2 地质雷达工作示意
Fig.2 Sketch of geological radar working

2.1.2 探测方案

在距11302回风巷口250 m以里区段内的回风大巷布置13条测线,分别记为101、102、…、113。探测时,以反射波波形变化和均匀程度确定松动圈、塑性区、弹性区、原岩应力区范围。

2.2 探测结果分析

由于布置测线较多,限于篇幅,选取处理回风大巷顶板非均匀变形破坏严重的108测线,探测结果如图3、图4所示。

图3 探测线扫描特征
Fig.3 Scanning characteristics of detection lines

图4 波形时间剖面
Fig.4 Time profile of waveform

根据图3得知,在垂向1.6 m处反射波发生突然跳跃,入射波形与反射波形极性相反,推断该区域内存在岩体软弱面,判定松动圈范围为0—1.6 m;在垂向2.7 m处反射波振幅较大,波速从高速进入低速,推断该处岩层处于整体破碎状态,判定塑性区垂向范围为1.6—2.7 m。由图4可知,在垂向2.7—4.5 m区域内反射波形均匀,但振幅较大,总体平稳,局部存在破碎带,该区域判定为弹性区;在垂向4.5 m以下反射波形没有出现大的波动变化,较为均匀稳定,岩层结构较完整,该区域判定为原岩应力区。

受到非均匀应力影响,顶板破坏呈现非均匀性,图3中A、B、C区域内的破坏成阶梯形,深度分别为1.2 、2.1、2.5 m,相较于A区域,B和C区域破坏深度分布增加75%和108.3%,由此推断B、C区域更容易发生冒顶。统计分析了各测线松动圈、塑性区、弹性区、原岩应力区范围,结果汇总见表3 。

表3 测点分析结果汇总

Table 3 Summary of test points analysis results

测点位置松动圈半径/m塑性区范围/m弹性区范围/m原岩应力区范围/m101南帮2.002.00—3.203.2—4.5>4.5102南帮2.252.25—3.003.0—4.5>4.5103北帮1.401.40—2.402.4—3.1>3.1104北帮1.401.40—3.303.3—4.0>4.0105南帮2.002.00—3.603.6—4.5>4.5106南帮2.002.00—3.403.4—4.6>4.6107顶板1.801.80—3.003.0—5.0>5.0108顶板1.601.60—2.702.7—4.5>4.5109顶板1.701.70—3.603.6—4.5>4.5110北帮1.301.30—2.202.2—3.0>3.0111北帮1.201.20—2.202.2—3.5>3.5112北帮1.001.00—1.801.8—3.3>3.3113南帮2.002.00—3.003.0—4.5>4.5

比较表3知,顶板松动圈为1.7 m,南帮及北帮松动圈分别为2.0、1.2 m。根据前述,受断层产生的非均匀应力影响,顶板和南帮相对北帮破坏更严重,破坏深度更大。

3 巷道顶板应力分布及破坏分析

为分析非均匀应力对巷道围岩破坏的影响,应用3DEC数值软件分别模拟了受非均匀应力和未受非均匀应力时巷道围岩破坏特征,以直观反映巷道顶板的裂隙扩展和变形破坏。

3.1 模型建立

模型几何尺寸为45 m×1.5 m×70 m,巷道净宽5.2 m,直墙高度1.4 m。模拟埋深400 m围岩赋存环境,上覆岩层压力σz=8.25 MPa,分别施加5或0 MPa的水平应力σxσy代替受非均匀应力和未受非均匀应力影响,围岩采用摩尔-库仑破坏模型。受计算机内存限制,暂不考虑倾向影响,倾向宽度为1.5 m,模型及应力边界条件如图5所示。未受非均匀应力影响时,巷道中心正上方1.5、5.5 m处布置测点A1B1,左右顶角正上方1.5 m布置测点C1D1;受非均匀应力影响时分别记为A2B2C2D2

图5 3DEC模型示意
Fig.5 Sketch of 3DEC model

3.2 非均匀应力场对顶板破坏影响

3.3.1 顶板应力场演化

模拟运算截至30 000步时,统计处理了巷道围岩垂直应力云图如图6所示。

图6 围岩垂直应力分布
Fig.6 Vertical stress distribution of surrounding rock

由图6知,受非均匀应力影响,顶板发生拉破坏且出现冒顶;两帮及顶板深部,发生剪切破坏。在非均匀应力作用下,顶板浅部最大拉应力为9.0 MPa,大于顶板岩层的抗拉强度;深部发生剪切破坏,深度约12.5 m,平均宽度约5 m,呈现细长椭圆形,如图6a所示。当未受非均匀应力影响时,顶板的最大拉应力为2.7 MPa,小于岩层的抗拉强度,未发生破坏;顶板剪切破坏深度约5 m,平均宽度约2.3 m,破坏范围较小,并呈现三角形如图6b所示。对比图6a、图6b可知,在非均匀应力影响下,最大拉应力增大6.3 MPa,增大了233%;顶板破坏深度和平均宽度分别增加7.5和2.7 m,增加了150%和117%。

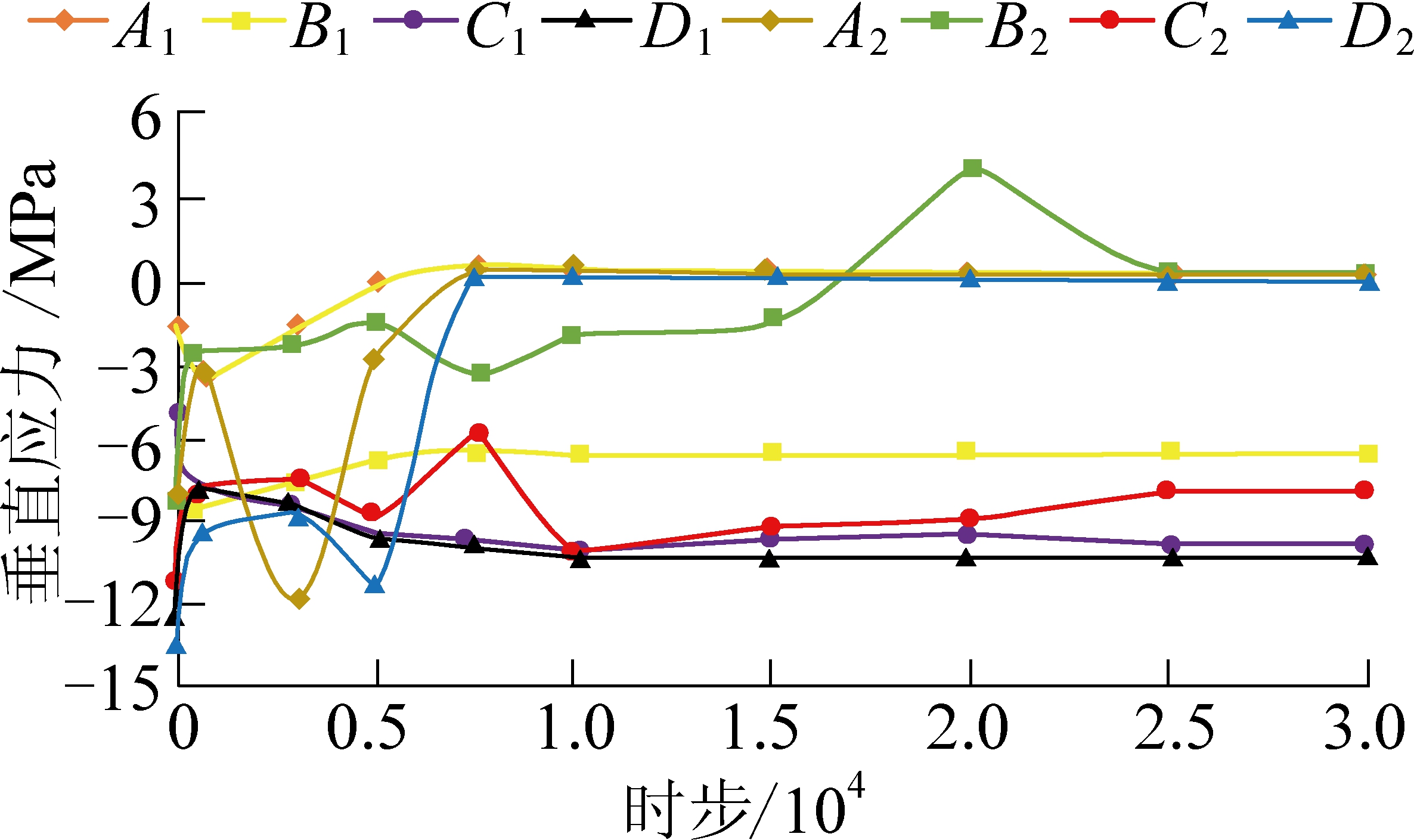
对各测点垂直应力进行统计,并绘制了顶板应力演化规律如图7所示。从图7可知,掘进期间巷道顶板垂直应力变化较大,呈先增大后减小再增大最后逐渐趋于平稳的趋势。受非均匀应力影响,应力变化范围增大,重新达到稳定状态的时间增加。测点A2在5 000步达到拉应力峰值3 MPa,7 500步垂直应力减小至0;测点B2与测点A2变化趋势相同,但A2出现变化较早。未受非均匀应力影响时,测点A1在7 500步达到拉应力峰值0.55 MPa,20 000步垂直应力减小至0;测点B1在7 500步受到6.5 MPa压应力,随后保持平稳。

图7 垂直应力演化规律
Fig.7 Evolution discipline of vertical stress

3.3.2 顶板位移场演化

模拟运算截至30 000步时,提取处理了顶板垂直位移云图,如图8所示;统计绘制了顶板位移演化规律,如图9所示。

图8 垂直位移
Fig.8 Vertical displacement

图9 顶板位移演化规律
Fig.9 Evolution discipline of roof displacement

由图8和图9知,受到非均匀应力影响,巷道顶板垂直位移明显增加,出现非均匀沉降,发生冒顶时间提前。巷道掘进稳定后,受非均匀应力影响,A2B2C2D2垂直位移分别为153.7、71.3、140.0、190.4 cm,C2D2两点位移差最大达65 cm;未受非均匀应力影响,A1B1C1D1垂直位移分别为47.3、5.6、7.4、7.9,C1D1两点垂直位移基本相同。对比可知,受非均匀应力影响,测点垂直位移分别增加2.25、11.73、17.92、23.10倍。当曲线斜率发生较大变化时,可认为该处发生冒顶。截至5 000步时,受非均匀应力影响的A2C2D2点冒顶;截至25 000步,未受非均匀应力影响的A1点冒顶,同时受非均匀应力影响的B2点冒顶。顶板靠近受力一侧下沉量显著增加;水平位移虽有增加但变化不大(图9b)。故非均匀应力打破了巷道顶板的均匀破坏,加剧了顶板破碎,导致顶板出现非均匀大变形,破坏深度增加,表面位移增大,冒顶时间提前,冒顶范围扩大。

4 巷道围岩支护对策

由于回风大巷顶板主要是泥岩和粉砂岩,遇水膨胀,强度降低明显,锚索未能固定在强度较高的岩层中,导致锚索预紧力不足,支护作用无法充分发挥,从而形成了不稳定的围岩支护系统,使原有的锚索网喷支护体系局部失效,形成空洞和网兜碎块,局部甚至发生冒落。由巷道顶板岩层状况可知,加大锚索长度并不能解决支护系统不稳定的问题,建议采用以中空注浆锚杆和高强注浆锚索为核心的深-浅耦合全断面锚注联合支护技术,如图10所示。

图10 深-浅耦合锚注支护方案
Fig.10 Plan of deep-shallow coupled anchor support

联合支护方案中,使用C30标号混凝土喷层加固,先喷层40 mm,初凝后再喷层至设计厚度150 mm。使用8根规格ø20 mm×2 500 mm左旋螺纹钢树脂锚杆锚固,并用4根规格ø28 mm×2 500 mm的中空注浆锚杆和3根规格ø7 mm预应力钢丝和1根ø13 mm中空钢管组成注浆锚索,形成深-浅耦合全断面锚注联合支护。其中,锚注钻孔间距为1.1 m,注浆时间大于200 s,注浆压力随实际工程条件变化。通过增设注浆锚杆,改善顶板内部松散结构,从根本上控制顶板松动圈扩展,从而达到控制顶板冒落的目的。

5 结论

1)应用地质雷达探测得到巷道两帮和顶板的松动圈范围分别为1.70、2.0、1.2 m。受断层产生的非均匀应力影响,顶板和南帮比北帮松动圈范围更大,围岩稳定性差,顶板非均匀下沉。

2)受非均匀应力影响,顶板应力峰值明显增加,最大拉应力增大6.3 MPa,破坏深度和平均宽度分别增加150%和117%。

3)非均匀应力打破了巷道顶板的均匀破坏,靠近断层一侧破坏更严重,垂直位移增加10~20倍,同时失稳冒落的时间提前,冒顶的范围扩大,变形破坏的持续时间增加。

4)结合现场实测数据和数值分析,提出了深-浅耦合锚注联合支护技术,形成深浅锚注互为支撑的承载体,从源头上控制顶板的变形破坏。

参考文献:

[1] 张广超.综放松软窄煤柱沿空巷道顶板不对称破坏机制与调控系统[D].北京:中国矿业大学(北京),2017

[2] 钱鸣高,石平五.矿山压力与岩层控制[M].徐州:中国矿业大学出版社,2010

[3] HOEK E,BROWN E T.Practical estimates of rock mass strength[J].International Journal of Rock Mechanics and Mining Sciences.1997,34:1165-1186.

[4] SHARAN S K.Exact and approximate solutions for displacements around circular openings in elastic-brittle-plastic Hoek-Brown rock[J].International Journal of Rock Mechanics and Mining Sciences,2005,42:542-549.

[5] SHARAN S K.Analytical solutions for stresses and displacements around a circular opening in a generalized Hoek-Brown rock[J].International Journal of Rock Mechanics and Mining Sciences,2008,45(1):78-85.

[6] 俞茂宏,彭一江.强度理论百年总结[J].力学进展, 2004,34(4):529-560.

YU Maohong,PENG Yijiang.Centennial summary of strength theory[J].Advances in Mechanics,2004,34(4):529-560.

[7] 赵志强.大变形回采巷道围岩变形破坏机理与控制方法研究[D].北京:中国矿业大学(北京),2014: 59-61.

[8] REVA V N.Stability criteria of underground workings under zonal disintegration of rocks[J].Journal of Mining Science,2002,38(1):31-34.

[9] 侯朝炯.巷道围岩控制[M].徐州:中国矿业大学出版社,2013:70-77

[10] 谢和平,鞠 杨,黎立云.基于能量耗散与释放原理的岩石强度与整体破坏准则[J].岩石力学与工程学报,2005,24(17):3003-3010.

XIE Heping,JU Yang,LI Liyun.Criteria for strength and structural failure of rocks based on energy dissipation and energy release principles[J].Chinese Journal of Rock Mechanics and Engineering,2005,24(17):3003-3010.

[11] 张广超,何富连.大断面综放沿空巷道顶板非对称破坏机制与控制对策[J].岩石力学与工程学报, 2015,35(4):806-818.

ZHANG Guangchao,HE Fulian.Asymmetric failure and control measures of large cross-section entry roof with strong mining disturbance and fully-mechanized caving mining[J].Chinese Journal of Rock Mechanics and Engineering, 2015,35(4):806-818.

[12] 张明建,郜进海,魏世义,等.倾斜岩层平巷围岩破坏特征的相似模拟试验研究[J].岩石力学与工程学报,2010,29(S1):3259-3264.

ZHANG Mingjian,GAO Jinhai,WEI Shiyi,et al.Similarity simulation study of failure characterictics of surrounding rocks of tiltes strata roadway[J].Chinese Journal of Rock Mechanics and Engineering,2010,29(S1):3259-3264.

[13] 赵启峰,杜 锋,李 强,等.综采工作面沿空掘巷围岩控制技术[J].煤炭科学技术, 2015,43(10):23-28.

ZHAO Qifeng,DU Feng,LI Qiang,et al.Surrounding rock control technology of gateway driven along goaf in fully mechanized coal mining face[J].Coal Science and Technology,2015,43(10):23-28.

[14] 江 贝,李术才,王 琦,等.基于非连续变形分析方法的深部沿空掘巷围岩变形破坏及控制机制对比研究[J].岩土力学,2014,35(8):2353-2360.

JIANG Bei,LI Shucai,WANG Qi,et al.Comparative research on surrounding rock failure deformation and control mechanism in deep roadway driving along goaf based on discontinuous deformation analysis[J].Rock and Soil Mechanics,2014,35(8):2353-2360.

[15] 樊克恭,蒋金泉.弱结构巷道围岩变形破坏与非均称控制机理[J].中国矿业大学学报,2007,36(1):54-59.

FAN Kegong,JIANG Jinquan.Deformation failure and non-harmonious control mechanism of surrounding rocks of roadways with weak structures[J].Journal of China University of Mining and Technology,2007,36(1):54-59.

[16] 何满潮,王晓义,刘文涛,等.孔庄矿深部软岩巷道非对称变形数值模拟与控制对策研究[J].岩石力学与工程学报,2008,27(4):673-678.

HE Manchao,WANG Xiaoyi,LIU Wentao,et al.Numerical simulation on asymmetric deformation of deep soft rock roadway in Kongzhuang Coal Mine[J].Chinese Journal of Rock Mechanics and Engineering,2008,27(4):673-678.

[17] 伍永平,翟 锦,解盘石,等.基于地质雷达探测技术的巷道围岩松动圈测定[J].煤炭科学技术,2013,41(3):32-34,38.

WU Yongping,ZHAI Jin,XIE Panshi,et al.Measurement of loosing circle in surrounding rock of gateway based on technology of geological radar detection[J].Coal Science and Technology,2013,41(3):32-34,38.

[18] 李福胜,张春雷,张 勇.地质雷达探测底板破坏深度的数值模拟研究[J].中国煤炭,2013,39(11):51-54.

LI Fusheng,ZHANG Chunlei,ZHANG Yong.Numerical simulation research on damage depth of floor based on GPR detection[J].China Coal,2013,39(11):51-54.

[19] 郭 亮,李俊才,张志铖,等.地质雷达探测偏压隧道围岩松动圈的研究与应用[J].岩石力学与工程学报,2011,30(S1):3009-3015.

GUO Liang,LI Juncai,ZHANG Zhicheng,et al.Research on surrounding rock loose zone tunnel under unsymmetrical loading with ground penetrating radar and its application [J].Chinese Journal of Rock Mechanics and Engineering,2011,30(S1):3009-3015.

[20] 周 轮,李术才,许振浩,等.隧道施工期超前预报地质雷达异常干扰识别及处理[J].隧道建设,2016,36(12):1517-1522.

ZHOU Lun,LI Shucai,XU Zhenhao,et al.Interpretation and treatment of interfering factors in advance geological prediction by ground penetrating radar of tunnel construction [J].Tunnel Construction,2016,36(12):1517-1522.