对于高产能高瓦斯矿井,回采工作面U型通风方式无法满足生产过程中上隅角或回风巷瓦斯浓度不超限的安全要求,针对U型通风方式下采空区瓦斯涌出量大的难题,回采工作面采用偏Y型通风方式一定程度上解决了上隅角瓦斯浓度超限问题,但采空区通风联络巷内瓦斯极易超限,因此有必要对偏Y型通风方式下采空区通风联络巷瓦斯超限这一安全隐患进行深入研究与治理,采空区通风联络巷瓦斯聚集现象与采空区内瓦斯流场密切相关。由于采空区的灰体特性,利用数值模拟方法进行采空区瓦斯流场研究具有明显优势,数值模拟是现阶段回采工作面采空区瓦斯涌出分析的主要研究手段,文献[1]模拟了近距离煤层采空区瓦斯立体抽采防突措施中抽采钻孔周围的瓦斯流动规律;文献[2]模拟了存在沿空留巷情况下采空区瓦斯运移规律;文献[3]研究了风量对U型工作面采空区瓦斯涌出影响规律;文献[4]对“并列双U”三进两回通风方式下采空区瓦斯分布进行了数值模拟;文献[5]建立了U+I型工作面采空区合理瓦斯抽采量数学模型,模拟了计算采空区漏风量;文献[6]建立了配置尾巷的工作面与采空区数学物理模型,研究尾巷配置对采空区瓦斯流场的影响。
笔者以晋煤集团寺河煤矿5301综采工作面为研究对象,采用数值模拟与现场实测相结合的研究方法,揭示偏Y型通风方式下采空区通风联络巷瓦斯超限机理,并考察研究采空区后部联络巷埋管对采空区通风联络巷瓦斯超限隐患的治理效果,该研究对于揭示偏Y型通风方式下,通过采空区埋管抽采瓦斯的方式,解决上隅角瓦斯积聚及超限的可行性和有效性具有重要的实际意义。
晋煤集团寺河煤矿5301工作面采用一次采全高综合机械化回采工艺,采用全部垮落法管理采空区顶板,工作面采高为6 m,工作面采出率为95%,工作面长度为221.3 m,工作面采用“三进两回”偏Y型通风形式,其中5号巷道、1号巷道和3号巷道为进风巷,2号巷道和4号巷道为回风巷,工作面通风系统如图1所示。
偏Y型通风方式下采空区后方第1个联络巷为通风联络巷,一部分工作面回风流经通风联络巷进入回风巷,该通风联络巷与采空区毗邻,瓦斯极易超限。笔者重点研究通过在采空区后方第2个通风联络巷内埋管抽采采空区瓦斯的方式是否能够治理采空区通风联络巷内的瓦斯超限难题,采空区后部联络巷埋管抽采措施如图1所示。采空区后方埋管瓦斯抽采措施的抽采区域为采空区垮落带,垮落带内瓦斯来源于本煤层回采遗煤和邻近煤层卸压瓦斯,根据《煤矿瓦斯抽采达标暂行规定》中第十五条规定“卸压瓦斯抽采钻孔的孔口负压不得低于5 kPa”,抽采管孔口负压取最大值5 kPa,抽采管路直径为800 mm,考察抽采管孔口负压取极限值条件下,采空区联络巷埋管抽采措施对采空区通风联络巷瓦斯超限的治理效果。

图1 工作面通风系统采空区后部联络巷埋管抽采措施设计示意
Fig.1 Schematic diagram of ventilation system of coal face and drainage design for horizontal buried pipe in gob area
在不影响采空区瓦斯流场条件下,对进风巷进行简化处理,将1号巷道与5号巷道合并为一条进风巷即工作面主进风巷,3号巷道为工作面辅助进风巷,因工作面回风均直接进入2号巷道,因此2号巷道为工作面回风巷,建立了与现场相同尺寸的几何模型,根据联络巷埋管措施的主要抽采作用区域为采空区垮落带,采空区高度取值取决于采空区垮落带高度,采空区垮落带高度通常为工作面采高的3~5倍,计算得到采空区垮落带高度为16~30 m,采空区高度取最大值30 m。采场巷道及采空区几何模型[7]如图2所示。

图2 采场巷道及采空区几何模型
Fig.2 Geometric model of mining roadways and gob
采场巷道及采空区几何模型具体取值如下:

主进风巷高度/m3.8主进风巷宽度/m5.0辅助进风巷高度/m3.8辅助进风巷宽度/m5.0回风巷高度/m3.8回风巷宽度/m5.0工作面高度/m6.0工作面宽度/m5.0联络巷宽度/m3.5联络巷高度/m4联络巷间距/m65工作面长度/m221.3采空区深度/m160采空区高度/m30
2.2.1 采空区遗煤瓦斯放散模型
采空区垮落带内瓦斯主要来源之一为工作面回采遗煤,采空区遗煤瓦斯放散的本质为一定粒度煤体条件下,煤体内部与外界存在瓦斯压力梯度,瓦斯由煤体内部向外界运移扩散的过程[8],采空区遗煤瓦斯放散速率可用式(1)表示。
q(t)=ae-bt
(1)
式中:t为时间,min;a为瓦斯涌出初始强度,m3/min;b为瓦斯涌出衰减系数,min-1。
采空区遗煤形成初始时刻,遗煤距工作面巷道较近且未被压实,周围空气流动通道十分畅通,与自由巷道空间内煤壁瓦斯涌出情况较为接近,可用回采工作面煤壁瓦斯初始涌出速率实测值近似代替采空区遗煤瓦斯涌出初始速率。随着工作面不断向前推进,遗煤逐渐被压实,周围空气流动状态由紊流过渡到层流,与自由巷道空间内煤壁瓦斯涌出情况差异较大。采空区遗煤来源于工作面回采区域煤层,利用采空区遗煤厚度与回采工作面煤体可解吸瓦斯量实测值可求得采空区单位面积区域遗煤可解吸瓦斯量。采空区遗煤可解吸瓦斯量为采空区遗煤在较长一段时间内的累计瓦斯放散量,计算式见式(2),采用迭代法求解式(2)得到采空区遗煤瓦斯涌出衰减系数[9-10]。
(2)
式中:Qt为单位体积回采工作面煤体可解吸瓦斯量,m3/m3;Qh为单位面积采空区的遗煤可解吸瓦斯量,m3/m2;T为解吸时间,取288 000 min(即200 d)。
寺河煤矿5301工作面回采区域的煤可解吸瓦斯量实测值为3.78 m3/t, 5301工作面煤壁瓦斯初始涌出速率实测值为0.003 46 m3/(m2·min),根据工作面采高与采出率计算得到采空区遗煤厚度平均为0.3 m。将上述相关实测参数代入式(2)求解得到采空区遗煤瓦斯涌出衰减系数b。
采空区不同深度位置遗煤瓦斯涌出速率不同,可用式(3)表示,遗煤主要集中于采空区底板附近区域,通过UDF自定义函数DEFINE_SOURCE宏将采空区底板0.3 m高度范围内区域设置为瓦斯涌出源,且按式(3)设置不同位置处瓦斯涌出速率为
qc(y)=ae-by/VX
(3)
式中:y为采空区遗煤位置距工作面的距离,m;VX为工作面平均推进速度,m/min;根据工作面日产量、工作面长度、采高计算得到工作面平均推进速度为11 m/d。
2.2.2 采空区上邻近层瓦斯涌出模型
寺河煤矿5301工作面回采3号煤层,存在上邻近层2号煤层,下邻近层4、5、6、7煤层煤厚均小于0.15 m,忽略不计。2号煤层与3号煤层平均间距为19.28 m,3号煤层平均厚度为0.52 m,假设2号煤层吸附游离瓦斯均匀分布,2号薄煤层瓦斯向3号开采煤层采空区运移,邻近2号薄煤瓦斯涌出量按公式(4)计算,邻近2号薄煤层瓦斯涌出计算中需用5301综采工作面回采期间煤壁瓦斯涌出量参数,5301综采工作面正常生产班期间整个综采工作面煤壁平均瓦斯涌出量计算公式见式(6),邻近2号薄煤层瓦斯涌出量计算结果为5.42 m3/min,通过UDF自定义函数DEFINE_SOURCE宏将采空区邻近层层位区域(距采空区底板19.28~19.80 m高度范围内)设置为瓦斯涌出源。

(4)
(5)

(6)
式中:QH为上邻近层瓦斯涌出量,m3/min;Qb为5301综采工作面煤壁瓦斯涌出量,m3/min;mi为邻近层煤层厚度,m,其中i=2;hi为邻近层煤层间距离,m;ηs为邻近层薄煤层的瓦斯排放程度系数;L为回采工作面长度,m;h为煤层开采厚度,m;S为上邻近2号薄煤层与3号开采煤层的层间距,m;R为5301综采工作面长度,m;q0为5301综采工作面煤壁刚暴露时单位面积煤壁的瓦斯涌出强度,m3/(m2·min);V为5301综采工作面采煤机割煤时期平均牵引速度,m/min,实测值为5.08 m/min;Tc为5301综采工作面正常生产班期间,采煤机完成一次割煤周期所用时间,min,实测值为87 min。
采空区空隙率与渗透率的分布函数,符合“O”形圈规律,分布函数见式(7)、式(8),通过UDF自定义函数DEFINE_PROFILE宏进行设置。
n(x,y,z)=![]()
(7)
(8)
式中:k(x、y、z)为渗透率,m2;n为空隙率,%;DP为采空区垮落岩块平均粒度,mm,平均粒度取250 mm。
2.4.1 控制方程组
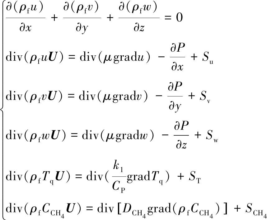
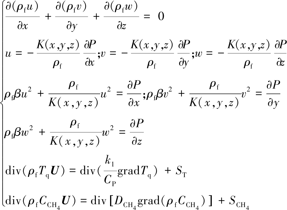
工作面推进速度远小于采场巷道和一定采空区深度范围内的风速,可将工作面向采空区漏风问题视为一个稳态问题,体现在控制方程中忽略瞬态项。采场巷道内空气流动过程中的质量传递、动量传递能量传递用N-S方程组求解,见式(9)。采空区为多孔介质模型,采空区不同区域的气流雷诺数存在明显差异,重新压实区内风流满足达西定律,自由堆积区内风流满足幂定律[11],见式(10)。

(9)

(10)
式中:ρf为风流密度,kg/m3;u为采空区某一位置x方向风速,m/s;v为采空区某一位置y方向风速,m/s;w为采空区某一位置z方向风速,m/s;U为采空区某一位置风速矢量,m/s;μ为空气动力黏度,取值为17.9×10-6 Pa·s;P为气体压力,Pa;Su为x方向的动量源项,kg·m/(m3·s);Sv为y方向的动量源项,kg·m/(m3·s);Sw为z方向的动量源项,kg·m/(m3·s);Tq为气体温度,K;k1为空气传热系数,取值为0.023 W/(m·K);CP为空气比热容,J/(kg·℃);ST为黏性耗散项,J/(m3·s);CCH4为瓦斯体积分数,%;DCH4为扩散系数,m2/s;SCH4为瓦斯源项,m3/ (m3·s);K(x,y,z)为采空区某一位置透气性系数,m2/(MPa2·d);β为非达西渗透因子,m-1。
2.4.2 解算边界条件
边界条件设置如下:

巷道壁面/底板/顶板wall工作面进风巷入口Velocity-inlet工作面回风巷出口Pressure-out工作面与采空区交界面interior采空区排瓦斯巷出口Pressure-out采空区与煤柱交界面/底部/顶部wall工作面与采空区交界面interior采空区与排瓦斯巷交界面interior
图3为工作面配风量为2 700 m3/min时的采空区风流场分布模拟结果,由图3可得:
1)采空区低压区域由工作面上隅角区域转移至采空区通风联络巷处,采空区通风联络巷附近采空区漏风风速较大。
2)采空区后方第2个联络巷采取埋管抽采措施时将采空区低压区域转移至采空区更深处,远离采空区通风联络巷与沿空留巷,通风联络巷附近采空区漏风风速明显减小。

图3 工作面配风量2 700 m3/min时风流场分布模拟结果
Fig.3 Simulation results of wind flow field distribution at working face with air volume of 2 700 m3/min
图4为工作面配风量为2 700 m3/min时采空区瓦斯分布模拟结果,由图4可得:
1)由于大部分采空区漏风由沿空留巷与采空区通风联络巷返回采场巷道,沿空留巷与采空区通风联络巷附近采空区区域瓦斯发生聚集,采空区回风联络巷最高瓦斯体积分数超过2%。
2)采空区后方第2个联络巷处采取埋管抽采瓦斯措施时,大量的瓦斯向抽采管处汇聚,工作面附近采空区形成低瓦斯区域隔离带,采空区回风联络巷与沿空留巷内瓦斯体积分数明显降低至1%以下。
对不同工作面配风量条件下采空区瓦斯涌出进行模拟研究,以工作面配风量为自变量,利用数据分析软件经非线性拟合得到上隅角瓦斯浓度公式。未采取采空区埋管抽采措施条件下上隅角瓦斯浓度随工作面配风量变化的计算公式见式(11),上隅角瓦斯体积分数明显低于1%(图5),说明偏Y型通风方式下能够很好地解决上隅角瓦斯超限难题。采空区第2个联络巷处埋管抽采瓦斯措施条件下上隅角瓦斯浓度计算公式见式(12),说明采取埋管抽采瓦斯措施后,上隅角瓦斯浓度明显低于未采取埋管抽采措施条件。

图4 工作面配风量2 700 m3/min时瓦斯分布模拟结果
Fig.4 Simulation results of gas distribution at working face with air volume of 2 700 m3/min

图5 上隅角瓦斯体积分数随工作面配风量的变化曲线
Fig.5 Gas concentration in the upper corner with different air quantity of intake airway
CUC=6×10-8Q2-3.04×10-4Q+0.787
(11)
CUC=3.6×10-8Q2-1.82×10-4Q+0.472
(12)
式中:CUC为上隅角瓦斯体积分数,%;Q为工作面配风量,m3/min。
对不同工作面配风量条件下采空区瓦斯涌出进行模拟研究,以工作面配风量为自变量,利用数据分析软件经非线性拟合得到采空区通风联络巷平均瓦斯浓度计算公式,如图6所示,拟合精度达到0.98以上。未采取采空区埋管抽采措施条件下,上隅角瓦斯浓度计算公式见式(13),未采取采空区埋管抽采措施时,采空区通风联络巷瓦斯严重超限,甚至达到瓦斯爆炸极限范围。采空区埋管抽采措施条件下上隅角瓦斯浓度计算公式见式(14),当工作面配风量达到2 700 m3/min时,采空区通风联络巷瓦斯体积分数降低至1%以下,说明采取采空区埋管抽采瓦斯措施后,保证工作面配风量,采空区通风联络巷巷道瓦斯浓度会降至安全界限以下。

图6 通风联络巷内瓦斯体积分数随工作面配风量变化
Fig.6 Change of gas volume fraction in ventilation connecting roadway with air quantity in working face
CCR=10.04e-0.000 485Q
(13)
CCR=4.758e-0.000 59Q
(14)
式中:CCR为采空区通风联络巷瓦斯体积分数,%。
对寺河煤矿5301工作面各进风巷风量、上隅角处瓦斯浓度、采空区通风联络巷巷道平均瓦斯浓度进行实测,实测结果见表3,将实测风量代入式(11)、式(13),计算结果见表1,计算结果与实测结果之间误差在5%以内,研究结果表明,采空区瓦斯涌出数值模拟结果能够准确反映现场采空区瓦斯涌出实际情况,通过数值模拟结果推导而来的采空区瓦斯涌出预测公式能够对采空区瓦斯涌出量进行现场预测[12-14]。
将工作面各进风巷实测风量代入式(12)、式(14),计算得到采取采空区联络巷埋管抽采措施时上隅角瓦斯体积分数能够由0.47%降低至0.24%,通风联络巷瓦斯体积分数由3.23%降低至0.94%,研究结果表明:采用采空区埋管抽采瓦斯措施能够有效解决偏Y型通风方式下采空区通风联络巷瓦斯超限难题[15-16]。
表1 5301工作面瓦斯浓度实测数据与计算结果对比
Table 1 Comparison of measured data and calculationresults of gas concentration in No.5301 coal face

名称实测值计算结果相对误差1号进风巷实测风量/(m3·min-1)947——5号进风巷实测风量/(m3·min-1)843——3号进风巷实测风量/(m3·min-1)875——上隅角瓦斯体积分数/%0.470.494.20采空区通风联络巷瓦斯体积分数/%3.233.312.80
1)根据数值模拟结果可得偏Y型通风方式下采空区低压区域由上隅角区域转移至采空区通风联络巷处,造成瓦斯聚集,采空区后方第2个联络巷采取埋管抽采瓦斯措施后,可大幅度地降低沿空留巷与后联络巷附近采空区区域的瓦斯浓度。
2)根据数值模拟结果推导出采空区通风联络巷瓦斯浓度计算公式与上隅角瓦斯浓度计算公式,采空区通风联络巷瓦斯浓度随工作面配风量增大以负指数形式减小,上隅角瓦斯浓度随工作面配风量增大以二次抛物线形式减小。
3)通过现场实测结果与计算结果对比,验证了采空区通风联络巷与上隅角瓦斯浓度计算公式能准确预测上隅角及通风联络巷瓦斯浓度,在此基础上计算预测得到采取采空区联络巷埋管抽采措施后,采空区通风联络巷瓦斯体积分数由3.23%降低至0.94%,在保证工作面足够配风量条件下,采用采空区后部联络巷埋管抽采瓦斯措施,能够有效解决偏Y型通风方式下的采空区通风联络巷瓦斯超限难题。
[1] 汪东生.近距离煤层群立体抽采瓦斯流动规律的模拟[J].煤炭学报,2011,36(1):86-90.
WANG Dongsheng.Simulation of gas flow rule at three-dimensitional drainage under close-distance seam group mining[J].Journal of China Coal Society,2011,36(1):86-90.
[2] 陶占宇.留巷段漏风对采空区瓦斯运移规律影响的数值模拟研究[J].煤炭工程,2014,46(11):102-105.
TAO Zhanyu.Numerical simulation on goaf gas migration law affected by air leakage in retained entry[J].Coal Engineering,2014,46(11):102-105.
[3] 裴桂红,冷 静,刘玉学,等.采空区漏风及残煤瓦斯浦出对采场气流的影响[J].西南石油大学学报:自然科学版,2015,37(3):160-167.
PEI Guihong,LENG Jing,LIU Yuxue,et al.Effect of gob air leakage and residual methane emission on mining stope flow field[J].Journal of Southwest Petroleum University:Science & Technology Edition,2015,37(3):160-167.
[4] 雷 云,周明磊,王海东,等.三进两回通风系统采空区瓦斯运移规律及其治理研究[J].中国煤炭,2012,38(10):101-104.
LEI Yun,ZHOU Minglei,WANG Haidong,et al.Research on gas migration law in gob with three-intake-two-return ventilation system and its control[J].China Coal,2012,38(10):101-104.
[5] 褚廷湘,余明高,姜德义,等.U+I型采煤工作面采空区瓦斯抽采量理论研究 [J].中国矿业大学学报,2015,44(6):1008-1016.
CHU Tingxiang,YU Minggao,JIANG Deyi,et al.Theory of gas extraction amount in the gob of “U+I” type panel[J].Journal of China University of Mining & Technology,2015,44(6):1008-1016.
[6] 王 凯,蒋曙光,张卫清,等.尾巷改变采空区瓦斯流场的数值模拟研究[J].采矿与安全工程学报,2012,29(1):124-130.
WANG Kai,JIANG Shuguang,ZHANG Weiqing,et al.Numerical simulation of tail roadway change to gas flow field in goaf[J].Journal of Mining & Safety Engineering,2012,29(1):124-130.
[7] 秦跃平,刘 伟.基于非达西渗流的采空区自然发火数值模拟[J].煤炭学报,2012,37(7):1177-1183.
QIN Yueping,LIU Wei.Numerical simulation of impact of non-Darcy seepage on spontaneous combustion in goaf[J].Journal of China Coal Society,2012,37(7):1177-1183.
[8] 刘彦青,张 浪,李 伟,等.移动坐标下采空区流场及遗煤瓦斯浓度场分布[J].辽宁工程技术大学学报:自然科学版,2017,36(3):243-248.
LIU Yanqing,ZHANG Lang,LI Wei,et al.Air-flowing field and gas-concentration field of the coal left in goaf based on the moving coordinate[J].Journal of Liaoning Technical University:Natural Science,2017,36(3):243-248.
[9] 李彦明.基于高位定向长钻孔的上隅角瓦斯治理研究[J].煤炭科学技术,2018,46(1):215-218.
LI Yanming.Upper corner gas control based on high level directional long borehole[J].Coal Science and Technology,2018,46(1):215-218.
[10] 杨天鸿,陈仕阔,朱万成,等,采空垮落区瓦斯非线性渗流—扩散模型及其求解[J].煤炭学报,2009,34(6):771-777.
YANG Tianhong,CHEN Shikuo,ZHU Wancheng,et al,Numerical model of nonlinear flow-diffusion for gas mitigation in goaf and atmosphere[J].Journal of China Coal Society,2009,34(6):771-777.
[11] 高玉坤,肖善林,闫建浩,等.平山煤矿采空区高位钻孔瓦斯抽放数值模拟[J].煤矿安全,2017,48(4):160-163.
GAO Yukun,XIAO Shanlin,YAN Jianhao,et al.Numerical simulation on goaf gas drainage of high-level borehole in pingshan coal mine[J].Safety in Coal Mines,2017,48(4):160-163.
[12] 李俊贤,邢玉忠,王进尚.U + L + 高位钻孔组方式下采空区漏风和瓦斯运移规律相似模拟[J].煤矿安全,2013,44(5):7-10.
LI Junxian,XING Yuzhong,WANG Jinshang.Similar simulation on air leakage in goaf and gas migration law under the type of U+L+ high level borehole group[J].Safety in Coal Mines,2013,44(5):7-10.
[13] 孙荣军,李泉新,方 俊,等.采空区瓦斯抽采高位钻孔施工技术及发展趋势[J].煤炭科学技术,2017,5(1):94-100.
SUN Rongjun,LI Quanxin,FANG Jun,et al.Construction technology and development tendency of high level borehole for gas drainage in goaf[J].Coal Science and Technology,2017,45(1):94-99,213.
[14] 李春元,张 勇,李 佳,等.采空区瓦斯宏观流动通道的高位钻孔抽采技术[J].采矿与安全工程学报,2017,34 (2):391-397.
LI Chunyuan,ZHANG Yong,LI Jia,et al.Highly-located boreholes drainage technology of gas macroscopic flow channel in goaf[J].Journal of Mining & Safety Engineering,2017,34 (2):391-397.
[15] 徐永佳.高瓦斯矿井高抽巷合理布置及终巷位置确定研究[J].煤炭科学技术,2018,46(11):93-100.
XU Yongjia.Study on reasonable arrangemennt of upper level drainage-way and determination of final roadway position in high gassy mine[J].Coal Science and Technology,2018,46(11):93-100.
[16] 郝光生,陈 宾,申 凯.采空区顶板高位定向钻孔差异化布置与抽采效果分析[J].煤炭科学技术,2018,46(8):101-106.
HAO Guangsheng,CHEN Bin,SHEN Kai.Analysis on differential layout and gas drainage effect of high position directional borehole in roof of goaf[J].Coal Science and Technology,2018,46(8):101-106.

移动扫码阅读