随着煤炭、石油等不可再生能源的日益减少,砂岩气作为一种非常规天然气具有广阔的开发前景。砂岩在常温下比较致密,探究温度和应力对砂岩渗流的影响规律可以实现砂岩气的高产高效开发。
国内外学者对岩石渗透率研究如火如荼,SOMERTON等[1]等砂岩岩心加热到400~800 ℃,发现岩样渗透率至少增加了50%;HEARD等[2]在不同围压下将石英二长石加热到 300 ℃,渗透率增加了数倍,相同条件下渗透率随着围压的增大而减小;陈颙等[3]发现碳酸岩的渗透率在110~120 ℃的阈值温度之后,渗透率会增加近10倍;陈占清等[4]指出岩石的渗透率具有十分明显的离散性,同一岩心所取的试件渗透率可能会相差2~3个数量级;刘均荣等[5]发现储层粉砂岩、灰岩、变质岩和砾岩4种岩石的渗透率随温度的升高而有增大,不同岩石的渗透率发生突变时阈值温度也不同;梁冰等[6]从理论上证明了岩石渗透率的温度门槛值的存在,得出岩石渗透率和温度之间的数学关系式;高红梅等[7]研究表明岩石在温度相对较低时,温度对渗透率影响不大,压力和渗透率呈指数变化;在门槛值温度附近渗透率发生剧变,此时温度起决定作用;左建平等[8]试验证明:砂岩在150~300 ℃发生大量的热开裂,150 ℃之前几乎不发生热破裂。由于当时试验的复杂性和设备的不完善,在研究岩石在高温下的渗透率时,多是把试样进行高温处理再冷却至室温测量,无法实时体现其在高温状态下的渗透率。随着赵阳升等[9]对高温高压试验机的研制成功,国内在岩石渗透率的领域有了新的突破,更加真实地模拟出地底岩石的高温状态,并且可以在线测量计算计算岩石的渗透率。张渊等[10-11]发现长石细砂岩渗透率存在门槛值温度,渗透率在阈值温度附近大幅度增加,在门槛值温度区域也具有孔隙压力门槛值。温度门槛值和孔隙压力门槛值具有相关性;赵阳升等[12]对花岗岩和砂岩在高温下进行了渗透率的测量和声发射的试验,发现2种岩石都存在一个清晰的热破裂门槛值,热破裂在常温到600 ℃存在2个以上峰值区间,既不是单调增,也不是单调减,渗透率也有同样规律;冯子军等[13]发现鲁灰花岗岩的渗透率300 ℃发生突变。尹光志等[14]发现常温下3个主应力σ1、σ2和σ3的升高,都会导致砂岩渗透率降低,但仍处于同一数量级,且σ3的影响最大,σ1影响最小。蒋长宝等[15]指出中间主应力对页岩渗透率的影响在σ2垂直于层理面时影响最大, 但其垂直或是平行层理都对渗透率有抑制作用。
综上所述,前人所做的岩石渗透率研究多是在常温或是假三轴应力状态下,无法准确模拟出地底岩石高温高压条件。笔者利用太原理工大学自主研发的高温真三轴试验机,更加精准的模拟岩石复杂的温度和三维应力的耦合条件,从而有效地探究出温度和应力条件对岩石渗透率的影响机理。
本试验采用试样为砂岩,现场取样为52 mm×52 mm×102 mm,通过岩石表面磨平机打磨成50 mm×50 mm×100 mm的标准立方体试件。试样加工要求如下:①两端面平行度≤0.002 mm;②垂直度≤0.01 mm;③表面平整度≤±0.1 mm。选取加工达到精度并且外观无明显裂隙的6块砂岩样品,编号1、2、3、4、5、6号作为试验样品。将所选的6块试件四周表面均匀涂抹高温密封胶放置到特制的铜套中(图1),可保证气体不会从岩石和铜套之间的缝隙中泄漏造成试验结果的偏差。另外从剩余试件中随机选取3块岩石作为应力测试的试件。

图1 砂岩试件及铜套
Fig.1 Sandstone specimen and copper sleeve
本试验仪器采用太原理工大学自主研制的高温真三轴试验机(图2)。该试验机温控系统通过热电偶加热,温度可以达到400 ℃,并且温度敏感性高,误差最小到0.1 ℃,可以精确地实现升温,控温等过程。主机加载系统可以精确到1 MPa,满足试验过程中三向应力的精度要求。

图2 高温真三轴试验机
Fig.2 High temperature true three axis test machine
为确保试验中岩石所施加的应力不会对岩石产生破坏而产生内部裂纹导致渗透率的变化,在试验前随机取3块砂岩样品打磨成标准尺寸进行单轴抗压试验,试验结果得:1号样78.4 MPa、2号样83.2 MPa、3号样85.6 MPa。由随机所选的砂岩试件样本所测得的单轴抗压强度可知,在无围压的条件下,试验所用砂岩的单轴抗压强度都大于75 MPa。
将组装好的试件、铜套和铜套架放入试验机的压力腔中,先后分别施加轴压σ1 、水平压力σ2和围压σ3。岩石的渗透率也受其所处应力状态的影响,由于地质条件或是工程扰动的影响,岩石在自然条件下多处于真三轴应力状态下,所以施加三向不等压力来探究其渗透规律更具有实际意义。试验中轴压施加最大主应力σ1和气体的渗透方向平行,本试验中研究最大主应力的变化对渗透率的变化有何影响。6块试件的应力状态见表1。

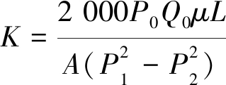
渗透气体为氮气,气源通过高精度减压阀控制压力,渗透压力为1.4 MPa。待试件压力稳定12 h后开始加热,压力腔的高温导热油保证砂岩试件的均匀受热,100 ℃为起始测定温度点,每隔30 ℃为一个温度点,到达设定的温度点后,保温保压2 h。出气口气体通过排水法进行收集、测量,通过达西定律计算渗透率,即
(1)
式中:K为试验岩样的渗透率,μm2;P0为标准大气压,MPa;Q0为流过试件流体的流速,cm3/s;μ为渗流气体的动力黏度,MPa·s;L为试件长度,cm;A为流体流过试件的横截面积,cm2;P1为进口处气体绝对压力,MPa;P2为出口处气体绝对压力,MPa。
由于试验过程中密封复杂,2号试件密封失败,无法正常测出其渗透气体的出气量。剩余5块试件的渗透率如图3所示。试验结果验证了砂岩渗透率在100~400 ℃呈现3个阶段。

图3 砂岩渗透率
Fig.3 Permeability of sandstones
1)缓慢下降阶段,在100~280 ℃,砂岩的渗透率有小幅度的减小,但是都保持在较低数量级(10-16~10-17 m2)。因为砂岩内部矿物热膨胀系数的差异,矿物颗粒之间会产生局部热应力,当热应力超过晶粒交界处的胶结物强度时,就会导致试件内部的破坏而产生裂隙为气体的渗透提供通道。同时由于温度的升高,砂岩内部的晶体颗粒会膨胀从而挤压岩石自身的孔隙、裂隙使得气体的流通通道变少导致渗透率的降低。280 ℃之前渗透率呈现出的小幅度减小表明了此时由于热应力产生的裂隙尺度较小,由于试件侧向压力的限制未能张开,且大部分裂缝都是独立的,还未全面连续贯通,使得渗透气体未能从此通过,温度升高导致的矿物晶体膨胀减小了原生孔隙裂隙对渗透率的影响更为显著。
2)急剧上升阶段,在280~340 ℃岩石的渗透率数量级由10-16~10-17m2跃升到10-15 m2,升高了数倍至数十倍。这表明了此时热破裂集中产生,小裂纹发育、传播、贯通,逐渐产生大尺度的裂纹,为气体在裂纹中的输送提供了1个良好的通道。砂岩渗透率的温度阈值为280 ℃左右。
3)逐渐平稳阶段,340 ℃之后砂岩的渗透率稳定在10-15 m2,变化幅度较小。表明此时热破裂很微弱,大尺度裂纹的数量平衡,气体的渗透通道趋于稳定,岩石内部能量聚集,为下一次的大规模热破裂做准备。
在本试验中,砂岩处于真三轴应力状态,最大主应力的大小变化同样对砂岩渗透率的变化有较大影响。由试验结果可知,试件在50 MPa轴压的条件下,较之280 ℃的渗透率,310 ℃和340 ℃的渗透率约有9倍和28倍的增大。而在60 MPa的条件下,则平均约有14和45倍的增大。在75 MPa的试验条件下,有了40倍和60倍的增大。结果证明,试件的最大主应力σ1大小影响了在最大主应力方向上岩石阈值温度前后的渗透率增幅。σ1越大,砂岩在阈值温度前后的渗透率增幅越大。
砂岩是一种沉积岩,主要是由沙粒胶结而成的。砂岩在轴压σ1会产生轴向应变和横向应变,在侧向压力σ2和σ3相同的条件下,轴压σ1越大,砂岩的横向应变越大,导致试件水平方向上的沙粒胶结强度会降低,在热应力的作用下,强度低的胶结处会优先破裂而形成纵向裂纹。纵向条纹的产生、发育、贯通为气体提供了渗透通道。这表明了试件轴压σ1增大促进了纵向条纹的产生,因此在阈值温度280 ℃轴压大的5号样、6号样较之1、3、4号样渗透率增幅高出数10倍。
表2 渗透率较之280 ℃增幅
Table 2 Increasing ratio of permeability comparison to
280 degrees centigrade

试件不同温度下增幅/%310 ℃340 ℃1号9.4828.003号18.6940.014号10.7749.245号46.4847.856号34.5875.31
由试验结果可以知道,砂岩的渗透率在280 ℃测定点开始突变,增幅最小的1号样试件到310 ℃增大了9.48倍。所以试验中得出砂岩渗透率的温度阈值在280 ℃。但是由于试验中温度传感器测定的温度和试件的温度不可避免的温度差值,还有试验温度测定点步距过大(30 ℃),会造成结果的偏差,所以实际渗透率的温度阈值应在250~280 ℃的区间内。
1)在真三轴应力状态下,砂岩的渗透率在100~400 ℃的演化规律可分为3个阶段:100~280 ℃缓慢下降阶段、280~340 ℃急剧上升阶段和340 ~400 ℃趋于平稳阶段。
2)砂岩渗透率的变化阈值温度在280 ℃左右。在此温度前后渗透率有十倍至数十倍的增幅。
3)最大主应力σ1的大小影响着其方向上的阈值温度前后渗透率增幅。σ1越大,在σ1方向上阈值温度前后渗透率增幅越大。
[1] SOMERTON W H,GUPTA V S.Role of fluxing agents in thermal alteration of sandstone[J].Journal of Petroleum Technology,1965,17(5):585-588.
[2] HEARD H C.Thermal expansion and inferred permeability of climax quarts monzonite to 300℃ and 27.6 MPa[J].International Journal of Rock Mechanics and Mining Sciences and Geomechanics Abstracts,1980,17(5):289-296.
[3] 陈 颙,吴晓东,张福勤.岩石热开裂的试验研究[J].科学通报,1999,40(8):880-883.
CHEN Yu, WU Xiaodong, ZHANG Fuqin.Experimental study on thermal cracking of rock[J].Chinese Science Bulletin,1999,40(8):880-883.
[4] 陈占清,缪协兴.影响岩石渗透率的因素分析[J].矿山压力与顶板管理,2001,17(2):83-84.
CHEN Zhanqing, LIAO Xiexing.Analysis of factors affecting rock permeability[J].Ground Pressure and Strata Control,2001,17(2):83-84.
[5] 刘均荣,秦积舜,吴晓东.温度对岩石渗透率影响的试验研究[J].石油大学学报:自然科学版,2001,25(4):51-53.
LIU Junrong, QIN Jishun, WU Xiaodong.Experimental study on the effect of temperature on rock permeability[J].Journal of China University of Petroleum: Edition of Natural Sciences, 2001,25(4):51-53.
[6] 梁 冰,高红梅,兰永伟.岩石渗透率与温度关系的理论分析和试验研究[J].岩石力学与工程学报,2005,24(12):2009-2012.
LIANG Bing, GAO Hongmei, LAN Yongwei.Theoretical analysis and experimental study on the relationship between rock permeability and temperature[J].Chinese Journal of Rock Mechanics and Engineering,2005,24(12):2009-2012.
[7] 高红梅,梁学彬,兰永伟,等.热应力作用下缺陷花岗岩的渗流规律[J].黑龙江科技大学学报,2016,26(6):691-694.
GAO Hongmei, LIANG Xuebin, LAN Yongwei,et al.Percolation law of defective granite under thermal stress[J].Journal of Heilongjiang University of Science and Technology,2016,26(6):691-694.
[8] 左建平,谢和平,周宏伟,等.不同温度作用下砂岩热开裂的试验研究[J].地球物理学报,2007, 50(4):1150-1155.
ZUO Jianping, XIE Heping, ZHOU Hongwei,et al.Experimental study on thermal cracking of sandstone under different temperatures[J].Chinese Journal of Geophysics,2007,50(4):1150-1155.
[9] 赵阳升,万志军,张 渊,等.20MN伺服控制高温高压岩体三轴试验机的研制[J].岩石力学与工程学报,2008,27(1):1-8.
ZHAO Yangsheng, WAN Zhijun, ZHANG Yuan,et al.Research and development of 20 MN servo-controlled rock triaxial testing system with high temperature and high pressure [J].Chinese Journal of Rock Mechanics and Engineering,2008,27(1):1-8.
[10] 张 渊,赵阳升,万志军,等.不同温度条件下孔隙压力对长石细砂岩渗透率影响试验研究[J].岩石力学与工程学报,2008,27(1):53-58.
ZHANG Yuan, ZHAO Yangsheng, WAN Zhijun,et al.Experimental study on effect of pore pressure on feldspar fine sandstone permeability under different temperature conditions[J].Chinese Journal of Rock Mechanics and Engineering, ,2008,27(1):53-58.
[11] 张 渊,万志军,康建荣,等.三轴应力条件下砂岩渗透率阶段特征分析[J].岩土力学,2011,32(3):677-683.
ZHANG Yuan, WAN Zhijun, KANG Jianrong,et al.Analysis of stage characteristics of sandstone permeability under conditions of temperature and triaxial stress[J].Rock and Soil Mechanics,2011,32(3):677-683.
[12] 赵阳升,万志军,张 渊,等.岩石热破裂与渗透性相关规律的试验研究[J].岩石力学与工程学报,2010,29(10):1970-1976.
ZHAO Yangsheng, WAN Zhijun, ZHANG Yuan,et al.Experimental study on correlation between thermal cracking and permeability of rock[J].Chinese Journal of Rock Mechanics and Engineering,2010,29(10): 1970-1976.
[13] 冯子军,赵阳升,张 渊,等.热破裂花岗岩渗透率变化的临界温度[J].煤炭学报,2014,39(10): 1987-1992.
FENG Zijun, ZHAO Yangsheng, ZHANG Yuan,et al.The critical temperature of the permeability change of the thermal ruptured granite[J].Journal of China Coal Society,2014,39(10): 1987-1992.
[14] 尹光志,李文璞,许 江,等.多场多相耦合下多孔介质压裂-渗流试验系统的研制与应用[J].岩石力学与工程学报,2016,35(S1):2853-2861.
YIN Guangzhi, LI Wenpu, XU Jiang,et al.Development and application of porous medium fracturing seepage test system under multi field and multiphase coupling[J].Chinese Journal of Rock Mechanics and Engineering, 2016,35(S1):2853-2861.
[15] 蒋长宝,陈昱霏,尹光志,等.中间主应力与层理方向对页岩力学和渗透特性影响的试验研究[J].岩石力学与工程学报,2017,36(7):1570-1578.
JIANG Changbao, CHEN Yufei, YIN Guangzhi,et al.Experimental study on influence of intermediate principal stress and bedding direction on mechanical and permeability characteristics of shale[J].Chinese Journal of Rock Mechanics and Engineering ,2017,36(7):1570-1578.
[16] 蔡婷婷,赵 东,冯增朝.基于单层吸附理论不同温度下煤层气等温吸附特性[J].煤炭科学技术,2017,45(7):144-149.
CAI Tingting,ZHAO Dong,FENG Zengchao.Isothermal adsorption characteristics of coalbed methane under different temperatures based on monolayer adsorption theory[J].Coal Science and Technology,2017,45(7):144-149.
[17] 王 乔,赵 东,冯增朝,等.基于CT 扫描的煤岩钻孔注液氮致裂试验研究[J].煤炭科学技术,2017,45(4):149-154.
WANG Qiao,ZHAO Dong,FENG Zengchao,et al.Experimental study on fracturing of coal by injection liquid nitrogen in drill based on CT scanning[J].Coal Science and Technology, 2017,45(4):149-154.

移动扫码阅读