煤炭是我国的主要能源之一,随着近年来环境污染的不断加剧,国家十分重视且积极倡导煤炭资源的清洁使用[1-2]。实现煤与矸石的井下分选,不仅能提高原煤的质量,降低运输成本,还可以为地下采空区提供填充材料,实现真正的地下绿色采矿[3-4]。现阶段,煤与矸石的分选方法主要有人工排矸、跳汰选煤、浮游选煤、选择性破碎、重介质选煤以及γ射线探测识别选煤等,但这些方法普遍存在识别精度低、占地空间大、投资成本高、环境污染严重等问题[5]。
近年来,国内外专家学者对煤矸石的自动分选进行了大量的研究。吴开兴等[6]利用灰度共生矩阵中的角二阶矩、相关性、对比度和熵作为描述煤矸石纹理特征的参数,再用SVM进行自动识别。潘越等[7]使用X射线对探测的煤矸石进行成像,通过MATLAB计算出图像灰度值,设定阈值进行分选。杨慧刚等[8]提出一种机器视觉与X射线相结合的煤矸石分选系统,利用机器视觉技术得到煤矸石的厚度信息,然后处理煤矸石X射线图像得到灰度信息,综合二者确立分离阈值,进行分选。这些研究主要涉及煤矸石图像的单一特征以及在此基础上对其进行改进的方法,而对煤矸石的多特征融合分选则分析较少,且井下工况复杂,使用CCD相机不利于煤矸石图像的采集。因此通过X射线探测技术采集煤矸石的图像,综合研究了煤矸石的灰度与纹理特征,提出一种多特征融合的基于粒子群算法优化的法平面型隶属度函数模糊支持向量机(PSO-NP-FSVM)煤矸石分选方法。提取煤矸石特征向量后,采用交叉验证法进行试验,通过对比试验结果可知,改进后的分选模型在分选精度和稳定性等方面均优于传统的分选模型,从而验证了文中分选方法的可行性和优越性。
X射线探测识别煤矸石技术是一种不用水、不用介、也不产生煤泥的选煤方法,分选精度接近于重介浅槽分选机,高于动筛、跳汰及其他干选设备,更有利于实现井下煤矸石的分选,为绿色矿山建设提供了有效的技术方案[9]。
X射线透射物体后的衰减公式为
I=I0exp(-λd)
(1)
式中:I0、I分别为X射线透过物体前后的强度;λ为衰减系数;d为被透射物体的厚度。
由式(1)可知,当X射线穿透物质时,其透射程度与物质所属的类别和厚度d相关联,当X射线穿过同等厚度的不同物质时,会呈现出不同的X射线图像[10]。本文所研究的煤矸石分选中,矸石密度会明显高于煤块密度,因此透射矸石时,X射线被吸收得较多,得到的X射线图像较暗,穿过煤块时则相反。
当煤矸石厚度不同时,虽然煤块和矸石的结构组成存在明显的差异,但在实际的选煤过程中,块煤和矸石的大小不一,由于厚度的影响可能出现X射线图像灰度值存在部分相等和交叉的现象,使得煤矸石的正确识别率变低[11]。仅依靠煤矸石的X射线图像灰度值差异进行识别对煤矸石的块度要求较高,纹理是由基本单元周期性或随机重复而产生的特殊图案,它具有微观无规则性而宏观上有规律性的特点[12],因此,还应综合考虑其纹理特征的差异。
X射线探测煤矸石分选系统主要由振动给料机构、输送机构、成像分析源、计算机智能识别控制机构、辐射源控制机构、物料分离执行机构等组成。X射线探测识别煤矸石分选系统原理如图1所示。

1—原煤入口;2—排队机构;3—X射线发生器;4—除尘装置;5—矸石输送带;6—精煤输送带;7—高压气阀喷嘴;8—X射线探测器;9—计算机;10—输送带;11—振动分级筛
图1 X射线探测煤矸石分选系统原理
Fig.1 Principle of X-ray detection system for coal and
gangue separation
分选系统的整个工作流程为:原煤首先经过运煤输送机传送到振动分级筛进行筛分,按照粒度大小进行分级,然后煤矸石混合物运输到输送带上,通过排队机构控制煤矸石的对中以及彼此之间的距离间隔[11],确保煤矸石依次排列穿过X射线成像区域,将采集到的X射线图像进行处理后,经智能算法运算分析后得出分选阈值。当系统终端判断为矸石时,则对PLC发出控制信号,高压气阀喷嘴动作,使高压气流击中正在下落的矸石,令其偏离原来的运动轨迹,落入矸石输送带进行输送;若系统终端判定为煤时,则不会发出动作信号,块煤自由抛落至精煤输送带区域。
分选系统受光照及粉尘的影响较小,噪声的主要来源是探测器接收X射线时,因成像过程中短暂的停滞而产生的脉冲噪声[13]。为了更好地提取煤矸石特征量,将采集到的X射线图像进行中值滤波处理。
2.2.1 灰度特征
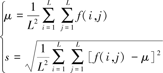
灰度均值反映了煤矸石X射线图像整体的平均灰度特征,灰度方差反映了图像灰度值数据波动的大小,若图像的大小是L×L,像素点(i,j)所对应的灰度是f(i,j)(i,j=1,2…,L),则灰度均值μ和方差s分别为

(2)
提取灰度均值和方差这2个特征向量作为煤矸石的灰度特征量,即Fgray=(μ,s)。
2.2.2 纹理特征
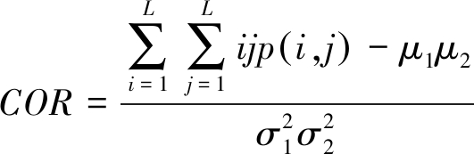
灰度共生矩阵具有较强的鲁棒性,是基于统计的描述纹理的有效方法[14]。描绘在θ方向上距离为δ,灰度级别分别为i和j的一对象元出现的概率,其表达式为
p(i,j,δ,θ)={[(x,y),(x+Δx,y+Δy)|g(x,y)=i;g(x+Δx,y+Δy)=j]}
(3)
其中:
为像素点坐标;θ为方向参数;g为每个像素的灰度取值集合。根据煤矸石的特点,θ值分别取0°、45°、90°、135°四个方向,取δ=1。笔者采用能量ASM、相关性COR、对比度CON和熵ENT这4个具有良好分辨能力,又相互独立的特征值作为煤矸石的纹理特征量,即Ftexture=(ASM,COR,CON,ENT)表示,其表达式分别为
(4)

(5)
(6)
(7)
式中:![]()
2.2.3 特征融合
不同特征具有不同的物理意义,即使同一特征下的不同特征量也具有不同的取值范围。为了避免特征值受方向的影响,取4个方向纹理特征值的平均值作为最终特征[15],并对不同的纹理特征值进行内部归一化处理,处理公式为
(8)
式中:Tk为k=1、2、3、4时的纹理特征值,分别表示0°、45°、90°、135°这4个方向。
(9)
式中:xpq为第p个输入样本的第q个输入参量,
为xpq归一化后的值,为了方便计算,将值归一化到[-1,1];xmax、xmin分别为输入参量的最大值和最小值;q为输入参量的数量共6个;n为输入样本的数量。
在实际的工程中,往往会出现孤立样本和噪声点,导致分类间隔最大化的线性分类无法实现。针对上述情况,模糊支持向量机(Fuzzy Support Vector Machine,FSVM)在传统支持向量机(SVM)判别函数的基础上,加入了松弛因子ξ,从而允许一定量的误分样本存在[16]。FSVM的最优分类超平面为

(10)
式中:ω为分类超平面方程的斜率;φ为关于ω的自定义函数;c为正常数,是对孤立样本的惩罚因子;μ(xi)为模糊隶属度函数,表示输入量xi属于yi的程度;ξi为松弛变量,用来降低重要性不同的变量被错分可能性;s.t.为约束条件。
FSVM对惩罚因子c进行模糊化处理,依据样本不同的隶属度来决定其对模型的影响程度。通过引入Lagrange乘子并求解最终可得用于函数估计的FSVM模型可以表示为
(11)
式中:SV为支持向量点的集合,K(xi,x)为核函数。
由于高斯径向基函数具有较强的处理不同特征参数和非线性类别关系的能力[17],因此文中采用高斯径向基函数为核函数,见式(12)。
(12)
基于径向基核函数的FSVM,需进一步确定惩罚因子c和核参数σ两个参数。
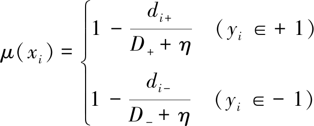
选择适当的训练样本隶属度函数是设计FSVM的重要环节之一。目前采用的隶属度函数主要有S型隶属度函数、π型隶属度函数和类中心隶属度函数,它们本身都存在缺点,仅从样本的中心距离来衡量其隶属度的大小[18-19]。
如图2所示,比较正类圆形样本中的孤立样本点与正类样本中心点xo+的距离d1和其中一个支持样本点与xo+的距离d2可知,d1与d2大致相等,导致样本划分不合理,影响最优分类面的确定。文中采用法平面(Normal Plane,NP)型隶属度函数,综合考虑2类样本的中心点,通过正负样本中心点xo+xo-连线的法平面来确定样本的分类超平面,以各样本点到其所属类别超平面的距离来确定隶属度大小。经过此种方法判定后,d3明显大于d4,有效地排除了孤立样本点。用该方法确定的隶属度函数为

(8)
式中:di+、di-分别为正负样本点xi到各自超平面的距离;D+、D-分别为正样本和负样本距离超平面的最大值,D+=max(di+),D-=max(di-);η>0,为取值很小的正数;+1和-1表示正类和负类样本。

图2 法平面隶属度函数确定方法
Fig.2 Method for determining normal plane membership function
在NP-FSVM模型的构建过程中,选取适当的参数组合才能充分发挥分类器的优越性能,模型的主要参数为惩罚因子c和核参数σ两个参数。常见的寻优方法有试凑法、网格搜索法、交叉法等,这些算法普遍存在运算复杂、结果不一定收敛、未必能找到全局最优解的问题[20]。粒子群优化算法(Particle Swarm Optimization,PSO)是一种进化计算技术的全局优化算法,在参数选取、收敛速度等方面具有一定的优势[21]。文中使用PSO算法寻求参数c和σ的最优组合,具体算法流程如图3所示。
部分试验样本如图4所示,根据式(2)—式(7)计算提取样本的灰度和纹理信息共计6个特征向量,特征提取结果见表1。

图3 PSO优化NP-FSVM参数流程
Fig.3 Flowchart of PSO optimized NP-FSVM parameter

图4 部分试验样本
Fig.4 Partial experimental sample
表1 部分样本特征提取结果
Table 1 Feature extraction results of partial sample

样本序号灰度均值灰度方差能量相关性对比度熵1118.960 66 585.954 00.531 60.100 82.613 01.392 82113.996 36 757.176 50.407 10.078 10.159 11.809 1363.817 97 389.363 80.422 50.047 10.298 51.536 2461.246 86 189.237 10.114 80.067 60.406 32.791 5572.195 89 404.033 50.095 30.034 62.500 53.012 4673.571 29 603.037 90.129 00.049 50.655 72.699 2759.363 47 528.649 50.440 30.036 20.615 61.423 7847.907 36 622.396 60.411 20.045 80.897 71.828 6
注:样本1—4为煤;样本5—8为矸石。
为验证文中方法的可行性,分别选取煤和矸石的X射线透射图像各25幅,将这些样本随机分成5份,选取其中的4份作为训练样本,余下的1份作为测试样本,通过交叉验证法(Fold-cross Validation)共进行5组试验,取试验分选准确率的平均值作为分类器模型的最终输出结果。
文中采用PSO对NP-FSVM模型进行优化,PSO的相关参数初始化设置见表2。
表2 PSO参数设置
Table 2 Parameter settings of PSO

迭代次数粒子数学习因子a1a2cσ200301.51.70.1~1000.01~1 000
为了说明PSO-NP-FSVM较PSO-FSVM的优越性,采用相同的训练样本,比较2种算法建立模型的寻优效率和分选准确率。笔者取相对误差作为模型的适应度函数值,2种模型的迭代次数和适应度函数值的关系如图5所示。

图5 PSO-FSVM与PSO-NP-FSVM的迭代次数和适应度函数值关系
Fig.5 Relationship between iteration times and fitness function values of PSO-FSVM and PSO-NP-FSVM
由图5可以看出,经过56次的迭代,PSO-NP-FSVM算法参数达到最优,而普通的PSO-FSVM算法参数达到最优时,需迭代63次;PSO-NP-FSVM的适应度函数值较小,说明改进后的算法分选准确率要高于普通的PSO-FSVM算法。因此,改进后的算法寻优效率和分选准确率均得到了提升。
为了进一步验证改进后算法搭建模型的分选效果,文中采用交叉验证的试验方法,分别选取单特征识别、FSVM、PSO-FSVM和PSO-NP-FSVM四种算法搭建分类器进行比较,不同算法的煤矸分选准确率见表3。
表3 不同算法煤矸分选准确率比较
Table 3 Accuracy comparison of coal andgangue separation by different algorithm

样本数分选准确率/%单一特征值灰度纹理FSVMPSO-FSVMPSO-NP-FSVM5075.383.786.390.693.8
通过试验得出,单一特征识别的煤矸石分选存在稳定性差、分选准确率低的缺陷,采用普通FSVM模型的煤矸分选准确率为86.3%,采用PSO优化后的FSVM模型的分选准确率为90.6%,采用改进隶属度函数的PSO-NP-FSVM模型的分选准确率为93.8%。由试验结果可知,对于小样本集,改进后的算法模型在稳定性和识别准确率方面都表现优异,分类能力较强,这是因为PSO-NP-FSVM融合了灰度和纹理特征共计6个特征向量的识别信息,采用改进后法平面型隶属度函数,有效地排除了孤立样本点,能大幅提高模型稳定性和分选准确率。
1)综合煤矸石X射线图像在灰度和纹理信息上的差异,分别提取其灰度和纹理特征下的共计6个特征量。经多特征融合后,利用法平面型隶属度函数的模糊支持向量机,减小了样本的误分率,并结合粒子群算法对分类器模型的主要参数做进一步优化。使用该方法建立的分类器模型分选准确率高、寻优速度快、稳定性能好。
2)试验结果表明:采用多特征融合的PSO-NP-FSVM算法建立的分类器模型,分选准确率达到93.8%,相比普通PSO-FSVM分类器模型与单一特征识别方法,大幅提高了煤矸分选的准确性和稳定度。
3)已初步验证了小样本集下基于PSO-NP-FSVM模型进行煤矸石分选的可行性,在后续的研究中,应更广泛地采集各矿区的煤矸石样本,进一步验证此方法的适用性。
[1] 陆小泉.我国煤炭清洁开发利用现状及发展建议[J].煤炭工程,2016,48(3):8-10,14.
LU Xiaoquan.Present situation and suggestion for clean coal development and utilization in China[J].Coal Engineering,2016,48(3):8-10,14.
[2] 谢和平,王金华,王国法,等.煤炭革命新理念与煤炭科技发展构想[J].煤炭学报,2018,43(5):1187-1197.
XIE Heping,WANG Jinhua,WANG Guofa,et al.New ideas of coal revolution and layout of coal science and technology development[J].Journal of China Coal Society, 2018,43(5):1187-1197.
[3] 缪协兴,张吉雄.井下煤矸分离与综合机械化固体充填采煤技术[J].煤炭学报,2014,39(8):1424-1433.
MIAO Xiexing,ZHANG Jixiong.Key technologies of integration of coal mining-gangue washing-backfilling and coal mining[J].Journal of China Coal Society,2014,39(8):1424-1433.
[4] ZHENG K D,DU C L,LI J P,et al.Underground pneumatic separation of coal and gangue with largesize(≥50mm) in green mining based on the machine vision system[J].Powder Technology,2015,(3):223-233.
[5] 张友军.国内外选煤技术与装备的现状及发展趋势[J].选煤技术,2011,24(1):70-72.
ZHANG Youjun.Current status and development trend of coal preparation technology and equipment at home and abroad[J].Coal Preparation Technology,2011,24(1):70-72.
[6] 吴开兴,宋 剑.基于灰度共生矩阵的煤与矸石自动识别研究[J].煤炭工程,2016,48(2):98-101.
WU Kaixing,SONG Jian.Automatic coal-gangue identification based on gray level co-occurrence matrix[J].Coal Engineering,2016,48(2):98-101.
[7] 潘 越,曾 哲,张恩瑜.基于MATLAB和图像灰度值对X射线探测煤矸识别的研究[J].煤炭技术,2017,36(11):307-309.
PAN Yue,ZENG Zhe,ZHANG Enyu.Research on X ray detection of coal gangue recognition based on MATLAB and image gray[J].Coal Technology,2017,36(11):307-309.
[8] 杨慧刚,乔志敏.基于X射线和机器视觉的煤与矸石分选系统设计[J].工矿自动化,2017,43(3):85-89.
YANG Huigang,QIAO Zhimin.Design of separation system of coal and gangue based on X-ray and machine vision[J].Industry and Mine Automation,2017,43(3):85-89.
[9] 王 鹏.X射线识别煤矸选煤技术对煤质分析的要求[J].洁净煤技术,2018,24(S1):59-61.
WANG Peng.Requirements for coal quality analysis of coal preparation based on X ray detection of coal gangue recognition[J].Clean Coal Technology,2018,24(S1):59-61.
[10] 侯若明.X射线实时成像影像的识别和评定[J].无损检测,2012,34(1):57-60.
HOU Ruoming.The recognition and evaluation of image in X-ray real-time radiographic testing[J].Nondestructive Testing,2012,34(1):57-60.
[11] 耿秀云.基于X光图像处理的煤矸石自动分选系统的研究[D].沈阳:东北大学,2014:30-34.
[12] PENATTI O A B,VALLE E,TORRES R S.Comparatives study of global and texture descriptors for web image retrieval[J].Journal Visual Communication and Representation,2012,23(2):359-380.
[13] 陈数越,路宏年.X射线数字成象噪声特性及噪声消除方法研究[J].无损检测,2001,23(1):9-12.
CHEN Shuyue,LU Hongnian. Research on noise characteristics and noise depression in X-ray digital radiographic system[J].Nondestructive Testing,2001,23(1):9-12.
[14] 刘 丽,匡纲要.图像纹理特征提取方法综述[J].中国图象图形学报,2009,14(4):622-635.
LIU Li,KUANG Gangyao.Overview of image textural feature extraction methods[J].Journal of Image and Graphics,2009,14(4):622-635.
[15] 赵 敏,张 为,王 鑫,等.时空背景模型下结合多种纹理特征的烟雾检测[J].西安交通大学学报,2018,52(8):67-73.
ZHAO Min,ZHANG Wei,WANG Xin,et al.A smoke detection algorithm with multi-texture feature exploration under a spatio-temporal background model[J].Journal of Xi’an Jiaotong University,2018,52(8):67-73.
[16] 金志刚,苏 菲.基于FSVM与多类逻辑回归的两级入侵检测模型[J].南开大学学报:自然科学版,2018,51(3):1-6.
JIN Zhigang,SU Fei.A two-stage model intrusion detection system based on FSVM and multi-class logistic regression[J].Acta Scientiarum Naturalium Universitatis Nankaiensis:Natural Science,2018,51(3):1-6.
[17] 张风达,申宝宏.深部煤层底板突水危险性预测的PSO-SVM模型[J].煤炭科学技术,2018,46(7):61-67,228.
ZHANG Fengda,SHEN Baohong.PSO-SVM prediction model for evaluating water inrush risk from deep coal seam floor[J].Coal Science and Technology,2018,46(7):61-67,228.
[18] LIN C F,WANG S D.Fuzzy support vector machines[J].IEEE Trans.Neural Networks,2002,13(2):464-471.
[19] 陈 英,杨丰玉,符 祥.基于支持向量机和灰度共生矩阵的纹理图像分割方法[J].传感器与微系统,2012,31(9):60-63.
CHEN Ying,YANG Fengyu,FU Xiang.Method of texture image segmentation based on SVM and gray level co-occurrence matrix[J].Transducer and Microsystem Technologies,2012,31(9):60-63.
[20] 刘成颖,吴 昊,王立平,等.基于PSO优化LS-SVM的刀具磨损状态识别[J].清华大学学报:自然科学版,2017,57(9):975-979.
LIU Chengying,WU Hao,WANG Liping,et al.Tool wear state recognition based on LS-SVM with the PSO algorithm[J].Journal of Tsinghua University:Natural Science,2017,57(9):975-979.
[21] SHRIVASTAVA N A,KHOSRAVI A,PANIGRAHI B k.Prediction interval estimation of electricity prices using PSO-tuned support vetor machines[J].IEEE Transactions on Industrial Informatics,2015,11(2):322-331.

移动扫码阅读