陈雪锋1,苗永春2,陈文涛3
(1.北京科技大学 土木与资源工程学院,北京 100083;2.中国安全生产科学研究院,北京 100012;3.北京城市系统工程研究中心,北京 100089)
摘 要:为了对底板突水等级进行科学合理的评价,建立基于模糊集对分析法的底板突水危险性评价模型。首先,从地质构造、水文地质条件、底板隔水层条件、开采条件4个方面选取断裂密度、褶皱、断层导水性等13个指标构建底板突水危险性评价指标体系;其次,按照现有常用底板突水等级分类,将底板突水危险性分为4个等级;再次,通过各指标实际数值与1级标准比照求出各指标模糊联系度,并采取信息熵确定各指标权重,从而求出样本模糊联系度;最后,利用最大隶属度原则进行评价判断。该模型应用于肥城矿区5个地段,应用结果表明:基于模糊集对分析法的底板突水危险性评价模型能够与基于未确知测度理论的底板突水评价结果以及实际情况均能完全一致,能够应用于底板突水危险性评价中。
关键词:底板突水;危险性评价;信息熵;模糊集对分析法
中图分类号:TD745
文献标志码:A
文章编号:0253-2336(2019)02-0218-06
CHEN Xuefeng1,MIAO Yongchun2,CHEN Wentao3
(1.School of Civil and Resource Engineering,University of Science and Technology Beijing,Beijing 100083,China;2.China Academy of Safety Science and Technology,Beijing 100012,China;3.Beijing Research Center of Urban System Engineering,Beijing 100089,China;)
Abstract:In order to realize a scientific rational evaluation on the floor water inrush grade,based on the entropy weight method and the Fuzzy Set pair Analysis Method,a danger evaluation model of floor water inrush was established.Firstly,from the four aspects,of the geological structure,hydro geological conditions,floor isolated layer conditions in the floor and mining conditions,thirteen indexes of the fracture density,fold,fault hydraulic conductivity and others were selected to establish the evaluation index system of the floor water inrush.Secondly,according to the classification of the available conventional floor water inrush grades,the dangers of floor water inrush were divided into 4 grades.Thirdly,with the comparison between the actual value of each index with the first-grade standard,a fuzzy connection degree of each index was calculated.And the information entropy was applied to determine each index and thus the fuzzy connection degree of sample was calculated.Finally,the maximum subordinate degree principle was applied to the evaluation and judgment.The model was applied to five sections of Feicheng Mining Area and the study result showed that based on the theory of Fuzzy Set Pair Analysis,the danger evaluation model of the floor water inrush could have the full same to the evaluation results of the floor water inrush evaluation based on unascertained measure theory as well as the actual situation and could be applied to the evaluation of water inrush danger of floor.
Key words:floor water inrush;evaluation on dangers;information entropy;Fuzzy Set Pair Analysis

移动扫码阅读
陈雪锋,苗永春,陈文涛.基于模糊集对分析法的底板突水危险性评价研究[J].煤炭科学技术,2019,47(2):218-223.doi:10.13199/j.cnki.cst.2019.02.035
CHEN Xuefeng,MIAO Yongchun,CHEN Wentao.Study on evaluation of mine floor water inrush danger based on Fuzzy Set Pair Analysis Method[J].Coal Science and Technology,2019,47(2):218-223.doi:10.13199/j.cnki.cst.2019.02.035
收稿日期:2017-12-11;
责任编辑:曾康生
基金项目:国家科技支撑计划资助项目(2015BAK16B03);国家自然科学基金资助项目(51574017)
作者简介:陈雪锋(1982—),男,安徽安庆人,博士研究生。E-mail:chenxuefengxiao@sina.com
煤炭资源是我国的主要资源,其在发电、供暖、工业原材料等诸多领域得到广泛应用,且在未来数百年间仍然不可替代。然而,伴随着煤炭行业的快速发展,各类重特大事故频繁发生,其中突水事故发生次数和死亡人数仅次于瓦斯事故,给国家造成的直接经济损失一直位于首位。因此,研究有效的突水事故危险性评价方法,一直是矿井水地质工作者的努力方向[1]。
有关统计资料表明:在煤矿的各类突水事故中,底板突水事故占突水事故的50%,是最常见的水害类型之一。为了不断减少乃至从根本上解决底板突水危险性问题,确保人们的生命和财产安全,许多学者从不同角度提出了多种底板突水危险性评价方法,如突水系数法、脆弱性指数、人工神经网络方法、支持向量机法、专家系统评判法和距离判别分析法等[2-7],但由于煤层底板突水问题的复杂性和不确定性,突水影响因素与突水量等级之间的模糊性等,使得这些方法均有各自的适用条件和局限性[8]。
集对分析法是于1989年提出的一种处理不确定性问题的系统分析方法[9],其核心思想是把不确定性与确定性问题视为一个既确定又不确定的同异反系统进行分析和数学处理[10],能够很好地解决各种影响因素的不确定性问题;同时,在集对分析法中,通过引入模糊联系度概念,形成模糊集对分析法,则能解决上述诸多方法存在的局限性[11]。鉴于此,笔者将模糊集对分析法应用于底板突水危险性评价,并通过工程实例验证方法的正确性,以丰富和发展现有的底板突水危险性评价方法和手段,为同类工程提供借鉴和参考。
设评价对象组成集合G{X1,X2,…,Xn}(n=1,2,…,N,N为指标总数),Xn为指标,评价等级标准为Sk(k=1,2,…,K,K为等级标准数),第k级标准表示为集合Bk。
评价对象集合G与评价等级标准Bk可以构成一个集对H(G,Bk),对于该集对采取符号量化处理。设集合G与Bk对应的符号元素中,符号相同的个数记作O,相差1个等级的个数记为P1,相差两个等级的个数记为P2,…,相差K-2级的个数记为PK-2,相差K-1的个数记为Q,由此可得到集对H(G,Bk)的K元联系度[12]为
μG~Bk=a+b1i1+b2i2+…+bK-2iK-2+cj
(1)
其中:a=O/N,表示G与Bk的同一度;b1=P1/N,b2=P2/N,…,bK-2=PK-2/N,称为差异度分量,表示差异度的不同级别;c=Q/N,表示G与Bk的对立度;i1,i2,…,iK-2称为差异度分量系数,可由均匀取值法确定,计算公式为:ik=1-2k/(K-1)(k=1,2,…,K);j=-1,称为对立系数。a越接近于1,表明2个集合的关系越趋向于同一;c越接近于1,表明2个集合的关系越趋向于对立;对于a,b,c而言,满足归一化条件[12-14],即a+b1+b2+…+bK-2+c=1。
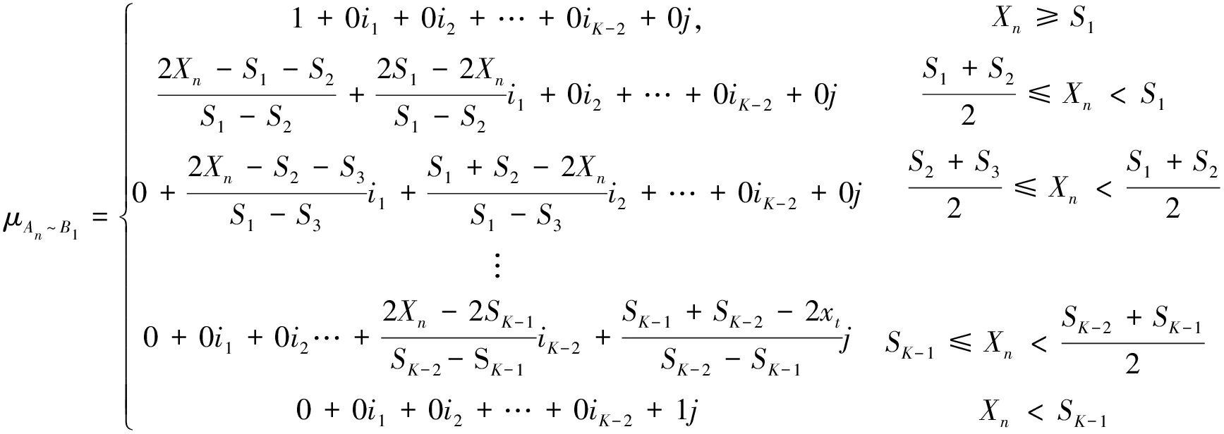
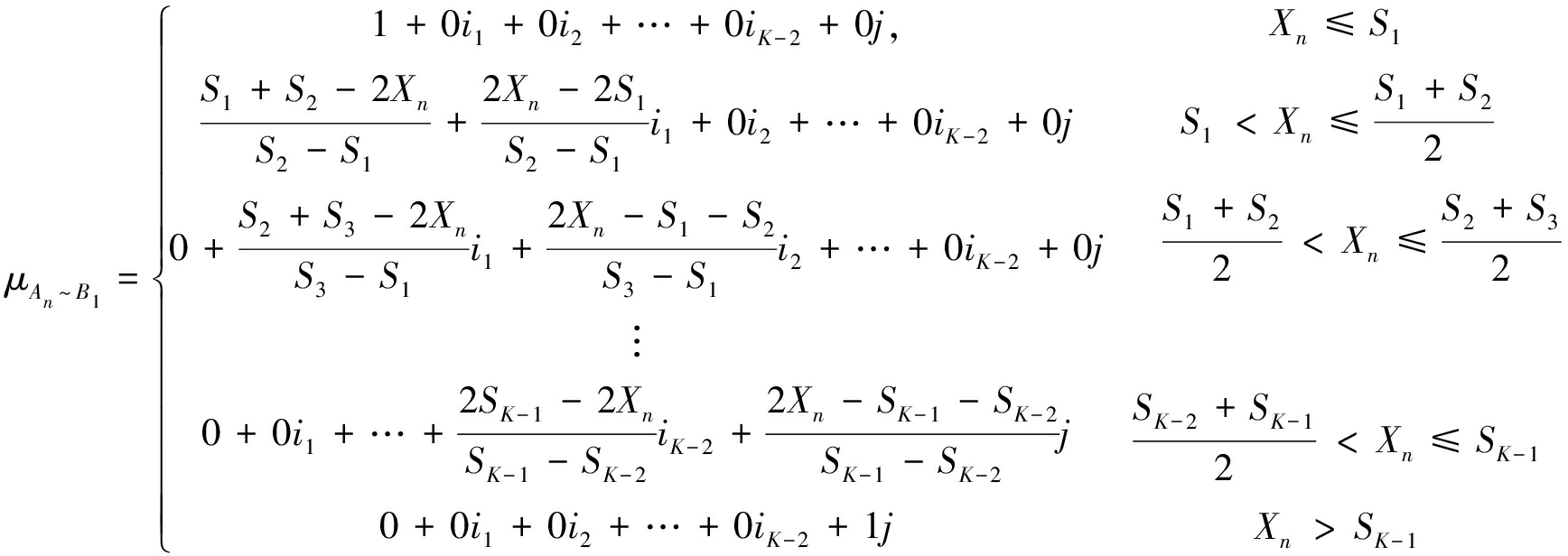
设评价指标体系中所有的指标Xn(n=1,2,…,N)构成一个集合An,某指标的第k级标准看作Bk(k=1,2,…,K)。将An与Bk组成一个集对,定义为H(An,Bk)。对于给定的N个评价指标和K个等级标准,在计算集对H(An,Bk)的联系度μAn~Bk时,存在评价结论难以辨识、信息重合等问题,而μAn~B1包含的信息最完整,即将Bk特定为某指标1级评价标准构成的集合B1[12],因此,只需计算H(An,B1)的K元模糊联系度μAn~B1即可,计算公式如下:
1)对于越大越优型指标(正向指标),当K>2时,集对H(An,B1) (n=1,2,…,N)的K元联系度为

(2)
2)对于越小越优型指标(负向指标),集对H(An,B1)(n=1,2,…,N)的K元联系度为:

(3)
利用熵权法确定指标权重,能够将指标权重确定的主观性降至最低,故笔者采取熵权法求权重,具体步骤如下[15]:
步骤1:设有u个评价对象,每个评价对象有v个指标,则构建原始判断矩阵D为
D=[dst]u×v(s=1,2,…,u;t=1,2,…,v)
(4)
式中:dst为第s个评价对象第t个指标。
步骤2:计算第s个评价对象第t个指标的比重fst为
(5)
步骤3:计算第t个指标的熵值et为
(6)
步骤4:计算指标的差异系数ht为
ht=1-et(t=1,2,…,v)
(7)
步骤5:对ht进行归一化处理,得出各指标的熵权wt为
(8)
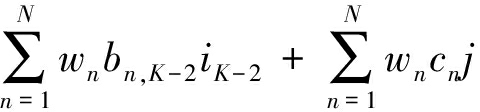
设评价样本的集合为M,所有指标1级评价标准集合为Z,则集对H=(M,Z)的K元联系度[11,12]可定义为
![]()
![]()
(9)
式中:wn为指标n(n=1,2,…,N)的权重。
令
则式(9)可变为
μM~Z=F0+F1i1+F2i2+…+FK-2iK-2+FKj
(10)
式中:F1为评价样本隶属于S1等级程度;F2为评价样本隶属于S2等级程度;…;FK为评价样本隶属于SK级程度。
对上文计算结果,采取最大隶属度准则进行判断,即:
Hk=max(F1,F2,…,FK)
(11)
其中:Hk为属性测度,利用式(11)判断评价样本所属的等级,即样本属于Hk对应的Sk(k=1,2,…,K)等级[16]。
肥城矿区是一向北倾斜的单斜构造,以断裂构造为主,其次是褶曲构造,断裂带内岩土完整性较差,因而岩土隔水性能较差,容易形成突水通道,矿区主要含水层为奥陶系灰岩,厚度大,岩溶十分发育,静水储量大,地表强水源补给充足。相关资料表明:肥城煤矿是全国煤矿水害事故发生最多的矿区之一,自1965年开采至今发生290多次出水,出水量高于60 m3/h的149次,高于600 m3/h的22次严重威胁了矿井安全[17]。结合肥城矿区的水文地质条件、自然环境因素及底板自身的结构条件等状况,选取有关地段参数[17],具体见表1,对上文的底板突水危险性评价模型进行应用,以验证模型的有效性。
采掘过程中,造成底板突水是多种因素综合作用的结果。笔者在前人研究成果的基础上[18-19],从地质构造、水文地质条件、底板隔水层条件、开采条件四个方面选取断裂密度、褶皱、断层导水性等13个指标(分别用X1,X2,…,X13表示)构建底板突水危险性评价指标体系,具体如图1所示。


图1 底板突水危险性评价指标体系
Fig.1 Risk assessment indexes system of floor water inrush
参考有关文献[20],将底板突水等级分为极易突水、较易突水、突水性一般和突水性较低四个等级,分别记为S1,S2,S3,S4。由于评价指标分为定量指标和定性指标两种,对于定量指标,采取实测值进行底板突水评价,定量指标及其分级标准见表2;对于定性指标,采取赋值法进行底板突水评价,定性指标及其分级标准见表3。
以样本1为例,由公式(2)和(3)计算指标联系度,即
μX1~S1=1+0i1+0i2+0j;
μX2~S1=1+0i1+0i2+0j;μX3~S1=0+0i1+0.88i2+0.12j;
μX4~S1=1+0i1+0i2+0j;μX5~S1=0+0i1+0.7i2+0.3j;
μX6~S1=1+0i1+0i2+0j;μX7~S1=1+0i1+0i2+0j;
表2 底板突水评价的定量指标及分级标准
Table 2 Quantitative assessment indexes and grading standard of floor water inrush


μX8~S1=1+0i1+0i2+0j;μX9~S1=1+0i1+0i2+0j
μX10~S1=0+0i1+0.2i2+0.8j;μX11~S1=0+0.5i1+0.5i2+0j
μX12~S1=0+0i1+0i2+1j;μX13~S1=0+0i1+0.83i2+0.17j
根据公式(4)-(8),计算指标权重为
W=(w1,w2,…,w13)=(0.052 6,0.076 8,0.082 3,0.066 5,0.087 5,0.061 5,0.075 5,0.070 0,0.087 5,0.086 8,0.086 4,0.083 6,0.082 7)
根据公式(9),计算得
μM~Z=0.490 4+0.043 2i1+0.262 8i2+0.202 9
利用最大隶属度准则,根据式(11),Hk=max(0.490 4,0.043 2,0.262 8,0.202 9)=0.490 4,即样本1底板突水等级为“极易突水”,这与基于未确知测度理论的底板突水危险性评判结果以及实际情况都是完全一致的[13]。
同理,将模型应用到样本2、3、4和5,结果分别为S2、S2、S2和S3等级,与基于未确知测度理论的底板突水危险性评判结果以及实际情况均一致[17],从而证明了评价模型的有效性。
1)基于模糊集对分析法的底板突水危险性评价模型包括构建指标体系、确定评价标准、计算指标联系度、计算指标权重、计算样本联系度和利用识别度准则判断底板突水危险性等级7个步骤。
2)模糊集对分析法应用于肥城矿区底板突水危险性实例,结果表明:该模型评价结果与基于未确知测度理论评价模糊和实际情况均完全一致,从而证明了模型的有效性,可应用于底板突水危险性评价中。
参考文献:
[1] 刘雪艳,张雪英,李凤莲.基于万有引力的煤层底板突水预测算法[J].煤炭学报,2015,40(S2):458-463.
LIU Xueyan,ZHANG Xueying,LI Fenglian.Gravitational force based coal floor water inrush prediction algorithm[J].Journal of China Coal Society,2015,40(S2):458-463.
[2] 施龙青,韩 进,宋 杨,等.用突水概率指数法预测采场底板突水[J].中国矿业大学学报,1999,28(5):442-444.
SHI Longqing,HAN Jin,SONG Yang,et al.Forecast of water inrush from mining floor with probability indexes[J].Journal of China University of Mining﹠Technology,1999,28(5):442-444.
[3] 武 强,张志龙,张生元,等.煤层底板突水评价的新型实用方法Ⅱ—脆弱性指数法[J].煤炭学报,2007,32(11):1121-1126.
WU Qiang,ZHANG Zhilong,ZHANG Shengyuan,et al.A new practical methodology of the coal floor water bursting evaluating (PartⅡ):the vulnerable index method[J].Journal of China Coal Society,2007,32(11):1121-1126.
[4] 王连国,宋 扬.煤层底板突水组合人工神经网络预测[J].岩土工程学报,2001,23(4):502-505.
WANG Lianguo,SONG Yang.Combined ANN forecast of water-inrush from coal floor[J].Chinese Journal of Geotechnical Engineering,2001,23(4):502-505.
[5] 李 颖.基于支持向量机的煤层底板突水预测方法研究[D].西安:煤炭科学研究总院西安分院,2007.
[6] 高延法,章延平,张慧敏,等.底板突水危险性评价专家系统及应用研究[J].岩石力学与工程学报,2009,28(2):254-258.
GAO Yanfa,ZHANG Yanping,ZHANG Huimin,et al.Research on expert system for risk assessment of water inrush from coal floor and its application[J].Chinese Journal of Rock Mechanics and Engineering,2009,28(2):254-258.
[7] 陈红江,李夕兵,刘爱华,等.煤层底板突水量的距离判别分析预测方法[J].煤炭学报,2009,34(4):487-491.
CHEN Hongjiang,LI Xibing,LIU Aihua,et al.Forecast method of water inrush quantity from coal floor based on distance discriminate analysis theory[J].Journal of China Coal Society,2009,34(4):487-491.
[8] 肖建于,童敏明,姜春路.基于模糊证据理论的煤层底板突水量预测[J].煤炭学报,2012,37(S1):131-137.
XIAO Jianyu,TONG Minming,JIANG Chunlu.Prediction of water inrush quantity from coal floor based on fuzzy evidence theory[J].Journal of China Coal Society,2014,37(S1):131-137.
[9] 陈雪锋,陈文涛.集对分析理论在爆破工程安全预评价中的应用[J].中国安全生产科学技术,2017,13(1):146-150.
CHEN Xuefeng,CHEN Wentao.Application of set pair analysis theory in safety pre-evaluation of blasting engineering[J].Journal of Safety Science and Technology,2017,13(1):146-150.
[10] 李德顺,许开立,张喜嘉,等.集对分析集对势的研究及其影响[J].工业安全与环保,2009,35(9):8-9,17.
LI Deshun,XU Kaili,ZHANG Xijia,et al.Research and application of set pair situation in the set pair analysis[J] .Industrial Safety and Environment Protection,2009,35(9):8-9,17.
[11] 王宏伟,张 鑫,邱俊楠.模糊集对分析法在水资源安全评价中的应用[J].西北农林科技大学:自然科学版,2011,39(10):209-214.
WANG Hongwei,ZHANG Xin,QIU Junnan.Application of fuzzy set pair analysis method in safety evaluation of water resources[J].Journal of Northwest A﹠F University:Nat Sci Ed,2011,39(10):209-214.
[12] 沈俊源,吴凤平,于倩雯.基于模糊集对分析的最严格水安全综合评价[J].水资源与水工程学报,2016,27(2):92-97.
SHENJunyuan,WU Fengping,YU Qianwen.Strictest comprehensive evaluation of water safety based on fuzzy set pair analysis[J].Journal of Water Resources & Water Engineering,2016,27(2):92-97.
[13] 汪明武,李 丽,金菊良.岩爆预测的改进集对分析模型[J].岩土力学,2008,28(S1):511-514.
WANGMingwu,LI Li,JIN Juliang.An improved set pair analysis model for the prediction of rock burst[J].Rock and Soil Mechanics,2008(S1):511-514.
[14] 吴大国,汪明武,张薇薇.基于模糊集对分析的黄土路堑边坡稳定性评价方法[J].岩土力学,2008,28(S1),435-438.
WU Daguo,WANG Zhiwu,ZHANG Weiwei.Stability analysis method of loess cutting slope based on fuzzy set pair[J].Rock and Soil Mechanics,2008,28(S1),435-438.
[15] 雷勋平,邱广华.基于熵权TOPSIS模型的区域资源环境承载力评价实证研究[J].环境科学学报,2016,36(1):314-323.
LEI Xunping,QIU Guanghua.Empirical study about the carrying capacity evaluation of regional resources and environment based on entropy-weight topsis model [J].Acta Scientiae Circumstantiate,2013,32(10):1973-1980.
[16] 俞 乾,李卫国.模糊集对分析模型在大型电力变压器状态评价中的应用[J].中南大学学报:自然科学版,2013,44(2):598-603.
YU Qian,LI Weiguo.Application of fuzzy set pair analysis model to power transformer conditions assessment[J].Journal of Central South University:Science and Technology,2013,44(2):598-603.
[17] 叶世雄,贾明涛,潘传鹏,等.基于未确知测度理论的煤层底板突水危险性评价[J].安全与环境学报,2015,15(1):26-30.
YE Shixiong,JIA Mingtao,PAN Chuanpeng,et al.New assessment model for water-inrush hazard from the coal seam floor based on the fuzzy theory measurement [J].Journal of Safety and Environment,2015,15(1):26-30.
[18] 刘伟韬,宋传文,张国玉.底板突水的专家评分-层次分析预测与评价[J].工程勘察,2002(1):22-25.
LIU Weitao,SONG Chuanwen,ZHANG Guoyu.Expert score of floor water inrush prediction and evaluation based on Analytic Hierarchy Process[J].Geotechnical Investigation & Surveying,2002(1):22-25.
[19] 武 强,张志龙,马积福.煤层底板突水评价的新型实用方法Ⅰ:主控指标体系的建设[J].煤炭学报,2007,32(1):42-47.
WU Qiang,ZHANG Zhilong,MA Jifu.A new practical methodology of the coal floor water bursting evaluating (PartⅠ):The master controlling index system construction[J].Journal of China Coal Society,2007,32(1):42-47.
[20] 李 博,郭小铭,徐 爽,等.基于模糊评判-综合赋权的煤层底板突水危险性评价[J].河南理工大学学报:自然科学版:2014,33(1):6-11.
LI Bo,GUO Xiaoming,XU Shuang,et al.Risk assessment of coal floor groundwater bursting base on fuzzy comprehensive evaluation comprehensive weight[J].Journal of Henan Polytechnic University:Natural Science,2014,33(1):6-11.