张 建 公
(开滦(集团)有限责任公司,河北 唐山 063000)
摘 要:针对煤矿刮板机传统启动方法启动速度慢、启动转矩控制不精确与启动耗能大等问题,研究了一种基于无滤波器载波信号分离的高频方波电压注入法的刮板机启动方法,通过引入永磁电动机转子位置与转速的观测器,能够实现启动转矩的精确控制,实现快速与平稳启动; 无滤波器载波信号分离策略可以避免传统方法信号分离过程中滤波器的使用,从而提高了系统的动态性能。仿真结果表明: 基于高频电压注入的刮板机重载启动方法与传统的I/F启动方式相比,启动时间减少约52.3%,启动电流减小约75.0%,有效改善了刮板机启动性能。
关键词:刮板机;重载启动;永磁同步电动机;高频方波电压注入
中图分类号:TD42
文献标志码:A
文章编号:0253-2336(2019)02-0136-07
ZHANG Jiangong
(Kailuan (Group) Limited Liability Corporation,Tangshan 063000,China)
Abstract:Aiming at the problems of slow starting speed, inaccurate starting torque control and large energy consumption in traditional starting method of scraper motor, this paper presents scraper starting method based on high frequency square wave voltage injection method with separation strategy of carrier signal without filter. By introducing the observer of rotor position and speed of permanent magnet motor, the precise starting torque control can be realized and the fast and smooth starting can be realized. The strategy of carrier signal separation without filter can avoid the use of filter in the traditional method of signal separation, thus improving the dynamic performance of the system.The simulation results show that the starting time and starting current of heavy load starting control strategy of scraper based on high-frequency voltage injection method are reduced by 52.3% and 75.0% compared with the traditional I/F starting method, which indicates that the starting performance of coal scraper is greatly improved.
Key words:scraper;heavy load starting;permanent magnet synchronous motor;high frequency square wave voltage injection

移动扫码阅读
张建公.基于方波电压注入的刮板机重载启动控制策略研究[J].煤炭科学技术,2019,47(2):136-142.doi:10.13199/j.cnki.cst.2019.02.023
ZHANG Jiangong.Research on heavy load starting control strategy of scraper based on square wave voltage injection[J].Coal Science and Technology,2019,47(2):136-142.doi:10.13199/j.cnki.cst.2019.02.023
收稿日期:2018-08-22;
责任编辑:赵 瑞
基金项目:国家重点研发计划资助项目(2016YFC0600804)
作者简介:张建公(1967—),男,山西大同人,高级工程师,硕士。E-mail:zjg_1967@126.com
刮板机作为煤矿生产系统中的重要运输设备,广泛应用于煤矿井下采掘工作面。机头与机尾电动机作为刮板机的动力源,其高效与可靠运行是刮板运输系统的关键[1-3]。永磁同步电动机具有启动转矩大、低速运行平稳、效率高、功率因数高等优势,逐步成为刮板机运输系统中的主流电动机[4]。刮板机的运行工况与工艺要求决定了基于永磁电动机驱动系统的传动装置必须具备重载启动能力,过载要求高,并要求实现机头与机尾电动机的功率平衡控制[5]。由于刮板机运输路程较大,机头与机尾电动机分别安装在刮板机的起始端与尾端,变频装置距离2台电动机的距离较远,使得传统的光电位置编码器由于接线距离远引起的高频信号衰减以及干扰问题而无法应用于刮板机,因此在重载启动过程中无法通过传感器获取永磁电动机的准确转子位置。针对此问题,刮板机在运行过程中必须采用无位置传感器控制技术。永磁同步电动机的无位置传感器方法可以分为恒压频比控制[6]、恒定电流频率控制[7] 、高频电压信号注入法[13-15]以及基于反电动势模型的转子位置观测的方法[6-8]。在永磁电动机高速运行时,采用诸如滑模观测器[6]、卡尔曼滤波观测器[7]或者模型参考自适应观测器[18]的方法可以有效且精确地观测永磁体旋转产生的反电动势,从而实现对转子位置与转速的估算。但是由于刮板机在启动过程中,电动机运行转速低,电动机反电动势模型非线性增强且不易观测,基于反电动势模型的方法无法有效检测电动机转子位置,因此无法直接应用于刮板机的启动。
当前刮板机启动主要采用2种方式,即恒压频比控制与恒定电流频率控制,在启动经过低频段后再切入基于反电动势模型的无位置传感器启动方法[11]。然而上述2种方式本质上属于开环控制[12],在启动过程中未知电动机转子位置,无法有效控制电动机实际输出电磁转矩,造成启动速度慢、启动耗能大以及启动不平稳等问题,且输出电磁转矩控制不精确无法有效实现机头与机尾电动机的启动协调控制。而适用于零低速的高频信号注入法基于转子凸极效应并且能够实现闭环启动,从而能够解决上述启动方法所存在的问题;其主要包括旋转高频信号注入法[13]、脉振高频信号注入法[14]与高频方波信号注入法[15]等。相比于前2种算法,高频方波注入有着更高的注入信号频率与更高的电流环带宽,并且能够提高控制系统的动态性能[15]。但传统的高频方波电压注入方法[15]采用低通滤波器(Low-Pass Filter,LPF)实现载波信号分离进而构成电流闭环,采用带通滤波器(Band-Pass Filter,BPF)实现载波信号的提取以解耦出位置偏差信息,低通滤波器与带通滤波器的使用会导致信号的延时,从而降低了位置观测的响应速度[19]。
针对上述问题,笔者首先分析了传统I/F启动方法的原理与局限性,建立永磁同步电动机的高频数学模型,研究一种基于无滤波器载波信号分离策略的高频信号注入法用于刮板机的启动控制,通过此策略可以避免载波信号分离中滤波器的使用,从而提高高频方波电压注入法的动态性能。仿真结果表明本文研究方法的有效性,与I/F启动方法相比能够有效增加刮板机启动的平稳性,更加精确地控制启动转矩、减小启动时间并能够节省启动过程中的能量消耗。
永磁同步电动机驱动刮板机运输系统框图如图1所示,包含供电系统、操作台、变频装置、刮板、机头电动机与机尾电动机等部分。

图1 永磁同步电动机驱动刮板机运输系统框图
Fig.1 Block diagram of scraper transport system with permanent magnet synchronous motor drive
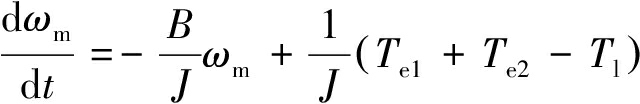
刮板机重载启动时,其运动方程如下:
(1)
其中:ωm为机械角速度;t为启动时间,B为黏性系数;J为惯性系数;Tl为刮板机负载转矩;Tel与Te2分别为机头与机尾电动机的电磁转矩。
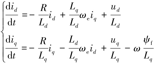
在两相同步旋转坐标系下,永磁同步电动机的电流模型如下:

(2)
式中:R为定子的电阻;ψf为永磁体磁链;id、iq分别为定子电流的d、q轴分量;ud、uq分别为定子d、q轴电压;we为电角速度;Ld、Lq分别为d、q轴电感,对于表贴式永磁电动机,可以认为二者数值相等,其中d轴按照转子磁链的方向进行定向;ω为电动机实际运转电角速度。
采用id=0控制策略,永磁同步电动机电磁转矩方程如下:
Te=1.5Pnψfiq
(3)
式中,Pn为电动机极对数。
传统I/F启动原理如图2所示,其中d、q轴方向为电动机实际交、直轴方向,电动机实际转子位置为θ,d′与q′方向为实际的定子电流方向,d′与电动机定子a相位置的夹角定义为θ′,θL为θ与θ′之间的差值,ω′为电动机定子输入电压给定电频率。

图2 I/F启动原理
Fig.2 Schematic diagram of startup based on I/F
在启动过程中,电动机定子输入电压给定电频率满足式(4)。
(4)
其中:Kω为给定定子电角速度上升斜率;Tqd为ω′达到ωmax的时间。Kω的选取需满足:
(5)
其中,
为最大负载转矩,在启动过程中,永磁电动机实际出力为
(6)
θL满足:
(7)
根据图2,结合式(1)与式(3),并忽略电动机自身黏性系数,可得永磁电动机启动阶段的电角速度满足下式:
(8)
根据式(5)—式(8),传统的I/F启动方法本质上属于一种开环控制方法。由于未知永磁电动机的真实转子位置,永磁电动机实际输出转矩取决于角度θL,而θL的响应曲线取决于永磁电动机初始位置、负载转矩以及给定电流幅值。这在刮板机启动中会出现电动机给定电流较大但实际输出电磁转矩较小的情况,且在实际应用中机头电动机要晚于机尾电动机启动,会存在因2台电动机θL响应曲线不一致的情况,而无法精确控制机头与机尾电动机的启动转矩,导致刮板机链轮应力过大的问题,减小刮板机使用寿命。
基于高频方波电压注入的刮板机重载启动方法通过向永磁电动机中注入高频方波电压,并利用如式(9)的永磁电动机的高频注入响应模型估算出永磁电动机的转子位置。

(9)
式中:udh、uqh为交直轴电压的高频分量;idh、iqh为交直轴电流的高频分量。
高频方波电压注入原理以及高频电流响应曲线如图3所示。图中TPWM为所采取的脉宽调制策略的载波周期;k为当前的高频周期计数;
为在两相估计旋转坐标系下注入的高频电压分量,即
轴上注入幅值为Uh,周期与载波周期相同的高频方波信号;
为在两相估计旋转坐标系下电流分量,
分别为
的直流分量和高频分量,q轴电流也可按照相同方式分解,且满足:
(10)

图3 高频注入电压及其响应电流波形
Fig.3 Injection high frequency voltage and induced current
注入的高频电压表达式如下:
(11)
传统的高频方波电压注入法[15]通常采用采用低通滤波器实现载波信号分离进而构成电流闭环,采用带通滤波器实现载波信号的提取以解耦出位置偏差信息,传统的高频方波电压注入法框图如图4所示。

图4 传统高频方波电压注入法框图
Fig.4 Block diagram of traditional high frequency voltage injection method
图中,
为转子位置估算值,T2r/2s为两相旋转到两相静止坐标系变换矩阵,T2s/2r为两相静止到两相旋转坐标变换矩阵,T3/2为三相静止坐标系到两相静止坐标系的变换矩阵,iab为两相静止坐标系下电流,
为d、q轴参考电流。
但低通滤波器与带通滤波器的使用会导致信号的延时,从而降低了位置观测的响应速度[19]。针对上述问题,笔者研究了一种无滤波器载波信号分离策略,具体分析如下。
分析图3中的高频响应电流模型可得:

(12)
其中,
为高频响应电流幅值。由于刮板机启动阶段转速低,采用周期远小于运行速度,可近似认为:
(13)
根据式(12)、式(13)可得:
(14)
通过坐标变换,可将注入高频电压转换到同步旋转坐标系下:

(15)
其中:
为两相估计旋转坐标系与同步旋转坐标系的角度差,即![]()
联立式(9)与式(15)可得:

(16)
将式(16)变换到两相估计旋转坐标系,可得:

(17)
进一步,将式(17)进行离散化,可得:

(18)
式(18)表明,当估计转子位置等于实际转子位置式
方波高频注入电压只在
轴有响应电流产生,且高频响应电流幅值与Uh成正比。当
接近于0时,可认为其正弦值与其自身相等,因此式(18)可进一步简化为
(19)
其中:sign为符号函数,对于大于0的数其函数值为1,否则为-1。
利用式(19)中
为0时,
为0的永磁电动机高频特性,可以设计如图5所示的转子位置与转速观测器,即在观测
的基础上,通过比例积分(PI)控制器闭环调节
使其值接近于0,其中PI控制器输出为估算的电角速度,估算电角速度通过积分即可获取估算的永磁电动机转子位置。

图5 转子位置与转速估计框图
Fig.5 Block diagram of rotor position and speed estimation
基于无滤波器载波信号分离策略的高频方波电压注入刮板机重载启动框图如图6所示,其中,(1+Z-1)/2为滤波环节,Z为延时环节。首先根据启动转矩给定计算q轴电流给定,d轴电流给定设置为0,经过电流控制器后得到变频器的给定交轴与直轴电压。按照图3注入高频电压,通过坐标变换得到两相静止坐标系下的电压参考值作为脉宽调制器(PWM)的输入,其中坐标变换中使用的转子位置通过图5中的观测方法获取,最终PWM波施加在变频器上,实现刮板机的重载启动。

图6 改进高频方波电压注入法框图
Fig.6 Block diagram of improved high frequency voltage injection method
为了验证笔者研究的刮板机启动方法的有效性,在Matlab/Simulink中搭建仿真模型,其中电动机参数设置如下:电动机额定电压3 300 V,额定电流132 A,额定功率7 00 kW,额定转速1 500 r/min,额定转矩4 457 N·m,电动机极数为4,转动惯量为4 000 kg·m2。仿真中变频器装置采用二极管钳位型三电平拓扑,直流母线电压设置为4 700 V,开关频率设置为1 kHz,电动机启动负载设置为2 000 N·m,电动机最大启动转矩设置为2倍额定负载。
采用传统I/F启动方式的仿真结果如图7—图10所示,其中启动转矩给定值设置为2倍额定负载,启动目标转速为50 r/min。图7中的转速波形表明采用传统I/F控制的启动时间,为6.5 s,且启动过程中转速波动较大。

图7 基于I/F的刮板机启动转速波形
Fig.7 Speed of scraper starting based on I/F
基于I/F的刮板机启动电磁转矩波形如图8所示,可以看出电动机输出的实际启动转矩无法有效达到其给定值,其原因将结合图10进行分析。

图8 基于I/F的刮板机启动电磁转矩波形
Fig.8 Electromagnetic torque of scraper starting based on I/F
基于I/F的刮板机启动电动机定子三相电流波形如图9所示,在启动过程中电流幅值给定取决于启动转矩给定。启动过程中,采用I/F方法的启动电流有效值约为264 A。
基于I/F的刮板机启动过程中转子位置角度误差θL如图10所示,由于I/F控制未引入永磁电动机转子位置观测器,实际电流矢量旋转角度与电动机转子位置差距较大,而根据式(6),电动机实际输出电磁转矩因此也会存在波动,且无法达到设定值,从而造成图8中的现象。

图9 基于I/F的刮板机启动三相电流波形
Fig.9 Three-phase current of scraper starting based on I/F

图10 基于I/F的刮板机启动转子位置角度误差波形
Fig.10 Rotor position angle error of scraper starting based on I/F
高频方波电压注入启动方式的仿真结果如图11—图14所示。其中注入高频电压频率为1 kHz,幅值为100 V。图11中的转速波形表明采用高频方波电压注入控制的启动时间为3.1 s,相对于传统方法减小了52.3%,且启动过程中转速几乎无波动。

图11 基于高频方波电压注入刮板机启动转速波形
Fig.11 Speed waveform of scraper starting based on high frequency square wave voltage injection
基于高频方波电压注入的刮板机启动电磁转矩波形如图12所示。

图12 基于高频方波电压注入刮板机启动电磁转矩波形
Fig.12 Electromagnetic torque waveform of scraper starting based on high frequency square wave voltage injection
与图8结果相比,电磁转矩中只有开关频率引起的高频波动,几乎不包含低频波动,且基于高频方波电压注入的启动方法引入了转速观测器,通过转速环的投入,使得在电动机启动至目标转速时电动机输出电磁转矩接近负载转矩,有利于系统高效、平稳启动。
基于高频方波电压注入的刮板机启动定子三相电流波形如图13所示,与图8结果相比,在电动机启动至目标转速后,电流幅值下降约75%,因此启动过程更加节能。

图13 基于高频方波电压注入刮板机启动三相电流波形
Fig.13 Three-phase current waveform of scraper starting based on high frequency square wave voltage injection
基于高频方波电压注入的刮板机启动转子误差波形如图14所示,与图10对比,其转子误差远小于I/F方法。

图14 基于高频方波电压注入刮板机启动转子误差波形
Fig.14 Rotor position error waveform of scraper starting based on high frequency square wave voltage injection
因此,仿真结果表明了笔者研究的基于高频方波电压注入刮板机启动控制方式的有效性,且相对于传统I/F启动方法具有启动平稳、启动时间短、启动耗能小等优势。另外,采用高频注入电压方法启动能更加精确地控制电动机转矩,有利于实现刮板机机头与机尾电动机的启动配合,从而减小启动过程中刮板链的应力,增加刮板机使用寿命。
1)提出了一种基于无滤波器载波信号分离策略的高频电压注入法的刮板机启动方法,通过引入永磁电机转子位置与转速的观测器,能够有效增加刮板机启动的平稳性,更加精确地控制启动转矩,减小启动时间,并能够节省启动过程中的能量消耗。
2)无滤波器载波信号分离策略可以避免传统方法信号分离过程中滤波器的使用,从而提高了系统的动态性能。
3)仿真结果表明:基于高频电压注入的刮板机重载启动方法与传统的I/F启动方式相比,具有快速与平稳的优势,启动时间减少约52.3%,启动电流减小约75%。
参考文献:
[1] 林 勇,董淑棠,申生太,等.刮板输送机用隔爆兼本质安全型交流变频器研发[J]. 煤炭科学技术,2016,44(5): 166-171.
LIN Yong,DONG Shutang,SHEN Shengtai,et al.Research and development on mine flameproof and intrinsic safety AC frequency converter of mine scraper conveyor [J]. Coal Science and Technology,2016,44(5): 166-171.
[2] 毛 君,王洪涛,谢 苗,等. 刮板链平环疲劳寿命预测分析[J]. 煤炭科学技术,2018,46(3): 135-140.
MAO Jun,WANG Hongtao,XIE Miao,et al.Prediction and analysis on fatigue life of flat ring in scraper [J].Coal Science and Technology,2018,46(3): 135-140.
[3] LU E,LI W,YANG X,et al.Composite sliding mode control of a permanent magnet direct-driven system for a mining scraper conveyor[J].IEEE Access,2017(5):22399-22408.
[4] 王 雷,贾振元,朱明亮,等.矿用永磁调速装置调速机构性能研究[J].工矿自动化,2018,44(7):40-44..
WANG Lei,JIA Zhenyuan,ZHU Mingliang,et al.Research on performance of speed regulating mechanism of mine-used permanent magnet speed regulator[J].Industry and Mine Automation,2018,44 (7) :40-44.
[5] 佚 名.汇川技术CM3000高压变频器在刮板机上的应用[J].变频器世界,2015(7):63-67.
ANON.Inovance technology CM3000 high-voltage inverter in scraper machine[J].The world of inverter,2015(7): 63-67.
[6] ANCUTI R,BOLDEA I,ANDREESCU G D.Sensorless V/f control of high-speed surface permanent magnet synchronous motor drives with two novel stabilizing loops for fast dynamics and robustness[J].IET Electric Power Applications,2010,4(3): 149-157.
[7] 朱 敏,刘 刚,周新秀,等.MSCMG无刷直流电机改进的I/f无位置起动方法[J].微电机,2015,48(1):37-42.
ZHU Min,LIU Gang,ZHOU Xinxiu,et al.An Improved I/f Starting Method of Sensorless BLDCM for MSCMG[J].Micromotor,2015,48(1):37-42.
[8] WANG Z,LU K,BLAABJERG F.A simple startup strategy based on current regulation for Back-EMF-Based sensorless control of PMSM[J].IEEE Transactions on Power Electronics,2012,27(8):3817-3825.
[9] 肖烨然,刘 刚,宋欣达,等.基于改进滑模观测器的永磁同步电机无位置传感器I/F起动方法[J].电力自动化设备,2015,35(8):95-102.
XIAO Huaran,LIU Gang,SONG Xinda,et al.Sensorless I/F starting method for permanent magnet synchronous motor based on improved sliding mode observer [J].Electric Power Automation Equipment,2015,35(8):95-102.
[10] YU Y,CHANG D,ZHENG X,et al.A stator current oriented closed-loop I/F control of sensorless SPMSM with fully unknown parameters for reverse rotation prevention[J].IEEE Transactions on Power Electronics,2018,33(10): 8607-8622.
[11] 刘计龙,肖 飞,麦志勤,等.IF 控制结合滑模观测器的永磁同步电机无位置传感器复合控制策略[J].电工技术学报,2018,33(4): 919-929.
LIU Jilong,XIAO Fei,MAI Zhile,et al.Hybrid position-sensorless control scheme for PMSM based on combination of IF control and sliding Mode observer [J].Transactions of China Electrotechnical Society,2018,33(4): 919-929.
[12] 张李槐树.永磁同步电机开环控制系统稳定性的数学推导与分析[J].电工技术学报,2014,29(1): 36-43.
ZHANG Lihuaishu.Mathematical deduction and stability analysis of PMSM open-loop control system[J].Transactions of China Electrotechnical Society,2014,29(1): 36-43.
[13] 于艳君,柴 凤,欧 景,等.基于旋转高频信号法的IPMSM无位置传感器控制[J].电工技术学报,2013,28(7):26-31.
YU Yanjun,CHAI Feng,Ou Jing,et al.Position sensorless control of IPMSM based on rotating high frequency signal method[J].Transactions of China electrotechnical society,2013,28(7):26-31.
[14] 叶生文,谷善茂,李广超,等.基于高频注入法的永磁同步电动机无传感器矢量控制[J].工矿自动化,2010,36(1):44-47.
YE Shengwen,GU Shanmao,LI Guangchao,et al.Position sensorless vector control of permanent magnet synchronous motor based on method of high-frequency injection method[J].Industry and Mine Automation,2010,36(1):44-47.
[15] YOUNG-DOO Y,SEYNG-KI S,SHINYAM,et al.High-bandwidth sensorless algorithm for AC machines based on square-wave-type toltage injection[J].IEEE Transactions on Industry Applications,2011,47(3):1361-1370.
[16] 石 鼎.基于滑模观测器的PMSM无位置传感器控制[J].控制工程,2017,24(2):414-417.
SHI Ding.Sensorless control of PMSM based on sliding mode observer[J].Control Engineering of China,2017,24(2):414-417.
[17] 朱 军,李香君,付融冰,等.双重遗忘卡尔曼滤波PMLSM无位置传感控制研究[J].系统仿真学报,2018,30(2): 672-678.
ZHU Jun,LI Xiangjun,FU Rongbing,et al.PMLSM without position sensing control of double forgetting kalman filter[J].Journal of System Simulation,2018,30(2): 672-678.
[18] 王 杰,谢 源,谢 涛,等.基于MRAS的永磁同步电机无传感器矢量控制研究[J].电机与控制应用,2018,45(1):30-34.
WANG Jie,XIE Yuan,XIE Tao,et al.Research of permanent magnet synchronous motor sensorless vector control based on MRAS[J].Motor and Control Application,2018,45(1):30-34.
[19] 邵俊波,王 辉,黄守道,等.一种表贴式永磁同步电机无位置传感器低速控制策略[J].中国电机工程学报,2018,38(5):1534-1541.
SHAO Junbo,WANG Hui,HUANG Shoudao,et al.Position sensorless a position sensorless control strategy of surface-mounted permanent-magnet synchronous motors for low-speed operation [J].Transactions of China Electrotechnical Society,2018,38(5):1534-1541.