张二锋,杨更社,唐丽云,杨 琪,谢卓吾
(西安科技大学 建筑与土木工程学院,陕西 西安 710054)
摘 要:为研究分析在高地应力条件下,含水率对泥质粉砂岩损伤劣化和变形破坏规律的影响,据此在15、25和35 MPa的高围压下,通过对干燥、二种自然含水、自然饱水和强制饱水5种不同含水状态的泥质粉砂岩进行三轴压缩试验,研究岩石受到水岩作用对岩石强度、变形特性及其损伤、破坏的影响。研究结果表明:随着含水率的增大泥质粉砂岩的强度、变形特性和破坏模式等损伤劣化规律明显;基于Weibull分布,利用峰值强度和弹性模量,结合含水率与岩石损伤本构模型参数之间的关系,从而建立了可以反映多条试验曲线的统计损伤本构模型。所建立的统计损伤本构模型与试验曲线大致相吻合,可以较好地反映高应力下条件下水岩作用下岩石的水化损伤破坏。
关键词:高围压;含水率; 泥质粉砂岩;力学特性;岩石损伤
中图分类号:TD313
文献标志码:A
文章编号:0253-2336(2019)02-0014-07
ZHANG Erfeng,YANG Gengshe,TANG Liyun,YANG Qi,XIE Zhuowu
(School of Architectural and Civil Engineering, Xi’an University of Science and Technology, Xi’an 710054,China)
Abstract:In order to study and analyze water content affected to damage and degradation as well as a deformation and failure law of the argillaceous siltstone under condition of a high geo-stress, based on high surrounding pressure of 15, 25 and 35 MPa, a triaxial compression test was conducted on five different water content argillaceous siltstones with a dry, two natural water contents, natural water saturation and forced water saturation. A study was conducted on the rock with a water-rock interaction affected to the rock strength, deformation features, failure and damage. The study results showed that with the water content increased, the strength, deformation features and failure mode as well as the damage and degradation law of the argillaceous siltstone would be obvious. Based on a Weibull Distribution, with the application of the peak strength and elastic modulus, in combination with the relationship between the water content ratio and the rock damage constitutive model parameters,thus a statistical damage constitutive model to reflect multiple test curves was established. The established statistical damage constitutive model could be roughly fitted with the test curves and could well reflect the hydration damage and failure of the rock under the water-rock interaction and the condition of the high stress.
Key words:high surrounding pressure; water content;argillaceous siltstone; mechanics features; rock damage

移动扫码阅读
张二锋,杨更社,唐丽云,等.含水率对泥质粉砂岩损伤劣化规律影响研究[J].煤炭科学技术,2019,47(2):14-20.doi:10.13199/j.cnki.cst.2019.02.003
ZHANG Erfeng,YANG Gengshe,TANG Liyun,et al.Study on influence of water content to damage and degradation laws of argillaceous siltstone[J].Coal Science and Technology,2019,47(2):14-20.doi:10.13199/j.cnki.cst.2019.02.003
收稿日期:2018-09-11;
责任编辑:曾康生
基金项目:国家自然科学基金资助项目(41702339);陕西省自然科学基础研究计划资助项目(2018JQ4026)
作者简介:张二锋(1992—) ,男,陕西渭南人,硕士研究生。E-mail:woyingle101@163.com
随着我国经济的快速发展,地球浅部的矿产资源减少,资源的开采不断向地层深部发展,许多矿山的开采深度己经达到千米以上,而深部开采时的高应力在很大程度上影响了矿山的安全开采。为了实现深部矿山的安全、高产、高效开采,探索和研究地下矿山深部高应力区巷道围岩的损伤破坏规律就显得十分必要。同时地下水常常引发岩石物理力学特性的改变,使得岩石在水作用下的变形破坏更加敏感[1-2]。
岩石赋存在地应力和地下水环境中,这种环境一方面影响岩石的承载能力、变形和破坏机制,另一方面也影响岩石中应力传播法则。国内外的众多学者也开展了含水岩石或高应力下岩石的力学及损伤特性的试验研究。刘祥鑫等[3]、张安斌等[4]研究了水温对泥质粉砂岩物理力学性质的影响,得出水温对岩石的宏观破裂影响不大,水的存在使泥质粉砂岩软化破坏剧烈程度降低,力学特性影响较大;文圣勇等[5]对不同含水率红砂岩进行单轴压缩下声发射试验,分析了水对砂岩的力学特性和声发射特征的影响;康红普等[6]通过国内采用真三轴水力压裂试验系统获得的有关水力裂缝扩展规律的研究,为围岩的控制提供理论依据;VASARHELY I B等[7]也致力于岩石饱水后强度降低方面的研究;YILMAZ A B等[8]展开了水对岩石力学特性的试验研究,分析了含水率对石膏岩峰值强度和弹性模量的影响规律;刘泉声等[9-10]进行了高应力下原煤的三轴压缩与卸荷力学特性试验研究;陈景寿等[11]进行了高地应力岩石的真三轴试验研究;黄伟等[12]高围压岩石卸荷扩容性质及本构模型研究;汪辉平等[13],曹文贵等[14]分别致力于模拟岩石应变软化与深部岩石统计损伤模型。前者深入探讨岩石受力变形全过程,建立以体积应变和峰后的残余强度的损伤模型;后者通过提出深部岩石微元强度度量方式,利用峰值应力和峰值应变分别与围压之间的关系,建立了能够反映不同围压下岩石变形的统计损伤本构模型;刘坚[15]利用水岩耦合作用下岩石应力-应变曲线极值特点,建立了三轴压缩条件下的岩石损伤本构模型,为水电站大坝边坡稳定性分析提供依据。
以上研究大多建立在岩土赋存于单一水环境中或高应力环境中,笔者通过选择受水影响较大的泥质粉砂岩为对象,在3个高围压条件下,对5个不同含水率的岩样进行三轴压缩试验。通过试验,将所得的强度与损伤变形特性进行综合分析,利用峰值强度和弹性模量,结合含水率与岩石损伤本构模型参数m、F的关系,建立能够反映在不同含水率的损伤本构方程,期以对深部岩体工程中遭遇水作用岩石损伤破坏问题提供一定的工程参考价值。
试样严格按照《岩石物理力学性质试验规程》(DZ/T 02766—2015)中关于现场取样的规定,取自渭北地区某矿的深部地层未风化泥质粉砂岩。通过X射线衍射仪数据处理系统定性、定量分析确定泥质粉砂岩组成,原生矿物质量分数占66%,其中石英38.7%,斜长石8.3%,方解石6.4%,钾长石5.6%,赤铁矿4.6%,绢云母2.4%,黏土矿物含量约占34%,其中成分主要为高岭石、伊利石和绿泥石等。
岩样规格:物理试验和力学试验的试样为ø50 mm×100 mm圆柱体,符合GBT50266—2013《工程岩体试验方法标准》高径比为2.0~2.5的规定。经测定在常温条件下,岩石的物理参数平均值见表1。
表1 泥质粉砂岩试样物理力学参数平均值
Table 1 Average of physical and mechanical parameters of argillaceous siltstone

试件含水状态处理过程:干燥试样通过将试件置于烘箱内,在105 ℃温度下烘24 h取出放入干燥器内冷却至室温获得;不同含水率试件通过自由浸水法制取;当采用自由浸水法制取自然饱水试件时,先注水至试件高度的1/4处,以后每隔2 h分别注水至试件高度的1/2和3/4处,6 h后全部浸没试件,试件在水中自由吸水48 h后取出试件并除去表面水分;强制饱水试样采用真空抽气法饱法制取,利用真空饱和设备设置真空压力为-0.1 MPa,饱和容器内的水面应高于试件,在大气压力下静置4 h取出并除去表面水分[16]。试件的具体物理参数见表2。
表2 试件的物理参数
Table 2 Physical parameters of specimens

1)试验设备:本试验在西安科技大学岩土工程实验室进行,试验所需要的仪器主要包括:游标卡尺、电子天平称(精度±0.01 g)、真空饱和仪、高低温高压动态岩土三轴测试系统(图1)等。

图1 三轴压缩试验机
Fig.1 Triaxial compression testing machine
此次试验所用高低温高压动态岩土三轴测试系统主要技术参数如下:试样的三轴压缩采用位移加载方式,加载速率0.001 mm/s,轴向加载力1 500 kN,轴向加载精度0.25%,仪器能达到最大围压最大140 MPa,围压通过液压油施加,加载方式为均布加载,围压精度0.005 MPa。
2)试验方法:由于岩样取自矿井深部,故试验的围压采用15、25和35 MPa。而深部岩石的含水状态随着埋深的不同有所差异,所取自然含水状态岩石含水率在2%~4%。为了反映水对岩石力学特性的影响,试样选用干燥、2种自然含水、自然饱水和强制饱水5种含水状态。
首先用游标卡尺精确测量准备岩样尺寸并做记录备用;其次将岩样放置在试验机上用热缩管包裹好,以防止在试验过程中液压油侵入试样,影响试样的力学性能;然后安装位移传感器,并将试件放入试验机对试样施加预订的围压;最后利用收据采集及控制系统对试样施加轴向应力,同时加载系统自动记录试验数据,使之失去承载能力而破坏。
通过试验研究得到了泥质粉砂岩全应力-应变曲线,一方面通过含水率,高围压变化对试件的强度、变形特性及其破坏形式与机制进行分析,另一方面,为了进一步描述含水率对岩石的损伤破坏的发展,对峰值强度和弹性模量进行拟合为后续的损伤分析提供依据。
为探究泥质粉砂岩在高地应力、地下水条件下岩石受到水岩作用下岩石损伤宏观力学表现,从而得到岩样的全应力应变曲线,如图2所示,以15 MPa干燥状态为例,压密阶段(o—a段)曲线明显上凹这与岩石材料初始损伤即岩石内微裂纹,空隙有关,这一阶段就是岩石初始损伤的实质性表现;线弹性阶段(a—b段),岩石的原始损伤稳定,应力应变近似成正比;塑性屈服阶段(b—c段),岩石损伤进一步扩展,曲线明显下凹,岩石材料超过了其屈服极限,内部产生新的裂隙和损伤,直至岩石强度达到峰值,这一阶段是岩石损伤扩展的最初表现;应变软化阶段(c—d段),当岩石强度达到极限后,应力随应变的增大而降低,岩石内的损伤裂隙进一步扩展,体积明显增大直至断裂破坏,这一阶段是岩石损伤扩展的实质性表现。

图2 高围压下不同含水率泥质粉砂岩应力-应变曲线
Fig.2 Stress - strain curves of different water contents argillaceous siltstone under high confining pressure
为了进一步研究不同含水率对泥质粉砂岩三轴抗压强度的影响,将不同含水率的峰值强度的对应关系绘制在同一坐标中,如图3所示。

图3 峰值应力σ与含水率ω的关系
Fig.3 Relationship between peak stress and water content
由图3可知,峰值强度与含水率大致有着负线性的变化关系,即随着含水率的增大峰值强度在不断地降低。在15 MPa围压下,含水率从0%到8%,岩样的峰值强度从41.659 MPa降到了10.347 MPa,强度降低了75.16%。同一围压下,有着相同的规律。但是在同一含水率下,峰值强度的变化与围压也有一定的变化规律,即随着围压的增大,虽然饱水试件的峰值强度在增加,但其与干燥试件的峰值强度的相对比值在减小,究其原因,除了与岩样的本身结构有关,主要是由于干燥试样的强度对围压的敏感程度要大于饱水试件强度对围压的敏感度。干燥试件的峰值强度随围压增长快,而饱水试样的峰值强度随围压的增长较慢,从而造成两者的相对比值减小。

图4 弹性模量E与含水率ω关系
Fig.4 Relationship between elastic modulus and moisture content
试验结果表明,岩石赋存在地应力和地下水环境中,一方面影响岩石的承载能力、变形和破坏机制,另一方面也影响岩石中应力传播法则。由于试样本身不是理想的均质连续弹性体以及含水率的不同,其弹性模量随含水率的增加也不是完全的线性关系。试样的弹性模量与含水率之间的关系如图4所示,在不同围压下,弹性模量与含水率呈指数递减关系,即随着含水率的增大弹性模量的降低速率越来越慢,试件从干燥状态到含水状态弹性模量的降低比较明显,随着含水率的进一步增大弹性模量的降低趋于缓慢,由此可见水对试件的弹性模量影响比较大,在35 MPa围压下,从岩样的干燥状态到2%含水率状态,弹性模量从36.86 GPa降低到18.59 GPa,降低了49.58%,由此可见对水泥质粉砂岩变形比较敏感,在实际的工程应用中,应严格控制泥质粉砂岩的含水量,以减少不必要的工程损失。同时随着围压的增大,弹性模量与含水率指数关系愈加明显,由此可见围压对弹性模量的增加也有一定的贡献,不过含水率占主导因素。
不同含水状态下试样破坏形式也有所差异,根据含水状态的不同,可大致分为以下几种形式:张拉劈裂破坏、单斜面剪切破坏、X形剪切破坏和延性破坏(图5)。其中试件在干燥状态下岩石表现出明显的脆性,主要发生张拉劈裂破坏。产生这种破坏的原因是由于在轴向荷载作用下,岩石横向产生拉应力,横向拉应力超过岩石极限抗拉强度使得纵向裂隙从上而下贯通。在自然含水状态下(含水率2%、4%),随着含水率的增大岩样侧壁出现了稍微的隆起,最终破坏形式主要以剪切斜裂纹为主,这2种破坏都是由破坏面上的剪应力超过极限引起的。随着含水率的进一步增大,饱水状态的岩石发生延性破坏,主要表现为在破坏之前先出现了较大的变形(侧壁隆起)且没有明显的破坏荷载出现,表现出显性的塑性变形,最终试件变成粗腰桶形。

图5 不同含水状态泥质粉砂岩的破裂形式
Fig.5 Fracture mode of argillaceous siltstone in different water - bearing states
在荷载作用下岩样的破裂形式是多种多样的,除了与岩样的本身结构有关,含水状态,外荷载对岩样的破坏也有一定的影响作用,总体而言,水的存在以及围压的增大的使得试件的延性增强都使得试样的破坏由脆性向塑性过渡。
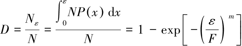
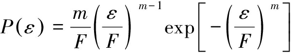
岩石材料其内部各种缺陷是随机分布且相互独立,因此运用强度统计理论的观点建立统计损伤是合适的。假设岩石强度服从Weibull分布[17-18],有
(1)
式中:ε为岩石材料的应变;m、F为材料的物理力学性质参数。
若将岩石中发生破坏的微元体数Nε占微元数总数N的比例定义为岩石统计损伤变量D,其范围为0~1,D反映出了岩石材料内部的损伤程度,则岩石损伤变量为

(2)
不考虑主应力σ2和σ3则泥质粉砂岩三轴压缩状态下的轴向应力-应变关系为:
(3)
损伤统计本构模型的参数m、F可以通过水岩作用的泥质粉砂岩应力-应变曲线峰值点强度点C(εc,σc)确定。峰值点强度C(εc,σc)处的斜率为0,当ε=εc则有
(4)
同时峰值点强度 C(εc,σc)处σc值满足关系式为
(5)
由式(4)、式(5)整理得
m=[ln(Eεc/σc)]-1
(6)
F=εc[ln(Eεc/σc)]m
(7)
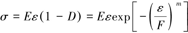
前期进行的弹性模量E与含水率有着良好的指数函数关系,以35 MPa为例,其相关方程为
E=31.929exp(-ω/2.963)+4.43
(8)
由式(10)可得弹性模量与含水率定量关系为
E=aE0exp(-ω/b)+c
(9)
式中:E0 为拟合参数曲线上干燥状态下的弹性模量;系数a、b 、c为拟合系数。
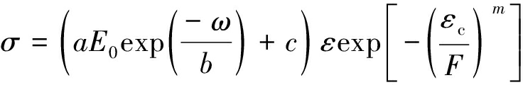
根据上述理论推导,将式(6)、式(7)、式(9)代入(3)可得不同含水率泥质粉砂岩统计损伤本构模型为
(10)
基于Weibull分布的统计损伤本构模型,参数m、F是建立水岩作用下岩石损伤本构方程的关键。基于以往三轴试验所建立的本构方程大多基于1条试验曲线,无法反映多条试验曲线的综合结果。因此,可以通过建立损伤统计参数与含水率的关系反映多条试验曲线达到修正岩石统计损伤本构模型的目的。
依据以上推导直接解方程求解统计参数m、F具有严格的数学逻辑,但求解过程复杂,因此,通过数据拟合分析含水率对Weibull分布损伤本构参数的影响,求解统计损伤本构参数m、F。依据试验测得不同围压下试验数据,取3次试验数据的平均值,求得不同含水率岩石的应力-应变试验曲线的损伤本构方程参数m和F。如果以m和F为纵坐标,含水率为横坐标,即可得到m—ω与F—ω散点图,如图6所示。

图6 Weibull分布参数随含水率的变化关系
Fig.6 Parameter variation with different water contents based Weibull Distribute
在Weibull分布中,参数m物理意义可以理解为岩石脆性的参数;参数F物理意义可以理解为岩石的宏观强度,两者共同影响岩石的损伤力学特性。随着含水率的增大,参数m、F均逐渐减小,说明随着含水率的增大,导致岩石的脆性降低,强度降低。依据散点图分别进行多项式拟合,得
m=0.84-0.20ω+0.01ω2
(11)
F=2.79-0.41ω+0.03ω2
(12)
由上式求解损伤本构方程参数m和F过程简单,且可以反映多条试验曲线综合结果,对于预测不同含水率泥质粉砂岩统计损伤分析具有较好的参考价值。
根据上述理论推导,利用含水率与Weibull分布岩石损伤本构模型参数m、F的关系,建立了可以反映不同围压多条试验数据的泥质粉砂岩损伤劣化统计本构模型。为了进一步验证不同含水率的泥质粉砂岩损伤统计本构模型式的合理性,限于篇幅,选取围压为35 MPa的拟合曲线数据,E0=36.86 GPa,a=0.866, b=2.963,c=4.43,进行示例分析。统计本构参数m、F由上述过程含水率与统计本构参数的拟合曲线给出。将数据带入式(10)可以计算得到的不同含水率的泥质粉砂岩统计损伤本构模型。通过计算得到35 MPa围压下峰前应力-应变与试验应力-应变曲线对比,如图7所示。

图7 围压35 MPa损伤本构模型与试验曲线比较
Fig.7 Comparison of damage constitutive model and test curves under confining pressure of 35 MPa
由图7可知,模拟的峰值前的不同含水率下的泥质粉砂岩损伤统计本构模型与试验所得应力-应变在线弹性阶段的趋势大致相同,模型曲线与试验曲线的峰值强度、弹性模量近似相等,由此可知,应用此模型可以很好的预测受水损伤的泥质粉砂岩弹性阶段强度与变形发展,为实际工程提供一定参考。
通过在高围压下对不同含水率的泥质粉砂岩进行三轴压缩试验,分析了岩石受到水岩作用对岩石强度、变形特性及其损伤、破坏的影响。研究所得结论如下:
1)通过对泥质粉砂岩三轴压缩过程的损伤分析中得到泥质粉砂岩的峰值强度,弹性模量受含水率的影响较大,从干燥状态到强制饱水状态峰值强度减少量超过75%,从干燥状态到2%含水状态弹性模量减少量超过49%,含水率与岩样的峰值强度呈现一定的线性函数关系,与弹性模量呈现一定的指数函数关系且随着围压增大这种指数关系也就越明显。干燥试样的强度对围压的敏感程度要大于饱水试件强度对围压的敏感度,随着围压增大且表现出岩石由脆性向延性的转化。
2)对比分析表明,泥质粉砂岩的破坏形式受含水率影响较大,高围压影响相对较小,干燥状态岩石以脆性方式破坏为主,自然含水状态岩石以剪切破坏居多,随着含水率的增大,饱水状态的岩石发生延性破坏。
3)基于Weibull分布,重点探讨含水率与岩石损伤本构模型参数m、F的关系,结合水岩作用下岩石损伤破坏过程全应力-应变试验曲线的特点,从而建立了可以反映多条试验曲线的统计损伤本构模型。所建立的统计损伤本构模型与试验曲线大致相吻合,可以较好地反映高应力下条件下水岩作用下岩石的水化损伤破坏。
参考文献:
[1] 李 根.基于模拟的水岩耦合变形破坏过程及机理研究[D].大连:大连理工大学,2011.
[2] 李 根,唐春安,李连崇.水岩耦合变形破坏过程及机理研究进展[J].力学进展,2012,42(5):593-619.
LI Gen,TANG Chunan,LI Lianchong.Research progress of rock-water coupling deformation failure process and mechanism[J].Advances in Mechanics,2012,42(5):593-619.
[3] 刘祥鑫,梁正召,田宝柱,等.水温对泥质粉砂岩物理力学性质的影响[J].地下空间与工程学报,2014,10(3):586-592.
LIU Xiangxin,LIANG Zhengzhao,TIAN Baozhu,et al.Influence of water temperature on mechanical properties of argillaceous siltstone by experimental study[J].China Journal of Underground Space and Engineering,2014,10(3):586-592.
[4] 张安斌,张 鹏,刘祥鑫,等.水对泥质粉砂岩物理力学性能影响的试验研究[J].煤炭科学技术,2015,43(8):67-71.
ZHANG Anbin,ZHANG Peng,LIU Xiangxin,et al.Test study on water affected to physical mechanics performances of muddy siltstone[J].Coal Science and Technology,2015,43(8):67-71.
[5] 文圣勇,韩立军,宗义江,等.不同含水率红砂岩单轴压缩试验声发射特征研究[J] .煤炭科学术,2013,41(8):46-48.
WEN Shengyong,HAN Lijun,ZONG Yijiang,et al.Study on acoustic emission characteristics of sandstone uniaxial compression test with different moisture content[J].Coal Science and Technology,2013,41(8):46-48.
[6] 康红普,冯彦军.煤矿井下水力压裂技术及在围岩控制中的应用[J].煤炭科学技术,2017,45(1):1-9.
KANG Hongpu,FENG Yanjun.Hydraulic fracturing technology and its applications in strata control in underground coal mines[J].Coal Science and Technology,2017,45(1) :1-9.
[7] VASARHELY I B,VAN P.Influence of water content on the strength of rock[J].Engineering Geology,2006,84(1/2):70-74.
[8] YILMAZ Isik.Influence of water content on the strength and deformability of gypsum[J].International Journal of Rock Mechanics and Mining Sciences,2010,47 (2):342-347.
[9] 刘泉声,刘恺德,朱杰兵,等.高应力下原煤三轴压缩力学特性研究[J] .岩石力学与工程学报,2014,33(1):24-34.
LIU Quansheng,LIU Kaide,ZHU Jiebing,et al.Study of mechanical properties of raw coal under high stress with triaxial compression[J].Chinese Journal of Rock Mechanics and Engineering,2014,33(1):24-34.
[10] 刘泉声,刘恺德,卢兴利,等.高应力下原煤三轴卸荷力学特性研究[J].岩石力学与工程学报,2014,33(S2):3429-3438.
LIU Quansheng,LIU Kaide,LU Xingli,et al.Study of mechanical properties of raw coal under high stress with triaxial unloading[J].Chinese Journal of Rock Mechanics and Engineering,2014,33(S2):3429-3438.
[11] 陈景涛,冯夏庭.高地应力下岩石的真三轴试验研究[J] .岩石力学与工程学报,2006,25(8):1537-1543.
CHEN Jingtao,FENG Xiating.True triaxial experimental study on rock with high stress[J].Chinese Journal of Rock Mechanics and Engineering,2006,25(8):1537-1543.
[12] 黄 伟,沈明荣,张清照.高围压下岩石卸荷扩容性质及其本构模型研究[J].岩石力学与工程学报,2010,29(S2):3475-3481.
HUANG Wei,SHEN Mingrong,ZHANG Qingzhao.Study of unloading dilatancy property of rock and its constitutive model under high confining pressure[J].Chinese Journal of Rock Mechanics and Engineering,2010,29(S2):3475-3481.
[13] 汪辉平,曹文贵,王江营,等.模拟岩石应变软化变形全过程的统计损伤本构模型研究[J].水文地质工程地质,2013,40(4):44-49.
WANG Hunping,CAO Wengui,WANG Jiangying,et al.A study of the statistical damage constitutive model of rocks considering a full deformation process[J].Hydrogeology & Engineering Geology,2013,40(4):44 -49.
[14] 曹文贵,戴 笠,张 超,等.深部岩石统计损伤本构模型研究[J].水文地质工程地质,2016,43(4):60-65.
CAO Wengui,DAI Li,ZHANG Chao,et al.A study of statistical damage constitutive models for deep earth rocks[J].Hydrogeology & Engineering Geology,2016,43 (4):60-65.
[15] 刘 坚.考虑水岩耦合作用的水电站边坡岩石损伤模型[J].水利科技与经济,2017,23(2):74-78.
LIU Jian.Rock damage model of hydropower station slope considering coupling effect water-rock interaction[J].Water Conservancy Science and Technology and Economy,2017,23(2):74-78.
[16] 工程岩体力学试验方法标准(GB/T50266-99)[S].
[17] 贺永年,韩立军,邵 鹏,等.深部巷道稳定的若干岩石力学问题[J].中国矿业大学学报,2006,35(3):288-295.
HE Yongnian,HAN Lijun,SHAO Peng,et al.Some problems of rock mechanics for roadways stability in depth[J].Journal of China University of Mining & Technology,2006,35(3):288-295.
[18] 曹瑞琅,贺少辉,韦 京.基于残余强度修正的岩石损伤软化统计本构模型研究[J] .岩土力学,2013,34(6) :1652-1660.
CAO Ruilang,HE Shaohui,WEI Jing.Study of modified statistical damage softening constitutive model for rock considering residual strength[J].Rock and Soil Mechanics,2013,34(6):1652-1660.