采空区破碎砂岩承压变形特性试验研究

孙亚楠1,2,张培森1,2,颜 伟1,2,闫奋前1,2,吴俊达1,2

(1.山东科技大学 矿山灾害预防控制省部共建国家重点实验室培育基地,山东 青岛 266590;2.矿业工程国家级实验教学示范中心,山东 青岛 266590)

摘 要:为研究采空区直接顶垮落后碎石在各种状态下的承载能力,利用破碎岩石变形—渗流试验系统进行了破碎砂岩的压缩变形试验,分析了粒径大小、级配组合、饱水状态、加载方式4种因素变化对破碎砂岩变形特性的影响。研究结果表明:破碎砂岩的应力-应变关系与碎石粒径大小、级配组合、饱水状态及加载方式密切相关;不同粒径组碎石其应力-应变关系均可用指数函数表示,且相同应力作用下大粒径组碎石应变增加较快;随着级配指数n的增加,级配碎石组中大粒径碎石含量增多,试验应力加载终点应变相应增大;被水软化过的同一级配碎石在相同应力作用下其应变增量明显大于干燥状态下碎石应变增量,饱水作用使得破碎砂岩的承载能力降低了近14%;循环加卸载作用下碎石应力-应变关系仍可用指数函数表示,且循环加卸载作用下碎石应变终值约为连续加载碎石应变终值的1.25倍。研究结果可为采空区地表沉降与围岩变形控制提供了理论指导。

关键词:岩石力学;饱水破碎岩石;承压变形;循环加卸载

0 引 言

煤层顶板破碎岩石压实后的力学性能一直是岩土与采矿工程中的重要研究课题。煤层开采后,采空区垮落的破碎岩石在地下水与上覆岩层自重荷载的反复作用下极易产生较大的压缩变形,而其压缩变形特性又是引起采空区覆岩垮落与地表沉陷的重要影响因素,因此开展破碎岩石压缩变形特性试验研究对采空区地表沉陷与上覆岩层稳定性分析具有重要意义。缪协兴等[1]通过自行设计的试验设备,较早的开展了破碎岩石碎胀与压实特性研究,对煤、砂岩、石灰岩3种岩煤样的碎胀系数、碎胀曲线、压实曲线与侧压曲线等进行了较为系统的分析说明。文献[2-4]从岩石压实过程中的应力-应变关系角度着手分析,研究了岩石强度、岩性、粒径配比、加载速率等因素对破碎岩石应力-应变特性的影响。文献[5-8]分析了浸水时间、级配、轴向压缩位移等因素影响下试样的压缩变形与分形特性,为承压条件下饱和破碎岩石的强度、轴向变形及粒径分布特征等的研究提供了理论依据。文献[9-13]进行了一系列循环加卸载作用下岩煤样的变形及强度特征分析试验,并借助声发射装置,探讨了饱和条件下岩石的力学特性、声发射特征、加卸载响应的变化情况。文献[14-18]基于Mohr-Coulomb破坏准则,采用实验室测试与数值计算相结合的研究方法,利用有限元方法对压头作用下岩石破碎过程进行了模拟,并采用分形理论有效表征了压头作用下岩石的破碎过程。

目前,对破碎岩石(碎石)的研究大多停留在某项因素作用下对岩石变形特性的各种表征上,研究深度虽大幅度增加,但研究广度并不能较好的运用于工程现场。实际中,碎石所处的环境是复杂多变的,单一因素的考虑并不能满足实际工程的需要,为进一步精确模拟破碎岩石在地下工程开采中的压缩变形情况,笔者主要从粒径、级配组合、饱水状态、应力加载方式4方面着手对工程现场破碎岩石进行了压缩变形试验,从应力-应变特性角度对4种因素作用下破碎岩石的变形特性进行了定量的比较分析,为采空区地表沉降与围岩变形控制研究提供了理论参考依据。

1 碎石压缩试验装置及试验方案

1.1 试验材料制备

选择安徽恒源煤矿深部采出的叶片状砂岩作为试验岩样,按岩石物理力学性质测定方法将岩样加工成标准试样,进行基本物理力学参数测试,各项物理力学参数见表1。

表1 砂岩物理力学参数

Table 1 Standard physical parameters of sandstone

密度ρ/(g·cm-3)抗压强度σc/MPa抗拉强度σt/MPa弹性模量ET/GPa泊松比v内摩擦角φ/(°)2.5245.115.7125.10.2532.6

在对多个矿井采空区查勘的基础上,结合试验舱尺寸,考虑尺寸效应的影响,最终确定试验用破碎岩石粒径为0~10 cm,将采出的叶片状砂岩进行机械破碎,筛分成0~2 cm、2~4 cm、4~6 cm、6~8 cm与8~10 cm 五组粒径试样。在进行饱和破碎岩石承压变形试验研究时,需利用真空饱和装置将碎石进行真空饱和处理。

1.2 试验装置

压实试验装置采用破碎岩石变形—渗流试验系统,该试验系统由主体承载支架、试验舱、承压水仓、储能罐、水压水量双控伺服系统和位移应力双控伺服系统组成[19]

1.3 试验方案设计

试验分成4组,4组试验间相互形成参照组,以便于后续对比分析。

第1组主要是研究5组不同粒径碎石(0~2 cm、2~4 cm、4~6 cm、6~8 cm、8~10 cm)在干燥、连续加载作用下的承压变形情况。

第2组主要是研究7组不同级配指数(n=0.2~0.8)碎石在干燥、连续加载作用下的承压变形情况。

第3组主要是研究级配指数n=0.2时,饱水、连续加载作用对碎石承压变形情况的影响。

第4组主要是研究级配指数n=0.2时,饱水、循环加卸载作用对碎石承压变形情况的影响。

以上4组碎石试验过程中加载速率均为0.5 kN/s,荷载施加范围均为0~450 kN。

根据工程经验,定义碎石名义轴向应力[2],即

(1)

式中:σ为试验岩石轴向应力,Pa;P为作用在碎石上的轴向载荷,N;A为试验舱截面面积,m2

定义碎石名义轴向应变,即

(2)

式中:ε为碎石名义轴向应变;Δh为试样压缩量,m;h为碎石试样装料高度,m。

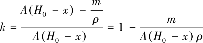
根据位移应力双控伺服系统记录碎石各时刻轴向位移x,则其各时刻空隙率k

(3)

式中:H0为碎石初始高度,m;x为碎石轴向位移,m;m为试验缸筒内碎石质量,kg;ρ为试验碎石密度(由密度试验测得,原岩密度为2.524 g/cm3)。

通常用碎石残余碎胀系数来表示岩石压实后体积逐渐减小并最终达到一个稳定值的特性,破碎岩石承压变形后的残余碎胀系数K

(4)

式中:V0为碎石初始体积,m3V1为碎石各时刻承压变形后的体积,m3

2 碎石压缩试验结果及分析

2.1 不同粒径破碎砂岩压缩变形特性

试验设计时,将各组碎石逐一放置在试验缸筒内,使其自然堆积高度均接近32 cm,各组分之间误差不超过0.5 cm,试验中各组碎石自然堆积高度与用量见表2。

表2 不同粒径破碎岩石堆积参数

Table 2 Crushed sandstone packing parameters according to its particle size

组别粒径/cm堆积高度/cm质量/g体积/cm3密度/(g·cm-3)粒径 10~232.2856 44040 546.191.392粒径 22~432.1151 25040 323.881.271粒径 34~632.0747 78040 282.431.186粒径 46~832.2646 39040 513.541.145粒径 58~1031.9145 57040 075.191.137

利用位移应力双控伺服系统,对试验缸筒内干燥碎石进行逐级加载,实时记录轴向荷载施加情况与碎石位移随时间变化情况,5组粒径碎石应力—应变关系如图1所示。

由图1可看出,对于整个加载过程而言,5组粒径碎石低应力阶段应变增加率均大于高应力阶段。加载初期碎石颗粒间接触方式多以点—点为主,构成十分松散的骨架,空隙尺寸较大且碎石颗粒间连通性较好,整体抵抗变形的能力较弱,变形发展较快。随着应力的增加,颗粒相互挤压并重新排列,一部分碎石在荷载作用下被挤压变形甚至破碎,小颗粒碎石逐渐充填碎石之间空隙,碎石间形成更为致密的结构,接触方式由点—点接触逐渐过渡到点—面、面—面接触,此时碎石抵抗变形的能力逐渐增大,故出现低应力阶段应变增加率大于高应力阶段的现象。

图1 不同粒径碎石应力-应变关系

Fig.1 Stress-strain curves for sandstone samples composed of different individual crushed rock grades

对上述5组粒径碎石应力-应变关系曲线进行线性回归分析,结果见表3。

表3 不同粒径破碎岩石应力—应变关系

Table 3 Stress-strain relations of different grades of crushed sandstone

组别粒径/cm回归方程相关系数R2粒径 10~2σ=0.041 1e24.634εR2=0.987 3粒径22~4σ=0.048 4e23.288εR2=0.986 1粒径34~6σ=0.078 4e19.874εR2=0.995 9粒径46~8σ=0.998 3e18.216εR2=0.998 3粒径58~10σ=0.125 3e16.366εR2=0.997 2

由表3可得,各组碎石应力-应变均呈指数函数关系,利用线性函数进行曲线拟合,其相关系数均在0.98以上,因此碎石应力-应变曲线可统一采用式(5)表示:

σ=αeβε

(5)

式中:αβ分别为与碎石岩性相关的回归系数。

2.2 不同级配破碎砂岩压缩变形特性

利用Talbol连续级配理论[20]进行不同级配碎石的粒径配比,规定各组级配碎石质量均为50 kg,对不同级配指数下7组级配碎石进行0~450 kN的连续加载试验,各组级配碎石应力-应变曲线如图2所示。

图2 不同级配指数下碎石应力-应变关系

Fig.2 Stress-strain curves for sandstone samples with different grading indexes

由图2可看出,应力施加初期,不同级配指数下各组级配碎石应变增长均较快,当应力大于1.2 MPa后,碎石应变增加变缓,且各组碎石之间应变差距变大;当应力大于2.0 MPa后各组碎石应变差距变化明显,相同轴向压力作用下,级配指数n大的级配碎石组应变相对较大。

造成这种现象的原因可解释为,应力加载初期(0~1.2 MPa)碎石变形量大多是由于碎石间空隙压缩形成的,不同粒径碎石间存在大量空隙,应力作用下极易产生变形,因此该阶段碎石应变增长较快;应力加载中期(1.2~2.0 MPa)碎石已初步压密且形成了相对稳定的整体抵抗外部变形,因此该阶段碎石应变增加率相比上一阶段有所降低;应力加载末期各组级配碎石应变终值差距明显,主要是由于随着级配指数n的增加,级配碎石组中大粒径碎石所占百分比增多,其不同粒径间的空隙率也相应增大,荷载作用下空隙率大的级配碎石组更容易发生变形,故而级配指数n大的碎石组,应变终值也相对较大。

2.3 饱水级配破碎砂岩压缩变形特性

选择级配指数n=0.2的级配破碎砂岩(50 kg)置入试验缸筒内进行饱水试验,使其碎石内部孔隙充满水,在此基础上开展0~450 kN的连续加载压缩变形试验,将试验过程中记录的饱水级配碎石应力-应变关系曲线与前期相同级配指数下干燥碎石连续加载应力-应变曲线进行对比,结果如图3所示。

图3 干燥与饱水级配碎石应力-应变关系曲线

Fig.3 Stress-strain curves of dry and water-saturated sandstone samples

由图3可得,被水软化过的碎石在相同应力作用下其应变明显大于干燥状态下的碎石。水的软化作用削弱了碎石颗粒间的黏聚力[21-22],水分子进入岩样内部,降低了岩样内部颗粒间的粒间联系,使岩样在破裂时所需的能量减小,碎石强度降低,荷载作用下更易产生变形。其次,通过定量的分析比较,饱水作用使得破碎砂岩的承载能力降低了近14%,水的软化作用对破碎砂岩作用显著。

2.4 循环加卸载作用下饱水级配破碎砂岩压缩变形特性

选用级配指数n=0.2的饱水碎石进行0~450 kN多级循环加卸载试验。试验共设置8个循环阶段,各阶段均以50 kN为循环加载起始值,并以50 kN为相邻循环间隔,逐次进行各阶段循环加卸载试验,试验加卸载过程及各阶段应力-应变关系如图4a所示。

图4 饱水级配碎石应力-应变关系及各加载阶段恢复率

Fig.4 Stress-strain relationship and recovery rate of water-saturated sandstone at each loading stage

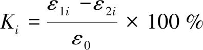
由图4a可看出,饱水级配碎石在轴向多级循环加卸载作用下,其应力-应变整体仍符合指数函数关系,对各阶段而言,应力卸载后其应变均有所恢复,但恢复率较低。为深入研究各阶段碎石应变恢复情况,按式(6)对各阶段应变恢复率进行定量计算,结果如图4b所示。

i个阶段碎石应变恢复率Ki

(6)

式中:ε0为碎石总应变;ε1i为碎石第i阶段恢复前应变;ε2i为碎石第i阶段恢复末应变。

由图4b可看出,随着循环加卸载次数的增加碎石恢复率逐渐降低,由最初的1.94%降至0.39%。究其原因可分析为随着循环加卸载次数的增加,由不同粒径碎石组成的骨架结构逐渐遭到破坏。循环加卸载初期各粒径碎石间相互嵌挤密实形成相对稳定的整体抵抗外部荷载作用,该阶段碎石处于弹性变形范围,卸载后碎石恢复率相对较高;循环加卸载末期,碎石骨架结构逐渐遭到破坏,碎石被挤压密实,卸载后变形难以恢复,故该阶段恢复率较低。

对比饱水条件下相同级配碎石连续加载应力-应变曲线可发现,应力施加初期,连续加载作用下碎石的应变增长较快,随着循环次数及应力水平的逐级增加,循环加卸载作用下碎石应变终值大于连续加载作用下碎石应变终值,2种试验条件下碎石应力-应变关系对比如图5所示(n=0.2)。

图5 连续加载与循环加卸载作用饱水碎石应力-应变曲线

Fig.5 Stress-strain curves of water-saturated sandstone samples under continuous loading and under cyclic loading and unloading

针对上述4部分试验,对其试验结果进行分析可知,在相同应力作用下,饱水状态,无水状态、循环加卸载作用,连续加载作用碎石应变依次减小。从碎石形变量分析,无水级配碎石连续加载条件下碎石应变终值为0.215,饱水级配碎石连续加载条件下碎石应变终值约为前者的1.15倍,饱和级配碎石循环加卸载条件下碎石应变终值约为无水级配碎石连续加载条件下的1.25倍。由此可见,饱水状态与循环加卸载作用不同程度地对碎石承压特性造成了劣化影响。

3 结 论

1)在连续加载过程中,较大粒径碎石应变增加较快,且不同粒径碎石其应力-应变关系均可用指数函数表示。随着级配指数n的增大,级配碎石组中大粒径碎石含量增多,相同轴向压力作用下,级配指数n大的级配碎石组,其加载过程中的应变变化相对较大。

2)水的软化作用使碎石承载能力低于相同条件下干燥碎石的承载能力,水饱和作用使得碎石支撑作用减弱。

3)循环加卸载作用下碎石的应力-应变关系与连续加载作用下碎石的应力-应变关系具有明显的相似性,两者均符合指数函数。与连续加载作用相比,循环加卸载作用下碎石应变增量在荷载施加初期较小,荷载施加后期碎石应变终值大于连续加载作用下碎石应变终值,循环加卸载对碎石具有更大的破坏性。

参考文献(References):

[1] 缪协兴,茅献彪,胡光伟,等.岩石(煤)的碎胀与压实特性研究[J].实验力学,1997,12(3):64-70.

LIAO Xiexing, MAO Xianbiao, HU Guangwei, et al. Research on broken expand and characteristics of rocks and coals [J]. Journal of Experimental Mechanics,1997,12(3):64-70.

[2] 马占国,郭广礼,陈荣华,等.饱和破碎岩石压实变形特性的试验研究[J].岩石力学与工程学报,2005,24 (7):1139-1144.

MA Zhanguo, GUO Guangli, CHEN Ronghua, et al. An experimental study on the compaction of water-saturated over-broken rock [J]. Chinese Journal of Rock Mechanics and Engineering, 2005,24 (7):1139-1144.

[3] 褚廷湘,李 品,晁江坤,等.承压破碎煤体碎胀系数演变特征与机制[J].煤炭学报,2017,42(12):3182-3188.

CHU Tingxiang, LI Pin, CHAO Jiangkun, et al. Bulking coefficient evolution characteristics and mechanism of compacted broken coal [J]. Journal of China Coal Society, 2017,42(12):3182-3188.

[4] 苏承东,顾 明,唐 旭,等.煤层顶板破碎岩石压实特征的试验研究[J].岩石力学与工程学报,2012,31(1):18-26.

SU Chengdong, GU Ming, TANG Xu, et al. Experiment study of compaction characteristics of crushed stones from coal seam roof [J]. Chinese Journal of Rock Mechanics and Engineering, 2012,31(1):18-26.

[5] 郁邦永,陈占清,吴疆宇.级配饱和破碎岩石压缩变形与分形特性试验研究[J].采矿与安全工程学报,2016,33(2):342-347.

YU Bangyong, CHEN Zhanqing, WU Jiangyu. Experimental study on compaction and fractal characteristics of saturated broken rocks with different initial gradations [J]. Journal of Mining and Safety Engineering, 2016,33(2):342-347.

[6] 郁邦永,陈占清,吴疆宇,等.饱和级配破碎泥岩压实与粒度分布分形特征试验研究[J].岩土力学,2016,37(7):1887-1894.

YU Bangyong, CHEN Zhanqing, WU Jiangyu, et al. Experimental study of compaction and fractal properties of grain size distribution of saturated crushed mudstone with different gradations [J]. Rock and Soil Mechanics, 2016,37(7):1887-1894.

[7] 张天军,陈佳伟,包若羽,等.不同浸水时间级配破碎煤样的粒度分布分形特征[J].采矿与安全工程学报,2018,35(3):598-604.

ZHANG Tianjun, CHEN Jiawei, BAO Ruoyu, et al. Fractal characteristics of particle size distribution of broken coal samples with different immersion time [J]. Journal of Mining and Safety Engineering, 2018,35(3):598-604.

[8] 刘 帅,杨更社,董西好.干湿循环对红砂岩力学特性及损伤影响试验研究[J].煤炭科学技术,2019,47(4):101-106.

LIU Shuai, YANG Gengshe, DONG Xihao. Experimental study on influence of wetting-drying cycles on mechanical characteristics and damage of red sandstone [J]. Coal Science and Technology, 2019, 47(4):101-106.

[9] 夏 冬,杨天鸿,王培涛,等.干燥及饱和岩石循环加卸载过程中声发射特征试验研究[J].煤炭学报,2014,39(7):1243-1247.

XIA Dong, YANG Tianhong, WANG Peitao, et al. Experimental study of acoustic emission characteristics of dry and saturated rocks during cyclic loading process [J]. Journal of China Coal Society, 2014,39(7):1243-1247.

[10] 刘海涛,秦 涛.砂岩循环加卸载下损伤特性及声发射Kaiser效应研究[J].煤炭科学技术,2019,47(6):73-80.

LIU Haitao, QING Tao. Study on damage characteristics and acoustic emission Kaiser effect of sandstone under cyclic loading and unloading conditions [J]. Coal Science and Technology, 2019,47(6):73-80.

[11] 苏承东,熊祖强,翟新献,等.三轴循环加卸载作用下煤样变形及强度特征分析[J].采矿与安全工程学报,2014,31(3):456-461.

SU Chengdong, XIONG Zuqiang, QU Xinxian, et al. Analysis of deformation and strength characteristics of coal samples under the triaxial cyclic loading and unloading stress path [J]. Journal of Mining and Safety Engineering, 2014,31(3):456-461.

[12] 韩 兵,杨宏伟.不同围压下页岩三轴压缩声发射能量分布特性研究[J].煤炭科学技术,2019,47(4):90-95.

HAN Bing, YANG Hongwei. Study on distribution characteristics of shale triaxial compression acoustic emission energy under different confining pressures [J]. Coal Science and Technology, 2019,47(4):90-95.

[13] 汤传金,姚强岭,王伟男,等.干燥-饱和循环作用下砂质泥岩抗剪性能劣化试验研究[J].煤炭学报,2019,44(3):882-890.

TANG Chuanjin, YAO Qiangling, WANG Weinan, et al. Experimental study on damage characteristics of sandy mudstone under the action of water [J].Journal of China Coal Society, 2019,44(3):882-890.

[14] 朱德福,屠世浩,袁 永,等.破碎岩体压实特性的三维离散元数值计算方法研究[J].岩土力学,2018,39(3):1047-1055.

ZHU Defu, TU Shihao, YUAN Yong, et al. An approach to determine the compaction characteristics of fractured rock by 3D discrete element method [J]. Rock and Soil Mechanics, 2018,39(3):1047-1055.

[15] 尹光志,马 波,刘 超,等.真三轴应力条件下加卸荷速率对砂岩力学特性与能量特征的影响[J].煤炭学报,2019,44(2):454-462.

YIN Guangzhi, MA Bo, LIU Chao, et al. Effect of loading and unloading rates on mechanical properties and energy characteristics of sandstone under true triaxial stress [J].Journal of China Coal Society, 2019,44(2):454-462.

[16] 曹 钧,沈志康,胡永乐,等.冲击作用下岩石破碎比功理论分析及模糊预测模型[J].岩土力学,2012,33(S2):145-149.

CAO Jun, SHEN Zhikang, HU Yongle, et al. Research on broken expand and press solid characteristics of rocks and coals [J]. Rock and Soil Mechanics, 2012,33(S2):145-149.

[17] 郁邦永,陈占清,戴玉伟,等.饱和破碎砂岩压实过程中粒度分布及能量耗散[J].采矿与安全工程学报,2018,35(1):197-204.

YU Bangyong, CHEN Zhanqing, DAI Yuwei, et al. Particle size distribution and energy dissipation of saturated crushed sandstone under compaction [J]. Journal of Mining and Safety Engineering, 2018,35(1):197-204.

[18] 刘娟红,周昱程,纪洪广.单轴加卸载作用下井壁混凝土能量演化机理[J].煤炭学报,2018,43(12):3364-3370.

LIU Juanhong, ZHOU Yucheng, JI Hongguang. Energy evolution mechanism of shaft wall concrete under uniaxial loading and unloading compression [J].Journal of China Coal Society, 2018,43(12):3364-3370.

[19] 张俊文,王海龙,陈绍杰,等.大粒径破碎岩石承压变形特性[J].煤炭学报,2018,43(4):1000-1007.

ZHANG Junwen, WANG Hailong, CHEN Shaojie, et al. Bearing deformation characteristics of large-size broken rock [J]. Journal of China Coal Society, 2018,43(4):1000-1007.

[20] 冯梅梅,吴疆宇,陈占清,等.连续级配饱和破碎岩石压实特性试验研究[J].煤炭学报,2016,41(9):2195-2202.

FENG Meimei,WU Jiangyu,CHEN Zhanqing,et al.Experimental study on the compaction of saturated broken rock of continuous gradation [J].Journal of China Coal Society, 2016,41(9):2195-2202.

[21] 陈晓祥,苏承东,唐 旭,等.饱水对煤层顶板碎石压实特征影响的试验研究[J].岩石力学与工程学报,2014,33(S1):3318-3326.

CHEN Xiaoxiang, SU Chendong, TANG Xu, et al. Experimental study of effect of water-saturated state on compaction property of crushed stone from coal seam roof [J]. Chinese Journal of Rock Mechanics and Engineering,2014,33(S1):3318-3326.

[22] 马占国,兰 天,潘银光,等.饱和破碎泥岩蠕变过程中孔隙变化规律的试验研究[J].岩石力学与工程学报,2009,28(7):1447-1454.

MA Zhanguo, LAN Tian, PAN Yinguang, et al. Experimental study of variation law of saturated broken mudstone porosity during creep process [J]. Chinese Journal of Rock Mechanics and Engineering, 2009,28(7):1447-1454.

Experimental study on pressure-bearing deformation characteristics of crushed sandstone in gob

SUN Yanan1,2,ZHANG Peisen1,2,YAN Wei1,2,YAN Fenqian1,2,WU Junda1,2

(1.State Key Laboratory of Mining Disaster Prevention and ControlShandong University of Science and TechnologyQingdao 266590,China;2.Mining Engineering National Experimental Teaching Demonstration CenterQingdao 266590,China)

Abstract:In order to study the bearing capacity of the underlying gravel in the gob under various conditions, the fracture deformation test of the fractured sandstone was carried out by using the fractured rock deformation-seepage testsystem. The effects of particle size, gradation combination, saturated state and loading mode on the deformation characteristics of fractured sandstone were analyzed. Research results indicate that the stress-strain relationship of fractured sandstone is closely related to particle size, gradation combination, saturated state and loading mode, and the stress-strain relationship of different particle size can be expressed by exponential function. Under the action of stress, the strain of the large-size group of gravel increases rapidly; with the increase of the gradation index n, the content of large-size gravel in the graded gravel group increases, and the strain value at the end of the test stress loading increases accordingly; the strain increment of the same grade of gravel under the same stress is obviously greater than that of the gravel strain in the dry state. The saturated water load reduces the bearing capacity of the fractured sandstone by nearly 14%; under cyclic loading and unloading the gravel stress- strain relationship can still be expressed by an exponential function, and the final value of the gravel strain under cyclic loading and unloading is about 1.25 times the final value of the continuously loaded crushed stone. The study provides theoretical guidance for surface settlement and surrounding rock deformation control in gob.

Key words:rock mechanics;saturated crushed rock;compressive deformation;cyclic loading and unloading

中图分类号:TD315

文献标志码:A

文章编号:0253-2336(2019)12-0056-06

移动扫码阅读

孙亚楠,张培森,颜 伟,等.采空区破碎砂岩承压变形特性试验研究[J].煤炭科学技术,2019,47(12):56-61.doi:10.13199/j.cnki.cst.2019.12.008

SUN Yanan,ZHANG Peisen,YAN Wei,et al.Experimental study on pressure-bearing deformation characteristics of crushed sandstone in gob[J].Coal Science and Technology,2019,47(12):56-61.doi:10.13199/j.cnki.cst.2019.12.008

收稿日期:2019-08-21;责任编辑:朱恩光

基金项目:国家重点研发计划资助项目(2018YFC0604702);国家自然科学基金资助项目(51509149,51379119,51774199);山东省重点研发计划资助项目(2018GSF120009)

作者简介:孙亚楠(1994— ),女,河南濮阳人,硕士研究生。

通讯作者:张培森(1977— ),男,山东曹县人,教授,硕士生导师,博士。Tel:0532-86058023,E-mail:peisen_sky@163.com