煤阶和构造应力强度对煤岩力学性质的影响作用

曹明亮1,康永尚1,2,邓 泽3,4,田博凡1,赵 群3,王红岩3

(1.中国石油大学(北京) 地球科学学院,北京 102249;2.中国石油大学(北京) 油气资源与探测国家重点实验室,北京 102249;3.中国石油勘探开发研究院,北京 100083;4.中国石油天然气集团有限公司 非常规油气重点实验室,河北 廊坊 065000)

摘 要:为系统探讨煤阶和构造应力强度对煤岩力学性质的影响作用,在不同地区、不同煤阶20个煤样单轴力学参数测试的基础上,结合系统收集的前人单轴测试数据,利用对比分析以及统计回归和显著性检验等方法,揭示了不同构造应力区和煤阶条件下单轴抗压强度、单轴杨氏模量和单轴泊松比的变化规律和两两参数的关系,并从成因机理上进行了讨论。结果表明:随煤阶升高,弹性模量增大,煤阶具有增加煤岩弹性模量的作用;中高-高应力区煤岩易发生垂向上的变形导致其弹性模量低,构造应力强度具有降低煤岩弹性模量的作用。煤阶与构造应力强度非线性耦合,决定煤岩泊松比的特点,泊松比随煤阶升高出现增大的趋势;中高-高应力区的煤岩不易发生侧向上的变形导致其泊松比相对较小,构造应力强度具有降低泊松比的作用。在不同构造应力区,不同煤阶煤岩的弹性模量与抗压强度均呈正相关关系,但煤阶及构造应力强度影响到弹性模量随抗压强度变化的速度。煤阶与构造应力强度共同作用,影响泊松比-弹性模量的关系,对低煤阶煤岩,泊松比-弹性模量关系由低-中应力区的负相关关系反转为中高-高应力区的正相关关系,对中煤阶煤岩,泊松比-弹性模量关系由低-中应力区到中高-高应力区保持负相关关系,这些现象皆可通过不同构造应力区不同煤阶煤岩垂直层理方向受力后基质孔隙微观变形机制给予合理的解释。

关键词:煤阶;构造应力强度;煤储层;煤岩力学性质

0 引 言

煤岩力学性质是影响煤层气储层可压裂性的关键因素[1-2],在一定程度上控制着压裂缝在储层中的形态、方向以及延伸规模,对煤储层压裂改造有很大的影响[3-5],可根据不同煤层气区块煤岩力学参数差异,优选压裂施工方案[6-7]。同时,在煤层气开发过程中,煤岩力学性质对于动态渗透率变化具有重要影响[8-10]。认识煤岩力学参数变化的规律性及参数间的关系,对煤储层压裂改造和排采过程中储层保护皆有重要意义。

目前,国内外学者针对煤岩力学性质影响因素已开展大量的研究工作,李俊乾等[11]研究了围压、孔-裂隙结构、物质组成及水分对煤岩弹性模量的影响作用,王剑波等[12]研究了煤岩力学性质的尺寸效应,岑朝正等[13]研究了不同含水率下煤岩弹性模量变化规律,余恩晓等[14]分析了钻井液对煤岩抗压强度、弹性模量和变形特征的影响。张小东等[15]根据沁南地区煤层气井声波测井所得的煤岩体力学性质参数, 统计了不同煤体结构高阶煤的弹性模量和泊松比力学参数指标, 发现随煤体结构破坏程度的增强, 煤岩体的弹性模量和泊松比减小。

关于煤岩力学参数关系,张义等[16]基于东北地区低煤阶煤样的单轴压缩试验,认为煤岩单轴测试抗压强度、弹性模量与泊松比之间均呈良好正相关关系。李玉伟[17]基于鸡西矿区中煤阶煤样的单轴压缩试验结果,认为弹性模量与抗压强度呈正相关关系,泊松比与弹性模量在垂直层理方向表现出负相关性。另有许露露等[18]对沁水盆地南部郑庄区块高煤阶区9口煤层气井的力学参数的相关性分析,认为煤岩抗拉强度与抗压强度、弹性模量均具有良好的线性正相关性,与泊松比为负相关,与抗压强度的拟合度最好。前人关于煤岩力学参数关系的研究大多集中于某一含煤盆地或区块,针对特定的煤阶,得出的认识有一定的区域局限性。

综上可见,煤岩力学性质和煤岩力学参数关系的影响因素很多,如孔-裂隙结构、物质组成、水分、煤阶、煤体结构和力学性质测试施力方向等,但归纳起来,这些因素可概括为受沉积影响的煤岩物质组成、受煤阶影响的孔隙结构和水分[19]、受煤阶和构造力学强度影响的孔-裂隙结构,另外,不同的煤体结构也影响煤岩的力学性质。煤岩物质组成变化复杂,从目前的认识来看,尚未发现在不同盆地或区块间有明显的规律性变化,而在不同盆地或区块间的煤阶差异是可以识别的,前人研究表明,中浅部(<1 300 m)煤层以大兴安岭-吕梁山-龙门山为界,东南部以中高-高应力区为主,西北部(除青藏外)以低-中应力区为主[20]

笔者以不同应力区和不同煤阶煤岩力学性质及煤岩力学参数的关系作为主要研究对象,开展了不同应力区、不同煤阶20个煤样力学参数的测试,并收集了前人在类似测试条件下获得的煤岩力学参数测试数据,形成一套涵盖不同煤阶和构造应力区的煤岩力学参数数据。利用不同煤阶和构造应力区数据对比分析以及统计回归和显著性检验等方法,揭示了不同构造应力区和煤阶条件下单轴抗压强度、单轴弹性模量和单轴泊松比的变化规律和两两参数的关系,并从成因机理上进行了讨论,初步获得了中国不同构造应力区、不同煤阶煤岩单轴抗压强度、单轴弹性模量和单轴泊松比变化规律和两两参数关系的系统性认识。

笔者的目的是探讨煤阶和构造应力强度对煤岩力学参数和力学参数之间关系的影响,为了尽量剔除其他因素的干扰,在力学参数测试和前人资料收集时,遵循以下原则:①选择裂隙不发育和相对完整的煤样,可剔除煤体结构因素对煤岩力学性质的影响;②统一采用尺寸相同的柱样(直径25 mm,长度50 mm),沿垂直层理方向单轴施压,剔除了样品尺寸、各向异性和围压等因素的影响。另外,煤样物质组成对煤岩力学性质存在影响,但笔者将煤岩物质组成视作随机因素,其影响作用会引起一定的统计误差,但不影响构造应力强度和煤阶对煤岩力学性质影响的基本统计规律。

1 数据来源

1.1 取样和测试

研究中所用的20个煤样取自二连盆地、海拉尔盆地、鄂尔多斯盆地、准噶尔盆地和沁水盆地等5个盆地18个矿区,制作垂直层理的柱状样,样品尺寸ø25 mm×50 mm,部分柱状煤样如图1所示。

图1 部分地区煤岩柱样照片

Fig. 1 Photos of coal samples selected from several regions

抗压强度、弹性模量和泊松比可通过单轴压缩试验一次性测得,对20个煤岩柱样进行了单轴力学参数和Ro,max测试,其中单轴力学测试参照GB/T 23561—2009《煤和岩石物理力学性质测定方法》,Ro,max测试参照GB/T 6948—2008《煤的镜质体反射率显微镜测定方法》,测试结果见表1。

表1 煤样垂直层理方向单轴力学测试参数和Ro,max测试数据

Table 1 Datas of uni-axial mechanical test in bedding-perpendicular direction and Ro,max test data

应力区/煤阶样品来源矿区Ro,max/%抗压强度/MPa弹性模量/GPa泊松比低-中应力区低煤阶二连盆地白音华煤矿0.3319.945.2400.25海拉尔盆地伊敏煤矿0.371.360.5790.38神东天隆煤矿0.475.472.1780.36准噶尔盆地福蓝煤矿0.5617.946.3700.30低-中应力区中煤阶鄂尔多斯盆地保德区块0.6612.654.4690.31准噶尔盆地六运煤矿0.7220.116.1350.27准噶尔盆地天富煤业0.7619.447.6740.27准噶尔盆地呼图壁小西沟0.8411.644.2290.33鄂尔多斯盆地临县区块0.8616.205.9430.26鄂尔多斯盆地兴县区块0.8815.665.1230.26鄂尔多斯盆地蒲县区块10.8911.043.7800.30鄂尔多斯盆地蒲县区块21.0212.772.8960.30鄂尔多斯盆地柳林煤矿1.349.073.2140.34鄂尔多斯盆地韩城煤矿11.7213.344.3500.30鄂尔多斯盆地韩城煤矿21.869.803.8790.35中高-高应力区高煤阶沁水盆地长治高河煤矿1.849.883.1480.34沁水盆地长冶小常煤矿1.857.522.6600.35沁水盆地阳泉煤矿3.0416.375.4270.28沁水盆地端氏煤矿3.1111.104.1910.30沁水盆地寺河煤矿3.446.342.0850.36

与北美含煤盆地相比,中国含煤盆地总体上承受了较强的构造应力作用[21],但不同盆地/地区在构造应力强度上也存在差异,以大兴安岭-吕梁山-龙门山为界,分为东南部中高-高应力区和西北部低-中应力区,东南部因太平洋板块和菲律宾板块的作用,构造应力强度较大,西北部构造应力强度有所减弱[20];另一方面,不同盆地/地区煤阶存在较大差异,煤岩的孔隙度和孔隙结构随煤阶不同而发生变化[19]。故在表1中,可按照不同的取样地点和测试的Ro,max值,将样品进行了构造应力分区和煤阶归类(第1列),归类原则为:①根据文献[20]的应力分区原则,大兴安岭-吕梁山-龙门山以东的样品归为中高-高应力区,以西的样品归为低-中应力区;②煤阶划分采用业内广泛接受的方案,Ro,max≤0.65%归为低煤阶,0.65%≤Ro,max≤1.90%归为中煤阶,Ro,max≥1.90%归为高煤阶。

1.2 文献数据收集整理

表1中测试样品的镜质体反射率Ro,max分布在0.33%~1.85%和3.04%~3.44%两个区间,中间缺失Ro,max在2.0%~3.0%的样品,为了弥补此不足,系统观察煤岩力学参数和参数之间的关系随煤阶变化规律。

笔者筛选收集了前人参照GB/T 23561—2009《煤和岩石物理力学性质测定方法》的煤岩力学参数单轴测试数据,包括垂直层理方向的抗压强度、弹性模量和泊松比,涉及中国东北张晨矿区、梨树镇凹陷、鸡西矿区和东北其他矿区(二道河子、大恒山矿、果园矿、依兰矿等);鄂尔多斯盆地的补连塔煤矿、山东新汶建新煤矿、新疆豫新煤矿等7个矿区/煤层气区块,同时,收集了这些矿区/煤层气区块的Ro,max区间值和平均值,收集的资料整理后列于表2中,煤岩力学参数测试资料来源文献标注在表2的第2列。表2中的样品按照前述构造应力分区和煤阶归类原则对矿区/区块进行了构造应力分区和煤阶归类(第1列),在煤阶归类时,用到了矿区/区块的Ro,max平均值,若矿区/区块无Ro,max平均值,则参考邻区的煤阶进行归类。

笔者将利用20个样品的测试数据(表1)与收集到的前人的测试数据(表2),开展煤岩力学参数及参数关系分析,这些数据涉及到中国华北、东北、内蒙古、新疆地区等25矿区/区块。

综合表1本次实测数据和表2可见,本文研究涉及到中高-高应力区(大兴安岭-吕梁山-龙门山以东)的低煤阶、中煤阶和高煤阶煤岩垂直层理单轴力学参数;在低-中应力区(大兴安岭-吕梁山-龙门山以西)仅涉及到低煤阶和中煤阶煤岩垂直层理单轴力学参数。事实上,在大兴安岭-吕梁山-龙门山以西的中国西北部低-中应力区,大部分煤岩的热演化程度未达到高煤阶,虽不排除在一些归类为中煤阶的矿区/区块中有高煤阶煤岩样品,但从后面的分析中可见,中煤阶煤岩和高煤阶煤岩力学参数关系具有相似性,因此,少数高煤阶样品的混入,不影响本文的研究结果。

2 煤岩力学性质分析方法和结果

2.1 分析方法

首先,利用表1、表2数据,编制了不同构造应力区、不同煤阶力学参数关系图(图2—图5),采用对比分析方法,讨论煤岩弹性模量及泊松比随煤阶和构造应力强度的宏观变化规律。

为探讨两两力学参数的关系,采用回归分析方法,建立不同应力区、不同煤阶煤岩单轴抗压强度、弹性模量和泊松比两两力学参数的回归方程,计算相关系数,并对回归系数进行t检验。任意2个参数xy之间的相关系数计算公式如下[26]

(1)

式中:rxy变量之间的相关系数;n为样品数量;xiyi分别为第i个样品任意2个力学参数;分别为变量xy的平均值;sxsy分别为变量xy的标准差。

对相关系数进行显著性t检验时,t值计算公式如下:

(2)

笔者以80%作为置信水平,通过t检验临界值表,读取临界值tc。若由式(2)计算得到的t值大于临界值tc,则参数间相关系数在80%置信水平下是显著的,此时,回归关系可反映变量xy之间的关系;反之,二者的回归关系是不显著的。

2.2 分析结果

2.2.1 回归关系

图2揭示了不同构造应力区煤岩弹性模量-抗压强度回归关系随煤阶变化规律,图3揭示了不同构造应力区煤岩泊松比-弹性模量回归关系随煤阶变化规律。

为了揭示构造应力强度对弹性模量-抗压强度关系的影响,编制了低煤阶煤岩和中煤阶煤岩弹性模量-抗压强度回归关系随构造应力强度变化图(图4)。

为了揭示构造应力强度对泊松比-弹性模量关系的影响,编制了低煤阶煤岩和中煤阶煤岩泊松比-弹性模量回归关系随构造应力强度变化图(图5)。

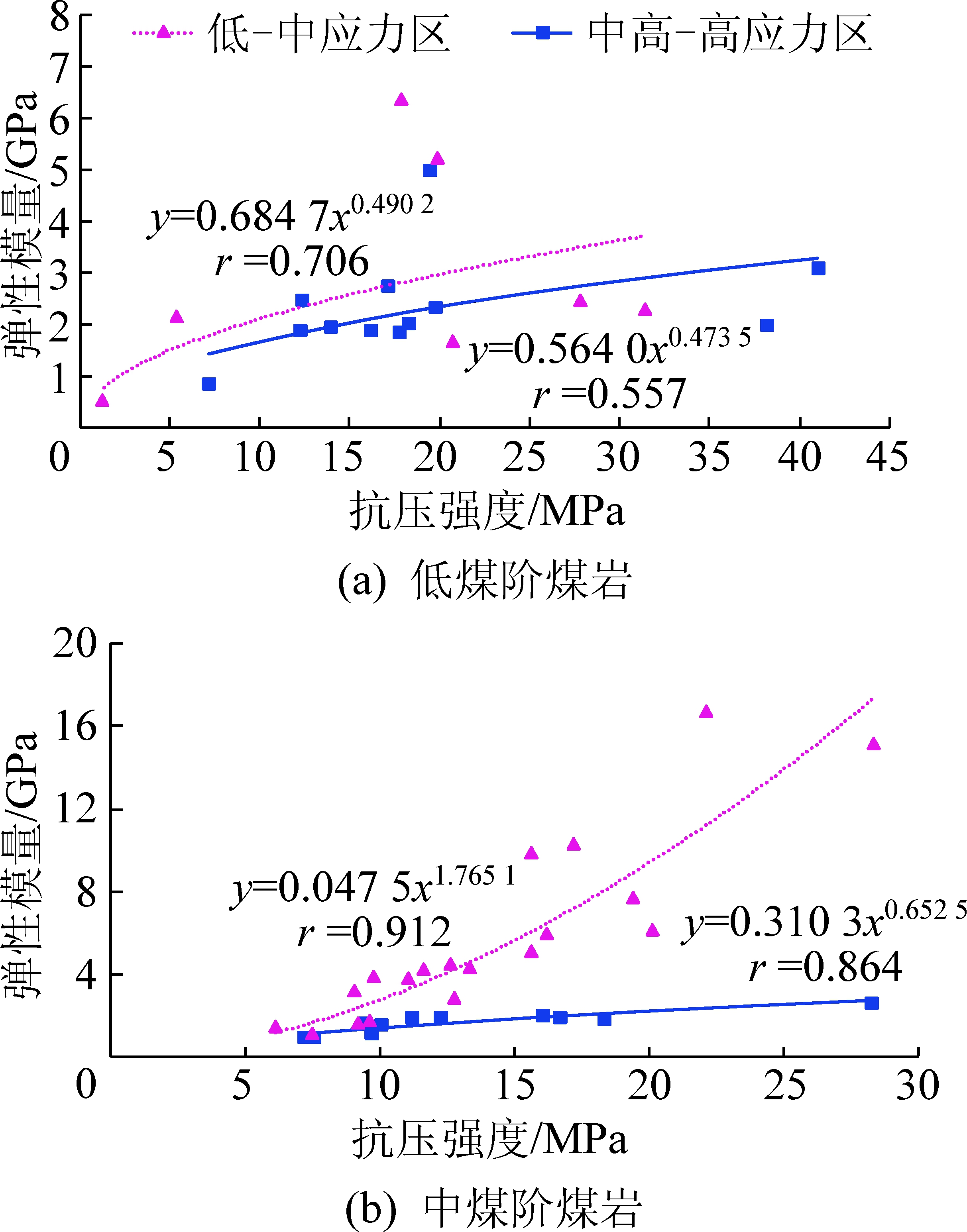
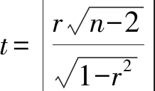
图2 不同构造应力区煤岩弹性模量-抗压强度回归关系随煤阶变化

Fig.2 Variation of Modulus of elasticity-compressive strength relationship with coal ranks in different tectonic stress regions

表2 煤岩垂直层理方向单轴力学测试数据

Table 2 Data of uniaxial mechanical test in bedding-perpendicular direction

应力区/煤阶矿区/区块样品Ro,max/%(均值)抗压强度/MPa弹性模量/GPa泊松比低-中应力区低煤阶鄂尔多斯盆地补连塔煤矿[22]1230.41~0.58(0.50)31.4702.330 0—20.7401.687 0—27.9102.495 0—低-中应力区中煤阶新疆豫新煤矿[23]12345678—6.1151.509 0—9.6151.767 0—7.4721.108 0—9.2161.654 0—28.32015.180 0—17.21010.320 0—15.6409.860 0—22.11016.700 0—中高-高应力区低煤阶东北张晨矿区[17]ZCP1ZCP2ZCP3ZCP4ZCP50.244~0.378(0.31)7.2100.887 00.18517.7701.879 00.20113.9601.956 00.14819.7802.341 00.27717.1902.767 00.191中高-高应力区低煤阶东北其他矿区[16](二道河子、大恒山矿、果园矿、依兰矿等)1234567—18.3302.030 00.25012.2701.910 00.27016.2401.920 00.20038.2502.020 00.18019.4604.990 00.30041.1203.100 00.19012.4202.470 00.120中高-高应力区中煤阶鸡西梨树镇凹陷[24]C-1-1C-1-20.86~1.14(1.00)7.5700.987 60.2707.2400.987 80.260中高-高应力区中煤阶山东新汶建新煤矿[25]D-1D-2D-3D-4—9.7201.123 00.28511.2101.920 00.27110.0401.534 00.2799.3901.606 00.291中高-高应力区中煤阶东北鸡西矿区[17]XCP1XCP2XCP3XCP4XCP50.85~1.50(1.20)16.0401.962 00.25028.2402.612 00.19718.3801.779 00.27716.7101.878 00.26812.2701.906 00.265

图3 不同构造应力区煤岩泊松比-弹性模量关系随煤阶变化

Fig.3 Variation of Modulus of elasticity-compressive strength with coal ranks in different tectonic stress regions

图4 低煤阶和中煤阶煤岩弹性模量-抗压强度关系随构造应力强度变化

Fig.4 Variation of Modulus of elastivity-compressive strength relationship with tectonic stress strength for low and medium rank coals

图5 低煤阶和中煤阶煤岩泊松比-弹性模量关系随构造应力强度变化

Fig.5 Variation of Poisson’s ratio-Modulus of elasticity with tectonic stress strength for low and medium rank coals

2.2.2 参数间相关系数及其检验

利用式(1)分别计算了不同应力区和不同煤阶弹性模量-抗压强度、泊松比-弹性模量之间的相关系数,并利用式(2)计算了t值,进行了显著性检验,参数间相关系数和检验结果见表3。

表3依次列出了低-中应力区及中高-高应力区不同煤阶两两参数的相关系数、样品数、t值、临界值tc、检验结论和数据来源,在数据来源一列(表3第9列)详细标明了参与回归的数据点是来源于本次实测的数据还是来源于从前人文献中收集的数据。从表3可见,低-中应力区和中高-高应力区不同煤阶两两参数的相关关系均通过了显著性检验,相关关系成立。

基于图2—图5和表3相关系数及检验结果,分析讨论煤岩力学参数随煤阶和构造应力强度变化的规律以及不同参数之间的关系。

3 煤阶和构造应力强度对煤岩变形特性的影响

根据图2—图5,首先从宏观尺度上对比不同构造应力区、不同煤阶煤岩的变形特性,以揭示煤岩弹性模量和泊松比随煤阶和构造应力强度变化的规律。

3.1 煤阶和构造应力强度对煤岩弹性模量的影响

3.1.1 煤阶对弹性模量的影响

由图2a可见,在低-中应力区,在给定抗压强度的条件下,中煤阶煤岩的弹性模量总体上高于低煤阶煤岩的弹性模量;由图2b可见,在中高-高应力区,在给定抗压强度的条件下,中煤阶煤岩的弹性模量与低煤阶煤岩的弹性模量相差不大,高煤阶煤岩的弹性模量明显更高。

表3 煤岩力学参数间相关系数及其t检验结果

Table 3 Correlation coefficients between coal mechanical parameters and t-test on the coefficients

应力区煤阶相关变量相关系数样品数量t值临界值tc检验结论数据来源低-中低中弹性模量-抗压强度0.70672.2271.476显著实测+文献泊松比-弹性模量-0.86042.3841.886显著实测弹性模量-抗压强度0.912199.1791.333显著实测+文献泊松比-弹性模量-0.703112.9651.383显著实测中高-高低中高弹性模量-抗压强度0.557122.1211.372显著文献泊松比-弹性模量0.413121.4341.372显著文献弹性模量-抗压强度0.864115.1481.383显著文献泊松比-弹性模量-0.644112.5251.383显著文献弹性模量-抗压强度0.98259.0051.638显著实测泊松比-弹性模量-0.988511.0791.638显著实测

总体上看,对一定抗压强度的煤岩,煤岩弹性模量有随煤阶升高而增加的趋势,煤阶总体上具有增加煤岩弹性模量的作用。这一现象可从煤化过程中煤岩孔隙度和孔径的变化中得到合理解释。当煤岩在压力和热力共同作用下,在经历一定时间从低煤阶演化到中煤阶后,煤岩孔隙度由10%以上快速下降至3%~6% [22],中煤阶煤岩孔隙度明显小于低煤阶煤岩孔隙度[27-28],从中煤阶到高煤阶,煤岩孔隙度不再有明显的变化,基本上在3%~6% [19];另一方面,随煤阶升高,煤岩的孔隙结构也在发生变化,大孔(孔径>1 000 nm)比例逐渐降低,微孔(孔径<10 nm)比例逐渐增加[29-31]。低煤阶煤岩孔隙度较高,含有较高比例的大孔,压缩变形空间大,因此,其弹性模量较低。随煤阶升高,煤岩孔隙度和大孔比例降低,压缩变形空间变小,弹性模量升高。

3.1.2 构造应力强度对弹性模量的影响

由图4可见,无论是对低煤阶煤岩(图4a)还是对中煤阶煤岩(图4b),在给定抗压强度的条件下,中高-高应力区煤岩的弹性模量低于低-中应力区煤岩的弹性模量,构造应力强度具有降低煤岩弹性模量的作用。相对于低-中应力区,中高-高应力区煤岩在地下承受的水平构造挤压作用大于垂向应力的影响,已发生了相对强的侧向(平行层理方向)变形作用,达到了较高的侧向变形程度,相对而言,煤岩的垂向(垂直层理方向)变形程度低,在单轴测试时,煤岩易发生垂向上的变形导致其弹性模量低。

3.2 煤阶和构造应力强度共同对煤岩泊松比的影响

由图3a可见,在低-中应力区,在给定弹性模量的条件下,中煤阶煤岩与低煤阶煤岩的泊松比在数值上相差不大。

由图3b可见,在中高-高应力区,在给定弹性模量的条件下,高煤阶煤岩的泊松比总体上高于中煤阶煤岩的泊松比,而后者又高于低煤阶煤岩的泊松比,泊松比有随煤阶升高而增大的趋势,也就是说,在中高-高应力区,随煤阶升高,煤岩侧向应变与垂向应变的比值增加,即煤岩在单轴加力后,煤阶越高,越易发生侧向应变,这一现象其背后的机理尚待进一步研究。

由图5可见,无论是低煤阶煤岩(图5a)还是中煤阶煤岩(图5b),在给定弹性模量的条件下,中高-高应力区煤岩的泊松比低于低-中应力区煤岩的泊松比,构造应力强度具有降低泊松比的作用。如前所述,相对于低-中应力区,中高-高应力区的煤岩在地下承受较大的水平构造挤压作用,达到了较高的侧向变形程度,在单轴测试时,煤岩不易发生侧向上的变形导致其泊松比相对较小。

4 煤阶和构造应力强度对煤岩力学参数关系的影响

4.1 煤阶和构造应力强度对弹性模量-抗压强度关系的影响

4.1.1 煤阶对弹性模量-抗压强度关系的影响

由图2可见,在低-中应力区低煤阶和中煤阶煤岩弹性模量与抗压强度皆呈正相关关系,在中高-高应力区,低、中、高各煤阶弹性模量-抗压强度也均呈现正相关关系。这是因为煤岩所表现出的力学性质,归根结底是由煤岩本身物理性质决定的。岩石的抗压强度是由构成岩石的矿物和颗粒之间的联结力的影响以及微裂隙来决定的[32],煤岩也不例外。故当煤岩抗压强度大时,表明煤岩基质之间接触紧密,联结力较大,在外力的作用下煤岩基质之间不容易发生相对滑动,产生破裂面。相应地,由于煤岩基质之间联结力较大,导致产生单位应变所需要的应力(弹性模量)变大,所以,煤岩弹性模量随抗压强度增大而增大,呈现出正相关关系。

尽管在不同构造应力区,不同煤阶煤岩的弹性模量与抗压强度均呈正相关关系,表明煤阶对弹性模量-抗压强度相关关系的性质(正或负)影响不大,但煤阶影响到弹性模量随抗压强度变化的速度。在低-中应力区,中煤阶煤岩弹性模量随抗压强度增加而增加的速度明显高于低煤阶煤岩弹性模量随抗压强度增加而增加的速度(图2a);中高-高应力区,中煤阶煤岩弹性模量随抗压强度增加而增加的速度也略高于低煤阶煤岩弹性模量随抗压强度增加而增加的速度,且高煤阶煤岩弹性模量随抗压强度增加而增加的速度明显大于中煤阶和低煤阶煤岩弹性模量随抗压强度增加而增加的速度(图2b)。可见,随煤阶升高,煤化过程总体上是一个煤岩弹性模量增加的过程,与第3.1.1节中分析得到的认识一致。

4.1.2 构造应力强度对弹性模量-抗压强度关系的影响

由图4可见,无论是对低煤阶煤岩(图4a)还是对中煤阶煤岩(图4b),在中高-高应力区煤岩的弹性模量随抗压强度增加而增加的速度小于低-中应力区煤岩弹性模量随抗压强度增加而增加的速度,可见随构造应力强度增加(从低-中应力区到中高-高应力区),煤岩的弹性模量是弱化的过程,与第3.1.2节中分析的结论一致。在中高-高应力区(大兴安岭-吕梁山-龙门山以东),煤岩在地下承受较大的水平构造挤压作用,已发生了相对强的侧向(平行层理方向)变形作用,达到了较高的侧向变形程度,相对而言,煤岩的垂向(垂直层理方向)变形程度低,在单轴测试时,煤岩易发生垂向上的变形导致弹性模量低。

4.2 煤阶和构造应力强度共同对煤岩泊松比-弹性模量关系的影响

由图3a可见,在低-中应力区,低煤阶和中煤阶煤岩的泊松比-弹性模量皆呈负相关关系,但低煤阶煤岩的泊松比随弹性模量升高而降低的速度更快。由图3b可见,在中高-高应力区,低煤阶煤岩的泊松比-弹性模量呈正相关关系,中煤阶和高煤阶煤岩的泊松比-弹性模量皆呈负相关关系。对比图3a和图3b可见,煤阶与构造应力强度共同作用,影响泊松比-弹性模量的关系。

图6 不同构造应力区不同煤阶煤岩垂直层理方向受力后基质孔隙微观变形机制示意

Fig.6 Microscopic deformation mechanisms of matrix pore of different rank coals in different tectonic stress regions under vertical bedding direction

由图5a可见,对低煤阶煤岩,在不同应力区,煤岩泊松比与弹性模量的关系差别很明显,在低-中应力区,煤岩泊松比与弹性模量呈负相关关系,在中高-高应力区,煤岩泊松比与弹性模量反转为正相关关系。在低-中应力区和中高-高应力区,对低煤阶煤岩泊松比与弹性模量相关关系的反转性差异,笔者提出如下解释模型:在低-中应力区,水平主应力相对较小,煤岩在地下沿层理方向的压实相对弱于垂向上的压实,孔隙长轴沿层理方向展布(图6a),相反,在中高-高应力区,煤岩孔隙长轴沿垂直层理方向展布(图6b),在垂直层理方向单轴测试煤岩弹性模量和泊松比时,对低-中应力区大孔低煤阶煤岩在单轴测试时,以垂直层理方向变形为主(图6a),当煤岩弹性模量越大时,垂直层理方向越不易变形,相应地平行层理方向上也越不易变形,泊松比与弹性模量呈负相关关系(图5a),对中高-高应力区大孔低煤阶煤岩在单轴测试时,以垂直层理和平行层理方向共同变形为特征(图6b),当煤岩弹性模量越大时,垂直层理方向越不易变形,相应地变形转化为平行层理方向,泊松比与弹性模量呈正相关关系(图5a)。

由图5b可见,对中煤阶煤岩,不同构造应力区煤岩泊松比-弹性模量的关系性质没有发生变化,即皆为负相关,但泊松比随弹性模量增加而降低的速度有所不同,在中高-高应力区,煤岩泊松比随弹性模量增加而降低的速度更快,从另一方面,印证了第3.2节中关于构造应力强度具有降低泊松比作用的认识。

对中煤阶煤岩,从低-中应力区到中高-高应力区,煤岩泊松比-弹性模量关系未发生如低煤阶煤岩那样的反转性变化,可从中煤阶煤岩孔隙度和孔径与低煤阶煤岩孔隙度和孔径的差异中解释。如前所述,当煤岩从低煤阶演化到中煤阶后,煤岩孔隙度由10%以上快速下降到3%~6%,同时,大孔(孔径>1 000 nm)比例降低,微孔(孔径<10 nm)比例增加,尽管在不同的构造应力区,中煤阶煤岩孔隙长轴展布方向也会有不同,但因中煤阶煤岩的孔径已变得很小,使得长短轴差别很小,在垂直层理方向上单轴测试弹性模量和泊松比时,以垂直层理方向压缩变形为主(图6c和图6d),当煤岩弹性模量越大时,垂直层理方向越不易变形,相应地平行层理方向上也越不易变形,导致泊松比与弹性模量在不同构造应力区皆呈负相关关系(图5b)。

从孔隙度和孔径大小来看,从低煤阶向中煤阶是一个突变,而从中煤阶到高煤阶,孔隙度变化不大,孔径有进一步缩小的趋势,因此,高煤阶煤岩的变形机制与中煤阶煤岩的变形机制没有本质区别(图6c和图6d),因此,出现了在中高-高应力区,高煤阶煤岩泊松比与弹性模量之间延续了中煤阶煤岩泊松比与弹性模量之间显著的负相关关系(图3b)。虽然,笔者在低-中应力区未获得高煤阶煤岩的泊松比和弹性模量数据,但基于高煤阶煤岩的孔隙度和孔径大小特征,可推断在低-中应力区高煤阶煤岩的泊松比和弹性模量亦呈负相关关系。

以上分析尽管没有关于不同构造应力区不同煤阶煤岩孔隙长短轴展布方向(图6)的微观观察数据做支撑,但其合理性可从前人所做三轴力学测试结果得到间接支撑。前人针对不同煤阶(在不同构造应力区)分别开展过弹性模量和泊松比随围压变化规律的试验测试,测试结果与图6的微观变形机制对比分析如下:

1)针对低煤阶煤岩,在归属低-中应力区的海拉尔盆地,低煤阶煤岩的弹性模量随围压增大而增加,泊松比随围压增大而减小[33],泊松比与弹性模量随围压增加呈反向变化趋势,这点和低煤阶煤岩在低-中应力区的泊松比与弹性模量的负相关关系(图5a)一致,表明低煤阶煤岩在低-中应力区侧向不易变形的微观本质(图6a);在归属中高-高应力区的东北其他矿区(二道河子、大恒山矿、果园矿、依兰矿等),低煤阶煤岩弹性模量和泊松比皆随围压升高而升高[16],这点和低煤阶煤岩在中高-高应力区的泊松比-弹性模量的正相关关系(图5a)一致,表明了低煤阶煤岩在中高-高应力区侧向易变形的微观本质(图6b)。

2)针对中煤阶煤岩,在归属低-中应力区的保德区块,中煤阶煤岩的弹性模量随围压增大而增加,泊松比随围压增大而减小[34],这和中煤阶煤岩在低-中应力区的泊松比与弹性模量呈负相关关系(图5b)基本一致;在归属中高-高应力区的东北鸡西矿区,中煤阶煤岩的弹性模量随围压增大而增加,泊松比随围压增大而减小[17],与中煤阶煤岩在中高-高应力区泊松比-弹性模量呈负相关关系(图5b)一致。对中煤阶煤岩,无论其处于中-低应力区还是中高-高应力区,三轴测试结果皆表明中煤阶煤岩侧向不易变形的微观本质(图6c和图6d)。

3)针对高煤阶煤岩,在归属中高-高应力区的河南平煤十矿,高煤阶煤岩的弹性模量随围压增大而增加,泊松比随围压增大而减小[35],与中高-高应力区高煤阶煤岩的泊松比-弹性模量负相关关系(图3b)一致,表明了高煤阶煤岩在中高-高应力区侧向不易变形的微观本质(图6d)。

总之,用微观孔隙长轴展布方向差异和孔径差异导致的微观变形机制差异(图6),可以合理地解释低煤阶煤岩泊松比-弹性模量关系从低-中应力区的负相关向中高-高应力区的正相关反转现象,也可以合理地解释中煤阶煤岩泊松比-弹性模量关系从低-中应力区到中高-高应力区保持负相关的现象。不同构造应力强度区,煤岩孔隙长轴展布方向的微观观察是未来一个研究的新方向。

5 结 论

1)随煤阶升高,弹性模量增大,煤阶具有增加煤岩弹性模量的作用;中高-高应力区煤岩易发生垂向上的变形导致其弹性模量低,构造应力强度具有降低煤岩弹性模量的作用。

2)煤阶与构造应力强度非线性耦合,决定煤岩泊松比的特点,泊松比随煤阶升高出现增大的趋势;中高-高应力区的煤岩不易发生侧向上的变形导致其泊松比相对较小,构造应力强度具有降低泊松比的作用。

3)在不同构造应力区,不同煤阶煤岩的弹性模量与抗压强度均呈正相关关系,但煤阶及构造应力强度影响到弹性模量随抗压强度变化的速度。

4)煤阶与构造应力强度共同作用,影响泊松比-弹性模量的关系,对低煤阶煤岩,泊松比-弹性模量关系由低-中应力区的负相关关系反转为中高-高应力区的正相关关系,对中煤阶煤岩,泊松比-弹性模量关系由低-中应力区到中高-高应力区保持负相关关系,这些现象皆可通过不同构造应力区不同煤阶煤岩垂直层理方向受力后基质孔隙微观变形机制给予合理的解释。

参考文献(References):

[1] 李同林,乌效鸣,屠厚泽. 煤岩力学性质测试分析与应用[J].地质与勘探,2000,36(2):85-88.

LI Tonglin, WU Xiaoming, TU Houze. The measurement and analysis and application on the mechanical property of coal seam[J].Geology and Prospecting,2000,36(2):85-88.

[2] 朱宝存,唐书恒,张佳赞. 煤岩与顶底板岩石力学性质及对煤储层压裂的影响[J].煤炭学报,2009,34(6):756-760.

ZHU Baocun, TANG Shuheng, ZHANG Jiazan. Mechanics characteristics of coal and its roof and floor rock and the effects of hydraulic fracturing on coal reservoir[J].Journal of China Coal Society,2009,34(6):756-760.

[3] 蔡美峰,何满潮,刘东燕.岩石力学与工程[M].北京:科学出版社,2002.

[4] 孙敏娜.水力压裂提高煤层气采收率技术研究[D].西安:西安石油大学,2012.

[5] 刘 浩.高煤级煤储层水力压裂的裂缝预测模型及效果评价[D].焦作:河南理工大学,2010.

[6] 田增辉.比德—三塘盆地主采煤层煤岩力学性质特征[J].陕西煤炭,2016,35(3):28-30.

TIAN Zenghui. Characteristics of coal mechanical properties of main coal mining strata in Bide-Santang Basin[J]. Shanxi Coal, 2016, 35(3): 28-30.

[7] 颜 青.比德—三塘盆地煤与岩石力学性质及煤层压裂可改造性[D].徐州:中国矿业大学,2014.

[8] 邓 泽,康永尚,刘洪林,等.开发过程中煤储层渗透率动态变化特征[J].煤炭学报,2009,34(7):947-951.

DENG Ze, KANG Yongshang, LIU Honglin,et al. Dynamic characteristics of coal reservoir permeability during development[J]. Journal of China Coal Society, 2009, 34(7): 947-951.

[9] 陈金刚,陈庆发.煤岩力学性质对其基质自调节能力的控制效应[J].天然气工业,2005,25(2):140-142.

CHEN Jingang, CHEN Qingfa. Control effect of mechanical properties of coal on its self-regulating ability[J]. Natural Gas Industry,2005,25(2):140-142.

[10] 孟召平,王保玉,谢晓彤,等.煤岩变形力学特性及其对渗透性的控制[J].煤炭学报,2012,37(8):1342-1347.

MENG Zhaoping, WANG Baoyu, XIE Xiaotong,et al. Mechanical properties of coal deformation and its influence on permeability[J]. Journal of China Coal Society,2012,37(8):1342-1347.

[11] 李俊乾,刘大锰,卢双舫,等.中高煤阶煤岩弹性模量及其影响因素试验研究[J].煤炭科学技术,2016,44(1):102-108.

LI Junqian, LIU Damang, LU Shuangfang,et al. Experimental study on elastic modulus of medium-high coal rank and its influencing factors[J]. Coal Science and Technology, 2016, 44(1): 102-108.

[12] 王剑波,朱珍德,刘金辉.单轴压缩下煤岩尺寸效应的试验及理论研究[J].水电能源科学,2013,31(1):50-52,240.

WANG Jianbo, ZHU Zhende, LIU Jinhui. Experimental and theoretical study on size effect of coal under uniaxial compression[J]. International Journal Hydroelectric Energy,2013,31(1):50-52,240.

[13] 岑朝正,蒋永芳,蒋朝军.不同含水率下煤岩弹性模量变化实验分析[J].价值工程,2015,34(24):154-155.

CENG Chaozheng, JIANG Yongfang, JIANG Chaojun. Experimentalanalysis of the change of elastic Modulus of coal under different water content[J]. Value Engineering,2015,34(24):154-155.

[14] 余恩晓,马立涛,周福双.钻井液对高煤阶煤岩力学性质的影响研究[J/OL].煤炭科学技术,https://doi.org/10.13199/j.cnki.cst.2018.00722.

YU Enxiao, MA Litao, ZHOU Fushuang. Study on the influence of drilling fluid on the mechanical properties of high coal rank coal[J/OL]. Coal Science and Technology,https://doi.org/ 10.13199/j.cnki.cst.2018.00722.

[15] 张小东,杜志刚,李朋朋.不同煤体结构的高阶煤储层物性特征及煤层气产出机理[J].中国科学:地球科学,2017,47(1):72-81.

ZHANG Xiaodong, DU Zhigang, LI Pengpeng.Physical characteristics of high-rank coal reservoirs with different coal structure and coalbed methane production mechanism[J].Chinese Science: Earth Science,2017,47(1):72-81.

[16] 张 义,李 隽,张广清.低煤阶煤岩力学特性测试分析:以东北地区为例[C]//2018年全国煤层气学术研讨会论文集.北京:石油工业出版社,2018:527-538.

[17] 李玉伟.割理煤岩力学特性与压裂起裂机理研究[D].大庆:东北石油大学,2014.

[18] 许露露,李雄伟,余江浩,等.沁水盆地郑庄区块煤储层抗拉强度控制因素及其对水力裂缝的影响[J].资源环境与工程,2018,32(3):386-390.

XU Lulu, LI Xiongwei, YU Jianghao,et al. Control factors of tensile strength of coal reservoirs in Zhengzhuang District, Qinshui Basin and their effects on hydraulic fractures[J]. Resources Environment & Engineering,2018,32(3):386-390.

[19] 刘 娜,康永尚,李 喆,等. 煤岩孔隙度主控地质因素及其对煤层气开发的影响[J]. 现代地质, 2018,32(5):963-974.

LIU Na, KANG Yongshang, LI Zhe,et al. Geological controlling factors of coal pore system and its significance in CBM development[J]. Geoscience, 2018,32(5):963-974.

[20] 文 卓,康永尚,邓 泽,等.中国含煤盆地浅-中深部现今地应力特点和分布规律[J].地质论评,2019,65(3):729-742.

WEN Zhuo, KANG Yongshang, DENG Ze,et al. Characteristics and distribution of present geo-stress in the shallow-middle and deep parts of coal-bearing basins in China [J]. Geological Review, 2019, 65(3):729-742.

[21] 康永尚,孙良忠,张 兵,等. 中国煤储层渗透率主控因素和煤层气开发对策[J]. 地质论评,2017,63(5):1401-1418.

KANG Yongshang, SUN Liangzhong, ZHANG Bing, et al. The controlling factors of coalbed reservoir permeability and CBM development strategy in China[J]. Geological Review, 2017,63(5):1401-1418.

[22] 王生维,张 明.东胜煤田补连塔矿煤物理力学特性试验研究[J].岩石力学与工程学报,1996,15(4):390-394.

WANG Shengwei, ZHANG Ming. Experimental study on physical and mechanical properties of coal in Bulian Tower of Dongsheng Coalfield[J]. Chinese Journal of Rock Mechanics and Engineering,1996,15(4):390-394.

[23] 韩 升,侯铁军,赵云峰,等.高突出倾向性煤的力学性质试验及研究[J].煤炭技术,2014,33(7):233-235.

HAN Sheng, HOU Tiejun, ZHAO Yunfeng,et al. Experimental and research on mechanical properties of high-prominence coal[J]. Coal Technology, 2014, 33(7):233-235.

[24] 官 兵,李士斌,高 溯,等.鸡西盆地梨树镇坳陷城子河组煤岩物理力学特性实验研究[J].中国煤炭地质,2015,27(5):28-31.

GUAN Bing, LI Shibin, GAO Su,et al. Experimental study on physical and mechanical properties of coal-rocks of Chengzihe Formation in Lishu Town, Jixi Basin[J]. Chinese Coal Geology,2015,27(5):28-31.

[25] 陈绍杰. 煤岩强度与变形特征实验研究及其在条带煤柱设计中的应用[D].青岛:山东科技大学,2005.

[26] 康永尚,沈金松,谌卓恒.现代数学地质[M].北京:石油工业出版社,2005:181.

[27] 杨高峰.不同煤阶煤储层物性特征研究[D].淮南:安徽理工大学,2013.

[28] LEVINE J R. Coalification: the evolution of coal as source rock and reservoir rock for oil and gas[J]. AAPG Special Volumes,1993,180: 39-77.

[29] 贾雪梅,蔺亚兵,马东民.高、低煤阶煤中宏观煤岩组分孔隙特征研究[J].煤炭工程,2019,51(6):24-27.

JIA Xuemei, LIN Yabing, MA Dongmin. Study on pore characteristics of macroscopic coal components in high and low coal rank coals[J].Coal Engineering,2019,51(6):24-27.

[30] 赵兴龙,汤达祯,许 浩,等.煤变质作用对煤储层孔隙系统发育的影响[J].煤炭学报,2010,35(9):1506-1511.

ZHAO Xinglong, TANG Dazhen, XU Hao,et al. Influence of coal metamorphism on the development of pore system in coal reservoirs[J]. Journal of China Coal Society,2010,35(9):1506-1511.

[31] 刘洪林,张建博,王红岩.中国煤层气形成的地质条件[J].天然气工业,2004,24(2):5-7.

LIU Honglin, ZHANG Jianbo, WANG Hongyan. Geological conditions for coalbed methane formation in China[J]. Natural Gas Industry,2004,24(2):5-7.

[32] 吴 铭.对岩石抗压强度与不同影响因素的关系探讨[J].内蒙古煤炭经济,2015(4):161,187.

WU Ming. Discussion on the relationship between rock compressive strength and different influencing factors[J]. Inner Mongolia Coal Economy,2015(4):161,187.

[33] 王可新,潘树仁,吴加和,等.中国褐煤储层的力学特征[C]//第七届全国煤炭工业生产一线青年技术创新文集.北京:煤炭工业出版社,2012:676-681.

[34] 刘彦飞,汤达祯,李 松,等.不同围压下的煤岩力学性质研究[C]//2018年全国煤层气学术研讨会论文集.北京:石油工业出版社,2018:127-136.

[35] 李文璞. 采动影响下煤岩力学特性及瓦斯运移规律研究[D].重庆:重庆大学,2014.

Influence of coal rank and tectonic stress intensity on mechanical properties of coal rock

CAO Mingliang1,KANG Yongshang1,2,DENG Ze3,4,TIAN Bofan1,ZHAO Qun3,WANG Hongyan3

(1.College of Geosciences, China University of Petroleum (Beijing), Beijing 102249, China; 2.State Key Laboratory of Petroleum Resources and Prospecting, China University of Petroleum (Beijing), Beijing 102249, China; 3. Petro China Exploration and Development Research Institute, Beijing 100083, China;4. Key Laboratory of Unconventional Oil and Gas,China National Petroleum Corporation, Langfang 065000, China)

Abstract:This paper focus on systematically investigating the influence of coal rank and tectonic stress intensity on the mechanical properties of coal. 20 coal samples in different regions and different coal ranks were tested to collect the uniaxial mechanical parameters. The testing data and data from other literature were analyzed using comparative analysis, statistical regression, and significance test. The changes of uniaxial compressive strength, uniaxial Modulus of elasticity and uniaxial Poisson’s ratio under different tectonic stress zones and coal ranks were revealed and the relationship between any two of these parameters were discussed from the genetic mechanism.The results show that as the coal rank increases, the Modulus of elasticity increases. The coal rank has the effect of increasing the Modulus of elasticity of coal.In the mid-high to high stress area, the coal is prone to vertical deformation, resulting in low Modulus of elasticity, and the tectonic stress intensity has the effect of reducing the Modulus of elasticity of coal. It is also found that the nonlinear coupling between coal rank and tectonic stress intensity determines the characteristics of coal Poisson’s ratio, and the Poisson’s ratio increases with the increase of coal rank. The coal in the mid-high to high stress region is not easy to undergo lateral deformation, resulting in a relatively small Poisson’s ratio, and the tectonic stress intensity has the effect of lowering the Poisson’s ratio. In different tectonic stress areas, the Modulus of elasticity and compressive strength of coal of different coal ranks are positively correlated. However, the coal rank and tectonic stress intensity affect the speed of Modulus of elasticity with compressive strength. Furthermore, the interaction between coal rank and tectonic stress intensity affects the Poisson’s ratio-Modulus of elasticity. For the low coal rank coal, the Poisson’s ratio-Modulus of elasticity relationship is reversed from the negative correlation of the low-medium stress region to the positive correlation of the high-high stress region. For the medium rank coal, Poisson’s ratio-Modulus of elasticity relationship maintains a negative correlation from the low-medium stress region to the mid-high to high stress region. These phenomena can be reasonably explained by the microscopic deformation mechanism of the matrix pores after the vertical layering direction of different coal ranks in different tectonic stress zones.

Key words:coal rank; tectonic stress intensity; coal reservoir; mechanical properties of coal and rock

中图分类号:TD313

文献标志码:A

文章编号:0253-2336(2019)12-0045-11

移动扫码阅读

曹明亮,康永尚,邓 泽,等.煤阶和构造应力强度对煤岩力学性质的影响作用[J].煤炭科学技术,2019,47(12):45-55.doi:10.13199/j.cnki.cst.2019.12.007

CAO Mingliang,KANG Yongshang,DENG Ze,et al.Influence of coal rank and tectonic stress intensity on mechanical properties of coal rock[J].Coal Science and Technology,2019,47(12):45-55.doi:10.13199/j.cnki.cst.2019.12.007

收稿日期:2019-05-17;责任编辑:王晓珍

基金项目:国家科技重大专项资助项目(2016ZX05041-001);中国石油天然气股份有限公司重大科技专项资助项目(2017E-1401)

作者简介:曹明亮(1993—),男,山东菏泽人,硕士研究生。E-mail:2652235951@qq.com

通讯作者:康永尚(1964—),男,河南登封人,教授,博士。E-mail:kangysh@sina.com