煤炭是我国最主要的能源,在国民经济增长中起着不可替代的作用[1]。近年来我国煤矿生产受火灾、瓦斯等灾害的威胁日益严重,其根本原因在于我国煤矿灾害防治技术和装备水平与生产发展不相适应,急需通过技术创新着力提升灾害预防和应急处置能力。在矿井发生瓦斯、火灾事故尤其是灭火无效或者救援人员无法实施直接灭火时,对灾区进行封闭是最常用的处置措施。
目前国内外常采用的密闭形式可以分为2种:即临时密闭和永久密闭,临时密闭虽能快速密闭但不具备抗冲击能力且密封效果差,永久密闭具备一定抗冲击能力但构筑时间长,且耗费大量人力物力,这2种方式都属于被动处理灾害,存在功能单一和威胁救灾人员生命安全的缺点[1-7]。由于密闭过程灾情可能随时出现变化,极易引起瓦斯爆炸等次生灾害的发生,对煤矿安全生产和施工人员安全造成严重威胁,全国也发生过多起在灾害处理、火区封闭时的人员伤亡事故[8-12]。因此,研究工作面生产期间灾害的有效预防及出现灾变时快速、可靠封闭灾区的关键技术及装备非常必要。笔者针对高瓦斯和有易自燃煤层的矿井,研究具有灾区环境自动监测以及地面智能远程控制相结合的灾区快速密闭系统装备,该装备具备灾害及时预警、远程控制快速隔离密闭和科学安全启封功能,能够解决多装备复杂巷道的密闭难题,具有良好的密封性和抗冲击能力。弥补了现有方式的不足,以实现快速最大限度地控制灾害扩大,减少人员伤亡与财产损失的目的,提高了煤矿应急管理能力。
快速密闭系统装备能否承受矿井火灾以及火灾引起瓦斯爆炸所产生的冲击波冲击是关系到灾区能否成功密闭的关键。
在发生火灾以及火灾引起瓦斯爆炸情况下,爆炸冲击波将沿巷道传播,其衰减的因素主要是巷道壁面粗糙产生的阻力,内摩擦、热传导和热辐射等不可逆的量损失。冲击波后负压区内稀疏波的传播速度大于冲击波时,稀疏波将追赶上冲击波的前沿阵面将其削弱,衰减的冲击波的前沿波阵面由陡峭逐渐衰变为弧形波阵面的弱压缩波。此后,马赫反射的形成使得弧形的冲击波变化为平面冲击波继续传播衰减。
为研究工作面在火灾及火灾引起的瓦斯爆炸的冲击强度,对某一煤与瓦斯突出矿井进行了研究,该矿井绝对瓦斯涌出量37.40 m3/min,相对瓦斯涌出量9.27 m3/t,矿井各煤层自然发火倾向均为自燃,煤尘均具有爆炸性。通过分析工作面易发生浮煤自燃地点,计算出满足瓦斯爆炸条件的瓦斯聚集最大体积、冲击波传播距离,研究其特定区域破坏效应,确定密闭装置的抗冲击强度。
1)上隅角瓦斯爆炸情况分析。上隅角由于通风不好,温度、瓦斯浓度相对较高,容易满足瓦斯爆炸的条件。同时,上隅角发生瓦斯爆炸,冲击波可沿直线传播作用在密闭门上,产生的爆炸冲击压力最大。所以选择上隅角作为计算情况之一,如图1中的爆炸源1。
2)采空区瓦斯爆炸情况分析。采空区是浮煤自燃的易发地点,同时氧浓度、瓦斯浓度易满足瓦斯爆炸条件,发生危险的可能性最大。所以选择采空区作为计算情况之二,如图1中的爆炸源2,当爆炸发生在采空区,冲击波沿巷道两侧传播,经90°拐弯衰减后作用于密闭门上。

图1 模拟爆炸源示意
Fig.1 Simulate of the explosion source
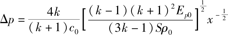
上述2种情况均忽略冲击波向采空区泄压,假定在极端情况下,在瓦斯体积分数为9.5%(最大爆炸浓度)下发生爆炸,瓦斯爆炸入射波超压值Δp可由式(1)确定:
(1)
式中:k为绝热压缩系数;x为瓦斯冲击波传播距离,m;ρ0为密度,kg/m3;S为巷道断面面积,m2;c0为空气传播速度,m/s;Ep0为瓦斯爆炸释放出的总能量,J。
由于煤矿井下巷道复杂,瓦斯爆炸冲击波除直线巷道传播外,还经分岔、拐弯巷道进行衰减,衰减后冲击波超压值Δp′可由式(2)确定:
Δp′=Δp/A
(2)
式中:A为衰减系数。
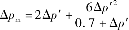
巷道中分岔、拐弯形式与超压衰减系数取值情形如图2所示。计算出衰减的冲击波超压值后,瓦斯爆炸反射波压力Δpm可通过反射波压力计算公式(3)确定:
(3)
通过以上计算方法可求得密闭装置所受到的最大冲击压力。
1.2.1 上隅角瓦斯爆炸冲击强度计算
井下瓦斯浓度是不均匀分布的,由于涌出源、风流流动不均匀造成。本项目假定在极端情况下,9.5%体积分数瓦斯均匀分布在整个上隅角空间并发生爆炸,计算密闭门所受到的最大冲击压力。
巷道宽度4.2 m,高度3.5 m,巷道的断面积S=12.8 m2、绝热压缩系数k=1.4、瓦斯爆炸前空气的密度ρ0=1.29 kg/m3;不燃带宽度20 m、自燃带宽度50 m、孔隙率0.3。

图2 分岔、拐弯巷道中超压衰减系数
Fig.2 Attenuation coefficient of overpressure in bifurcation and turning roadway
上隅角瓦斯爆炸体积=散热带总体积+氧化升温带孔隙体积=448 m3,则混合瓦斯气体体积按448 m3计算。
瓦斯爆炸传播距离:①最大距离:距采煤工作面500 m;②最小距离:随着采煤机不断回采,采煤机在巷道的配套设施长度为40~100 m,最终选取40 m。
模拟上隅角瓦斯爆炸如图3所示。

图3 上隅角瓦斯爆炸模拟示意
Fig.3 Gas explosion simulation diagram of upper corner
瓦斯爆炸体积分别为300、400、448 m3时,瓦斯体积分数为9.5%的混合气体发生爆炸,产生的超压值随距离变化的关系如图4所示。
爆炸冲击波传播经工作面90°拐弯衰减,冲击波衰减系数A为1.6。通过冲击波在分岔和转弯巷道内衰减系数计算公式为
A=Δp/Δp′
(4)
瓦斯爆炸体积分别为300、400、448 m3时,瓦斯体积分数为9.5%,冲击波传播经工作面90°拐弯衰减后距爆炸源不同距离的超压如图5所示。反射波至爆炸源不同距离的超压如图6所示。

图4 入射波超压随距离变化曲线
Fig.4 Curves of the overpressure of incident wave changing with distance

图5 入射波衰减后超压随距离变化曲线
Fig.5 Variation curves of overpressure with distance after attenuation of incident wave

图6 冲击波超压数值曲线
Fig.6 Numerical curves of shock wave overpressure
由以上数据可以看出,体积448 m3、体积分数为9.5%的瓦斯距离密闭装置40 m时,密闭装置受到的最大冲击波压力为0.577 MPa;500 m时冲击波压力为0.120 MPa。
1.2.2 采空区瓦斯爆炸冲击强度计算
当井下采空区发生火灾时,采用快速隔离密闭系统对火区进行封闭,满足瓦斯爆炸条件,聚集瓦斯最大体积按采煤工作面15%计算。假设工作面形成体积约2 300 m3、9.5%体积分数瓦斯混合气体聚积。模拟瓦斯爆炸发生情况如图7所示。
瓦斯爆炸传播距离:①最大距离:距采煤工作面500 m;②最小距离:采煤机在巷道配套设施长度为40~100 m,最终选取40 m。

图7 工作面发生瓦斯爆炸模拟示意
Fig.7 Gas explosion simulation diagram of working face
瓦斯爆炸体积分别为2 000、2 300 m3,瓦斯体积分数为9.5%的混合气体发生爆炸,产生的超压随距离变化的关系如图8所示。

图8 入射波超压曲线
Fig.8 Overpressure curves of incident wave
爆炸冲击波传播经90°拐弯衰减,冲击波衰减系数A为1.3。通过冲击波在分岔和转弯巷道内衰减系数计算公式:A = Δp/Δp′。求得体积分别为2 000、2 300 m3,瓦斯体积分数为9.5%,冲击波传播经90°拐弯衰减后距爆炸源不同距离的超压如图9所示。反射波超压随距离变化情况见表1。
表1 采空区瓦斯爆炸产生反射波超压随距离变化
Table1 Variation of reflected wave overpressure
caused by goaf gas explosion with distance

瓦斯体积/m3不同测试点位置的超压/MPa10m40m80m100m200m300m400m500m20001.2680.5070.3270.2820.1840.1460.1260.10923001.3890.5560.3560.3100.2030.1600.1340.117

图9 入射波衰减后超压随距离变化曲线
Fig.9 Variation curves of overpressure with distance after attenuation of incident wave
当体积2 300 m3、体积分数9.5%的瓦斯距离密闭装置40 m时,密闭装置受到的最大冲击波压力为0.556 MPa。500 m时冲击波压力为0.117 MPa。
通过以上2种情况分析计算可知,密闭装置所受到最大冲击压力均不大于0.6 MPa,确定密闭装置设计强度应不小于0.6 MPa。
2.1.1 密闭装备结构设计
目前用于抗压的密闭装置结构型式主要是平面和弧形2种,建立平面与弧形门板的结构模型,并针对模型进行受力分析,具体受力情况如图10、图11所示。
通过受力图可知,同样的压力作用在平面与弧形门扇时,弧形门扇可将所受压力分解为一个横向的分力与一个纵向的分力,2个横向分力大小相等、方向相反,可相互抵消,而平面门板则承受全部压力,故密闭装置采用弧形门扇结构。其门扇采用弧形门板、加强筋和支撑板3层结构,如图12所示。

F1、F2为弧形门板结构不同位置受力
图10 弧形门板受力分析
Fig.10 Stress analysis of curved door plate

F为平面门板结构所受压力
图11 平面门板受力分析
Fig.11 Stress analysis of plane door plate

图12 门体三层结构示意
Fig.12 Three-layer structure diagram of door body
2.1.2 密闭装备规格尺寸设计
密闭装置由门扇、分体门框、密封结构、锁紧机构及气动传动机构等组成,如图13—图16所示。

图13 分体门框示意
Fig.13 Split door frame diagram

图14 密封结构示意
Fig.14 Sealing structure diagram

图15 锁紧机构示意
Fig.15 Schematic diagram of locking mechanism

图16 自救逃生结构示意
Fig.16 Schematic diagram of rescue and escape structure
2.1.3 密闭装备密闭形式设计
1)跨轨道密闭装置设计。密闭装置采用水平旋转形式,如图17所示。通过预先设置一段提升轨道,与固定轨道接口成45°,一端伸进门框、另一端通过轴销固定在底座上,通过气动执行机构实现起落。

图17 提升轨道示意
Fig.17 Lifting orbit diagram
2)跨带式输送机密闭装置设计。密闭装置采用上下闭合密封形式,如图18所示。下支撑基座固定,通过上密闭装置板的运动实现输送带密闭装置的开闭。

图18 带式输送机门示意
Fig.18 Belt conveyor door diagram
3)跨单轨吊密闭装置设计。跨单轨吊密闭装置采用双扇水平旋转形式,如图19所示。

图19 单轨吊门示意
Fig.19 Schematic diagram of monorail hanging door
灾害环境可视化监测进行数据采集、信息传输、数据分析、科学决策,主要用于实时监测密闭区域内的各种有害气体浓度、温度、或视频变化情况,并将检测数据传输到地面指挥控制中心,地面监控中心接收来自井下数据处理中心上传的包括CH4、CO、O2和温度等参数数据,同时提供监测密闭区域内外气体数据变化趋势分析,实现了远程监控、超限报警、智能控制等功能。在线实时监测救援人员通过测量的数据判断密闭空间内的情况,能够精确地掌握密闭区域的情况,有效组织防火灭火以及人员疏散,为密闭指挥提供可靠决策依据。
密闭装置控制系统兼具电控系统、气控系统、手动控制3种控制方式,实现地面远程一键控制、井下就地一键控制、井下单独控制等功能,优先级为手动控制、其次为电控气动,可通过地面指挥中心远程控制运输巷A、回风巷B两套密闭装置实现联动开闭,也可在井下控制中心就地控制密闭装置开闭。通过集视频监控、多参数气体监测、密闭系统远程控制功能为一体的多功能软件平台,保障应急管理工作及时有效的进行。当密闭区域内存在被困人员时,可通过紧急急停按钮对装置各气缸进行泄压,手动开闭密闭装置进行自主逃生,同时系统在一定时间内自动恢复控制。
采用有限元软件ANSYS/LS-DYNA对密闭装置进行抗爆分析。通过建立密闭装置有限元模型,密闭装置内外钢板、肋板等采用壳单元SHELL163单元,壳单元最大网格尺寸为25 mm。巷道墙体壁面为混凝土,光滑。巷道为一段封闭结构,内部充入一定浓度的瓦斯。空气、混合气体及巷道的有限元模型如图20所示。在巷道末端空气截面定义无反射边界条件*BOUNDARY_NON_REFLECTION。巷道横截面面积为13.6 m2、宽度为3.2 m、高度为4.6 m,起爆点距离密闭装置100 m,瓦斯空气混合气体的长度为28 m、体积为380 m3、体积分数为9.5%瓦斯空气混合气体在巷道内发生爆炸,建立有限元模型时巷道内瓦斯空气混合气体及空气采用实体单元SOLID164单元,采用ALE多物质欧拉单元,单元尺寸网格为200 mm。巷道墙体壁面混凝土采用壳单元SHELL163单元。数值模拟有限元模型如图21所示。采用流固耦合的计算方法考虑爆炸空气冲击波与结构的相互作用。计算求解时间为500 ms。

图20 空气、混合气体(瓦斯/煤尘)及巷道有限元模型
Fig.20 Finite element models of air, mixed gas (gas/coal dust) and roadway

图21 密闭装置数值模拟有限元模型
Fig.21 Finite element model for numerical simulation of hermetic device
通过有限元分析,可知装置在0.6 MPa迎面流场峰值超压冲击荷载作用下,经500 ms(0.5 s)作用时间,各个部位的等效应力在0.5 s时均小于结构钢材静屈服强度345 MPa,壳体变形(最大位移)满足对密闭装置抗爆性能的刚度要求。因此,该煤矿井下抗冲击密闭装置结构基本处于弹性状态,可以确认,该密闭装置至少可以抵抗迎面峰值超压为0.6 MPa的瓦斯/煤尘爆炸冲击荷载。
为了验证密闭装置抗冲击结构的合理性,在国家煤矿防爆安全产品质量监督检验中心进行了密闭装置瓦斯爆炸冲击试验。试验装置主要由试验巷道、气体混合管路、发射臼炮、混合通风机、排烟通风机及控制系统组成。在规定条件下,封闭体积为12.80 m3的体积分数9.5%瓦斯的混合气体,将炸药置于发射臼炮炮孔内爆炸,引燃瓦斯气体。观察距离瓦斯爆炸点15 m以外密闭装置受爆炸冲击后的变化,分别对板厚为10、12 mm的密闭装置进行了多次爆炸试验,并通过压力传感器采集瓦斯爆炸过程中产生的冲击波压力。试验数据见表2、图22。
表2 爆炸试验数据
Table 2 Explosion test data

次数压力1/MPa压力2/MPa位移/mm板厚/mm10.6520.69821020.7430.69931030.7560.68521040.6630.69221050.7010.68421060.6950.67321070.6670.71131280.6490.73121290.7280.742312100.6560.698212110.6930.721312120.7110.726312

图22 冲击压力随时间变化曲线
Fig.22 Curves of impact pressure with time
通过多次抗冲击试验测得弧形门表面承受的最大压力大于0.6 MPa,2个试验装置工作状况正常,门扇、手轮、转轴机构、连杆锁紧机构及门框外观无明显的损伤,门框、门扇爆炸前后的对角线一致,验证了密闭装置能够承受0.6 MPa的冲击压力。和有限元分析的结果基本一致,证明有限元分析比较接近真实的爆炸冲击。
为了验证煤矿灾区快速密闭技术及装备的应用效果,选择淮北某煤矿东翼31采区回采工作面作为本次工业试验地点,回采工作面巷道宽度为4.9 m,高度为4.2 m,断面面积为15.6 m2,通过现场应用试验,确定密闭装置能够实现多装备环境的巷道密闭,通过远程/就地电控气动、气动控制和手动控制进行开闭,能够保证3 min快速密闭,密封效果良好,可视化灾害环境监测系统能够封闭区域环境,进行实时监测、超限预警,准确掌握矿井灾害发展态势。
1)通过分析火灾及瓦斯爆炸冲击波衰减规律,构建了受冲击压力的数据模型,提出了密闭系统需承受冲击强度的计算方法。得到密闭装置所受到最大冲击压力均不大于0.6 MPa,确定密闭装置设计强度应不小于0.6 MPa。
2)密闭装置主体采用弧形抗冲击门板、加强筋和平面支撑板3层结构,保证了密闭装置的抗冲击强度。通过设置提升轨道解决跨轨道巷快速密闭问题;利用上下闭合密封形式解决跨带式输送机巷道快速密闭问题;设计异形门结构解决单轨吊巷道快速密闭问题。
3)采用灾害环境及可视化监测技术,应用以电控+气控+手动控制的方法,实现了远程控制快速隔离密闭灾区。
4)煤矿灾区快速密闭技术及装备经过了实验室试验和现场工业试验,验证该装备及技术适用于多装备复杂巷道内火、瓦斯等各类灾害的灾区快速封闭。建立了矿井工作面正常生产期间的灾害预防及发生灾变时的快速应急处置防控减灾体系,可有效避免救灾人员长时间在危险区域施工而发生二次事故的危险。
[1] 亨利奇J.爆炸动力学及其应用[M].熊建国,译.北京:科学出版社,1987.
[2] 程五一,刘晓宇,王魁军.煤与瓦斯突出冲击波阵面传播规律的研究[J].煤炭学报,2004,29(1):57-60.
CHENG Wuyi,LIU Xiaoyu,WANG Kuijun.Study on regulation about shock-wave-front propagating for coal and gas outburst[J].Journal of China Coal Society,2004,29(1):57-60.
[3] 林柏泉,周心权,王继峰.矿井瓦斯防治技术优选-通风和应急救援[M].徐州:中国矿业大学出版社,2008.
[4] 林柏泉,崔恒信.矿井瓦斯防治理论与技术[M].徐州:中国矿业大学出版社,1998.
[5] 林柏泉,叶 青,翟 成,等.瓦斯爆炸在分岔管道中的传播规律及分析[J].煤炭学报,2008,33(2):136-139.
LIN Boquan,YE Qing,ZHAI Cheng,et al.The propagation rule of methane explosion in bifurcation duct[J].Journal of China Coal Society,2008,33(2):136-139.
[6] 曲志明,周心权,王海燕,等.瓦斯爆炸冲击波超压的衰减规律[J].煤炭学报,2008,33(4):410-414.
QU Zhiming,ZHOU Xinquan,WANG Haiyan,et al.Overpressure attenuation of shock wave during gas explosion[J].Journal of China Coal Society,2008,33(4):410-414.
[7] 王海燕,曹 涛,周心权,等.煤矿瓦斯爆炸冲击波超压的衰减规律研究与应用[J].煤炭学报,2009,34(6):778-782.
WANG Haiyan,CAO Tao,ZHOU Xinquan,et al.Research and application of attenuation law about gas explosion shock wave in coalmine[J].Journal of China Coal Society,2009,34(6):778-782.
[8] 杨源林.瓦斯煤尘爆炸的超压计算与预防[J].煤炭工程,1996(2):33-34.
YANG Yuanlin.Calculation and prevention of overpressure of gas and coal dust explosion[J].Coal Engineering,1996(2):33-34.
[9] 林柏泉.煤矿瓦斯爆炸机理及防治技术[M].徐州:中国矿业大学出版社,2012.
[10] 曲志明.煤矿巷道瓦斯爆炸冲击波衰减规律及破坏机理研究[D].北京:中国矿业大学(北京),2007.
[11] 司荣军.矿井瓦斯煤尘爆炸传播规律研究[D].泰安:山东科技大学,2007.
[12] 苏 凤,杨国庆,王选诚,等.冲击载荷作用下矿用防爆密闭门的静力学分析及结构优化[J].煤矿机械,2017,38(3):112-114.
SU Feng,YANG Guoqing,WANG Xuancheng,et al.Structural opyimization and static simulation on coal mine airtight blast door under gas explosion load[J].Coal Mine Machinery,2017,38(3):112-114.
[13] 胡玉琴,陶秋帆,邓宗白.楔形锁紧装置的力学性能分析[J].水利电力机械,2007(5):203-207.
HU Yuqin,TAO Qiufan,DENG Zongbai.Analysis of chanical properties of wedge lock[J].Hydraulic and Electric Machinery,2007(5):203-207.
[14] 吴义田,张庆明,付跃升.某抗爆门结构防护性能的有限元分析[J].弹箭与制导学报,2006,27(2):245-247.
WU Yitian,ZHANG Qingming,FU Yuesheng.The safety of the blast-resistant doors using dynamic FEM analysis[J].Journal of Missile and Missile Guidance,2006,27(2):245-247.
[15] 张 波,盛和泰.ANSYS有限元数值分析原理与工程应用[M].北京:清华大学出版社,2005.
[16] 石少卿,康建功.ANSYS/LS-DYNA在爆炸与冲击领域内的工程应用[M].北京:中国建筑工业出版社,2011.
[17] 谭多望,陈森华.有限元方法在爆炸动力学中的应用[J].爆炸与冲击,1997(17):340-346.
TAN Duowang,CHEN Senhua.Application of finite element method in explosion dynamics[J].Explosion and Impact,1997(17):340-346.
[18] 王连聪,梁运涛,罗海珠.我国矿井热动力灾害理论研究进展与展望[J].煤炭科学技术,2018,46(7):1-9.
WANG Liancong,LIANG Yuntao,LUO Haizhu.Research progress and outlook on thermodynamic disaster of coal mine in China[J].Coal Science and Technology,2018,46(7):1-9.
[19] 艾 兴.神东矿区自然发火特征共性分析及防控技术[J].煤矿安全,2017,48(6):164-168.
AI Xing.Common analysis of spontaneous combustion characteristics and prevention and control technology in Shendong mining area[J].Safety in Coal Mines,2017,48(6):164-168.
[20] 杜 斌,艾 兴.复合采空区自燃“三带”范围确定方法[J].煤矿安全,2016,47(12):187-190.
DU Bin,AI Xing.Determination method of spontaneous combustion “Three Zones”range in composite goaf[J].Safety in Coal Mines,2016,47(12):187-190.
[21] 肖长亮,周二元,翟建斌,等.一种煤矿井下快速密闭装置的门体结构研究[J].煤矿机械,2019,41(3):105-107.
XIAO Changliang,ZHOU Eryuan,ZHAI Jianbin,et al.Study on the door structure of a quick sealing device in underground coal mine[J].Safety in Coal Mines,2019,41(3):105-107.
[22] 肖长亮,丁维国,王 喆.防爆密闭门的有限元分析[J] .煤矿机械,2019,40(2):60-61.
XIAO Changliang,DING Weiguo,WANG Zhe.Finite element analysis of explosion-proof sealing door[J].Coal Mine Machinery,2019,40(2):60-61.
[23] 丁维国.煤矿火区远程控制快速隔离密闭装置[J].煤矿安全,2019,50(5):100-102.
DING Weiguo.Remote control rapid isolation sealing device in coal mine fire area[J].Safety in Coal Mines,2019,50(5):100-102.
[24] 范洪利.工作面联络巷密闭气室注惰气密闭系统及防灭火方法[J].煤矿安全,2018,49(2):89-91.
FAN Hongli.Sealing system and fire prevention method of inert gas injection in airtight chamber of contact lane in working face[J].Safety in Coal Mines,2018,49(2):89-91.