“2019年瓦斯地质学术研讨会”优秀论文专栏
煤矿瓦斯(又称“煤层气”)是在煤的生成和煤的变质过程中伴生的气体。在成煤的过程中生成的瓦斯是古代植物在堆积成煤的初期,纤维素和有机质经厌氧菌的作用分解而成[1]。瓦斯是煤矿生产中的有害因素,它不仅污染空气,而且当空气中瓦斯含量为5%~16%时,遇火会引起爆炸,造成事故[2]。瓦斯的主要组成部分是甲烷,热值与天然气相当,可与之混配混用,属一种清洁燃料。我国是煤层气资源丰富的国家,储量位居世界第3位,仅次于俄罗斯和加拿大。据勘查,埋深小于2 000 m的煤层气总储量约为37万亿m3,大致相当陆上常规天然气资源量,其中,可采资源量超12万亿m3[1]。为保障煤炭的安全绿色开采,我国提出“先抽后采”、“先抽后建”的煤炭开采和煤矿瓦斯防治的国策,使煤矿瓦斯抽采成为刚性需求,抽采瓦斯的利用也起到了显著的效果。就我国国情而言,必须加强煤矿抽采瓦斯利用,以保障煤炭资源的安全、高效、绿色开采,同时保障有效增加供给严重不足的天然气产量。瓦斯在煤层内的流动规律是煤矿瓦斯抽采中的关键科学问题,其与煤岩所受应力状态息息相关[3]。以煤矿井下煤炭的生产为例,随着回采工作面的不断推进,工作面前方煤体受采动的影响将经历原岩应力、受载而后卸载破坏的采动力学过程[4]。因而煤岩的受载状态将在时间和空间上不断发生变化,使得瓦斯在煤层内的流动属性发生改变。研究煤岩受载过程与瓦斯渗透特性的映射规律可模拟和再现工作面前方煤岩体内的瓦斯运移过程,将为工作面瓦斯抽采钻孔的布置提供可靠依据。
目前,诸多学者已针对该问题,开展了大量的研究,许江等[3,5]采用自主研发的含瓦斯煤热流固耦合三轴伺服渗流装置,对加卸载与长时间载荷作用下的含瓦斯煤渗透特性进行测试,分析了煤岩的变形与渗透率的演化规律;文献[6-7]分别开展了不同卸围压速度、型煤与原煤全应力-应变过程与瓦斯渗透特性之间关联的研究;魏建平等[8]进行不同温度条件下的含瓦斯原煤渗流试验,建立了受载含瓦斯煤渗透性与温度和轴向应变的定性定量关系;文献[9-10]分别进行了卸轴压、轴向应力循环加卸条件下的含瓦斯煤渗透特性测试;文献[11-12]分别开展了基于加卸载速度影响下的含瓦斯煤力学及渗透特性试验、加卸载下原煤力学及渗透特性的试验研究;文献[13-14]进行了分级加-卸载与复杂应力路径条件下的含瓦斯煤力学性质及渗透属性演化规律的研究。
综合以上分析,目前我国学者针对煤岩受载状态与瓦斯渗透特性之间关联的研究已取得了丰硕的成果,并已形成了较为严密的理论体系[3,5-14]。由于煤自身属一种特殊的强吸附性弹性多孔介质[1],瓦斯在煤层内的流动除与煤体裂隙系统导流属性有关以外,还与煤与瓦斯之间的吸附作用密切相关[15]。因此,瓦斯在煤体内的流动实际并非为理想的线性渗流,其流速与压力梯度之间应符合某种非线性的函数关系[16-20]。而在煤岩体受载发生塑性变形破坏后,瓦斯在其内部的流动又服从Darcy-Forchheimer方程[21],2种条件下的瓦斯运移模式截然不同。在煤岩受载的过程中,由非线性渗流模型如何过渡为Darcy-Forchheimer式,是当前煤层瓦斯流动理论研究的薄弱之处。这其中,如何连续实施约束环形应变与煤岩受载条件下的瓦斯渗透特性测试是该类研究面临的首要难题。进一步,以煤层瓦斯非线性渗流理论为基础,探寻煤岩受载状态与瓦斯渗透特性之间的关联,构建由非线性渗流过渡至高速流动的Darcy-Forchheimer的全过程数学模型是当前煤层瓦斯流动理论研究中的又一关键科学问题。
鉴于此,笔者拟利用自主研发的可连续实施约束环形应变与轴向受载的煤岩瓦斯渗流试验系统,对原煤试件首先实施约束环形应变条件下不同瓦斯压力、不同压差的渗透特性测试,而后对其施以轴向压力,分析煤岩试件在受载过程中的瓦斯渗透特性。
笔者采用中煤科工集团重庆研究院有限公司研发的煤岩吸附量-渗透特性同步测试系统作为本次的试验装置[19-20],考虑到需进行约束环形应变与连续加载条件下的煤岩渗透特性测试,故对放置煤岩试件的气室进行改造,如图1、图2所示。

图1 气室结构示意
Fig.1 Structural indication of air chamber
该气室通过上部密封挡块与加压装置相连接,上部密封挡块为不锈钢材质,其形状为圆柱体形,侧面开凹槽,用以设置格米圈、密封圈与导向带;格米圈、密封圈位于上部密封挡块中部,其作用在于对煤样上端面实施二次密封,保证在上部密封挡块移动的过程中,煤样端面的气密性;导向带为橡胶材质,其与上部密封挡块、气室表面接触,可保证上部挡块的移动方向为轴向。气室的底部托盘与顶盖均设有法兰,煤样设置于密封缸体内部,托盘与顶盖之间采用螺栓连接紧固;密封缸体的顶盖的环形面上设置均匀的筛孔,用于作为渗透缸体内气体进入煤岩试件的通道。

图2 煤岩渗透特性试验系统结构组成
Fig.2 Experimental system structure of permeability characteristics of coal and rock
气室通过法兰与密封缸体底部托盘连接,并采用螺栓进行紧固。渗透缸体法兰上带有一定深度和宽度的槽,用于放置橡胶密封圈,通过螺栓进行紧固时,两端的法兰通过挤压密封圈形成对气室内气体的密封;入口端气体压力控制器一端通过三通与压力传感器和渗透缸体进气口阀门连接,另一端与测试气体高压气瓶减压阀出口相连接,和真空泵相连,真空泵接口设置有真空泵阀门。气室放入恒温水浴中,恒温水浴用于保持在测试中煤岩试件内气体的渗透温度。
试验所用煤样取自神东煤炭集团保德煤矿8号煤层,其工业分析及吸附瓦斯常数见表1。
表1 煤样基本参数
Table 1 Basic parameters of coal sample

工业分析Aad/%Mad/%Vdaf/%孔隙率/%吸附常数a/(m3·t-1)b/MPa-123.771.8832.136.0019.68050.9834
试验步骤如下:
1)将煤样制备成所需的圆环柱体型,型煤试件:制备好的粒度为0.20~0.25 mm煤粉压入模具中,成型压力为100 kN,保压时间为30 min;内径20 mm,外径100 mm,长度100 mm。
2)将制备好的圆环柱体型煤样放入到密封腔体内,在密封腔体底部和顶部涂抹一定量的密封剂,实现测试煤样的端面密封,之后在煤样顶部放置上密封挡块。
3)将密封腔体放入到气室内,设置气室内的气体压力;试验中,首先进行约束环形应变条件下不同瓦斯压力、不同压差条件下的渗透特性测试,瓦斯压力参数见表2。
表2 试验瓦斯压力
Table 2 Gas pressure of experiment

进气压力/MPa出气压力/MPa压差/MPa0.30.10.90.71.21.02.01.82.82.63.53.30.20.60.11.00.51.51.02.01.52.52.03.53.00.5
4)调节流出圆环柱形煤岩试件的气体压力,使测试气体在压差的驱动下于煤样的环形柱体内流动,待气体渗透达到稳定流动状态,测量稳定流动时的气体流量;并将进口端与出口端的质量流量计累计测试相减,即可获取相应试验条件下煤岩试件的瓦斯含量;之后采用与文献[22]同样的方法,将气室中游离瓦斯含量进行剔除,结合瓦斯含量即可计算得到相应条件下的煤岩吸附瓦斯含量。每完成1个测点后,开启真空泵对煤样进行脱气;而后再次进行含瓦斯煤渗透特性的测试。
为了直观地反映煤岩试件渗透特性与煤岩吸附瓦斯含量之间的关系,在获取相应的瓦斯压力、瓦斯流量等参数后,笔者借鉴文献[2]对钻孔周围煤体瓦斯稳定流动方程的求解结果,建立渗透率与流量、瓦斯压力等参数之间的关联:
(1)
式中:q为单位面积瓦斯流量,m3/(m2·d);μ为瓦斯动力黏度,Pa·s;k为煤岩试件渗透率,m2;R1为煤岩试件内径,m;R2为煤岩试件外径,m;p0为煤岩试件进气端压力,MPa;p1为煤岩试件出气端压力,MPa;pn为标准大气压力,MPa。
5)在完成约束环形应变条件下的煤样渗透特性测试后,逐步对煤岩试件施加轴向应力,开展受载条件下的渗透特性测试;在进行煤样受载条件下的瓦斯渗透特性测试时,通过将上部密封挡块与液压推进装置相接触,通过液压推进装置施加不同的压力即可使煤样承受相应的应力,而后重复步骤4)。为对比约束环形应变与轴向加载条件下含瓦斯煤渗透特性的演化特征,故在轴向应力加载条件下的测试中,将煤岩试件的进气、出气压力设定为表2中压差0.2 MPa时的数值。轴向应力的加载顺序为5 MPa→10 MPa→15 MPa。
约束环形应变条件下的煤岩渗透率与压差、吸附瓦斯含量之间的关系的测试结果,如图3所示。

图3 约束环形应变条件下的渗透率测定结果
Fig.3 Measurement results of permeability under constrained annular strain
由图3可以直观地看出:随着煤岩吸附瓦斯含量的增加,其渗透率逐渐减小;且压差0.2 MPa与压差0.5 MPa条件下的煤岩试件渗透率曲线较为接近,表明实际影响渗透率与吸附瓦斯含量之间存在着极为明显的映射函数关系。
笔者将2种压差条件下的渗透率、煤岩吸附瓦斯含量的数值进行归类分析,结果如图4所示。

图4 瓦斯含量与渗透率之间的关系
Fig.4 Relationship between gas content and permeability
由图4可知,将煤岩吸附瓦斯含量与煤岩试件渗透率进行数据拟合分析后,发现二者之间较好地服从幂函数的关系,即:
(2)
式中:w为煤岩试件吸附瓦斯含量;A、B为拟合参数,与煤体内孔裂隙系统的导流属性及吸附特性有关[19-20]。
式(2)实际与文献[19-20]研究成果一致,将式(2)代入到Darcy Law流动方程中,即可获得含瓦斯煤的非线性渗流模型[19-20]:
(3)
式中:v为气体的流速;Δp为煤岩两端的气体压力差;Δp/Δx为煤岩试件两端的压力梯度;k0为煤岩的极限渗透率,该参数可以通过氦气条件下的渗透测试试验获取;μap为表征煤体气体流动孔道特征的参数,反映了煤体渗透特性随吸附气体量改变的敏感性大小。
笔者认为,约束环形应变条件下的煤样与瓦斯接触,而无其他因素对其渗透特性造成影响,故该种条件下的含瓦斯煤渗透特性的测试结果反映了煤与瓦斯气体分子间的气固反应对渗透率的影响。吸附瓦斯含量的增加使得煤岩试件内部的瓦斯流动通道面积减小,增加了瓦斯流动阻力;同时,吸附作用本身所固有的动态过程也是造成瓦斯流动阻力增大的因素之一。
在完成约束环形应变条件下的煤岩渗透特性测试后,对煤样轴向施加顺序为5 MPa→10 MPa→15 MPa的应力,并进一步测定煤样的渗透率,结果如图5、图6所示。

图5 轴向应力5、10 MPa条件下的渗透率测试结果
Fig.5 Permeability test results under 5、10 MPa axial stresses

图6 轴向应力15 MPa条件下的渗透率测试结果
Fig.6 Permeability test results under 15 MPa axial stresses
由图5可知,在轴向应力与气体压差一定的条件下,随着煤样进气与出气端压力之和平均值的增大,煤岩试件的渗透率亦随之增加;且轴向应力越大,煤样渗透率总体减小。与约束环形应变条件下的含瓦斯煤渗透特性测试结果相比,轴向应力的添加使得渗透率的数值降低了近1个数量级。这是由于轴向应力的加载使得煤体承受了有效应力[18],且随着煤岩试件内部瓦斯压力的减小,煤岩试件内的瓦斯含量减小,有效应力逐渐增加。在此过程中,有效应力对煤岩渗透特性的“负作用”效应强于吸附作用的“正作用”。若煤岩试件的孔、裂隙特性满足一定条件时,有效应力的添加亦将使得煤岩的渗透特性发生更大的变化[11-14]。
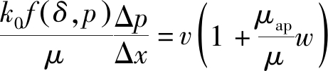
大多数学者认为煤岩渗透率与有效应力之间很好地符合负指数的函数[23-25]关系,结合式(2)、式(3)来分析,笔者认为:有效应力的作用使得煤岩的极限渗透率发生了改变,煤岩的极限渗透率反映了煤岩试件固有的孔、裂隙系统对瓦斯流动的阻滞属性。有效应力的增加使得煤岩材料内的孔、裂隙发生了闭合,因而增加了瓦斯的流动阻力,其数值越大,该种效应愈加明显。为表征有效应力与渗透特性之间的关联,笔者将式(3)添加关于有效应力的函数f(δ,p),则其变形为:
(4)
式中:δ为应力;p为瓦斯压力,
式(3)与式(2)的不同之处在于,增加了关于有效应力的函数f(δ,p),其表征的物理内涵为:有效应力的添加使得瓦斯在煤体内的流动主控因素除吸附作用以外,还增加了应力条件。有效应力控制了煤岩试件的极限渗透率,亦有学者认为有效应力影响了原煤内部部分微孔隙封闭和化学势差变化有关[26]。
由图6可知,在轴向应力15 MPa的条件下,煤岩试件的渗透率较为离散,其与煤样进气与出气端压力之和平均值间无明显的函数关系,且总体数值远大于前述试验结果。笔者认为:此时的煤岩试件已在轴向应力的作用下发生了塑性变形、破坏,其内部已形成了明显的次生裂隙。瓦斯在压力差的驱动下,经由煤岩试件内的原生、次生裂隙将做高速的流动,该种模式已不属于渗流的范畴。并且从实测的渗透率数据来看,其数值在较小的区间内波动,可基本认为该种应力状态下的煤样渗透率为一恒定数值。
如前所述,煤岩发生塑性变形、破坏后的流动特性服从Darcy-Forchheimer方程[21],故综合以上的分析,笔者认为可将瓦斯在煤体内的流动按照受载情况分为以下3个阶段:

(5)
式中:ρ为瓦斯的密度;α2为影响惯性阻力的孔隙结构几何特征参数。
应用式(5)可实现煤岩受载过程与瓦斯渗透特性之间关联的完整分析,煤样受载状态不同,其渗流阻力的组成亦不相同,在约束环形应变条件下(无应力作用),其渗流阻力为:①黏性阻力,它与渗流速度的一次方成正比;②吸附作用引起的非线性附加渗流阻力,它与煤体内的吸附气体含量成正比。正是由于煤与瓦斯气体分子间吸附作用的存在,从而降低了瓦斯气体在煤体内的流速。当w=0,且流速很小时,式(5)即Darcy Law流动方程。在煤岩试件受载时,应力的作用体现为增加了瓦斯的黏性阻力,因而使得流速与压力梯度的比值减小。在煤样发生塑性变形、破坏时,其内部的惯性力占主导,瓦斯流动的惯性阻力与其密度、流速有关。此时,煤岩试件内的次生、原生裂隙系统的阻流属性减弱,导致气体在煤体内的流速增大,此时的惯性阻力就不能忽略。笔者建立的煤岩瓦斯流动模型对表征煤岩不同受载条件下的运移特征更为完整,使渗流阻力组成更清晰,物理意义更明确。
1)在进行约束环形应变条件下的含瓦斯煤渗透特性测试中,随着煤岩吸附瓦斯含量的增加,试件的渗透率逐渐降低,且二者之间较好地服从幂函数的数学关系,这与前期研究成果的结论一致。
2)轴向应力的添加使得渗透率降低了近1个数量级;有效应力对煤岩渗透特性的负作用效应强于吸附作用的正作用。
3)建立了煤岩受载全过程的瓦斯流动模型,并将瓦斯在煤体内的流动按照受载情况分为3个阶段。笔者建立的煤岩瓦斯流动模型对渗流阻力表达更为完整,使渗流阻力组成更清晰,物理意义更明确。
[1] 程 波,向真才,郭 恒,等.煤岩材料对瓦斯吸附性能的研究进展[J].材料导报,2018,32(9):1513-1518.
CHENG Bo, XIANG Zhencai, GUO Heng, et al. A review on gas adsorption performance of coal(rock) material[J].Materials Review,2018,32(9):1513-1518.
[2] 周世宁,林柏泉. 煤层瓦斯赋存与流动理论[M].北京:煤炭工业出版社,1990.
[3] 许 江,李波波,周 婷,等.加卸载条件下煤岩变形特性与渗透特征的试验研究[J].煤炭学报,2012,37(9):1493-1498.
XU Jiang, LI Bobo, ZHOU Ting, et al. Experimental study of coal deformation and permeability characteristics under loading- unloading conditions [J]. Journal of China Coal Society,2012,37(9):1493-1498.
[4] 谢和平,周宏伟,刘建峰,等.不同开采条件下采动力学行为研究[J].煤炭学报,2011, 36(7):1067-1074.
XIE Heping, ZHOU Hongwei, LIU Jianfeng, et al. Mining-induced mechanical behavior in coal seams under different mining layouts[J].Journal of China Coal Society,2011,36(7):1067-1074.
[5] 许 江,叶桂兵,刘 东,等.长期荷载作用下煤层渗透率演化规律的试验分析[J].重庆大学学报,2013,36(9):1-7.
XU Jiang, YE Guibing, LIU Dong, et al. Experimental analysis of the coal seam gas permeability under long-term load[J].Journal of Chongqing University,2013,36(9):1-7.
[6] 尹光志,蒋长宝,王维忠,等.不同卸围压速度对含瓦斯煤岩力学和瓦斯渗流特性影响试验研究[J].岩石力学与工程学报,
2011,30(1):68-77.
YIN Guangzhi, JIANG Changbao, WANG Weizhong, et al. Experimental study of influence of confining pressure unloading speed on mechanical properties and gas permeability of containing-gas coal[J].Chinese Journal of Rock Mechanics and Engineering,2011,30(1):68-77.
[7] 曹树刚,李 勇,郭 平,等.型煤与原煤全应力-应变过程渗流特性对比研究[J].岩石力学与工程学报,2010,29(5):899-906.
CAO Shugang, LI Yong, GUO Ping, et al. Comparative research on permeability characteristics in complete stress-strain process of briquettes and coal samples[J].Chinese Journal of Rock Mechanics and Engineering,2010,29(5):899-906.
[8] 魏建平,吴松刚,王登科,等.温度和轴向变形耦合作用下受载含瓦斯煤渗流规律研究[J].采矿与安全工程学报,2015,32(1):168-174.
WEI Jianping, WU Songgang, WANG Dengke, et al. Seepage rules of loaded coal containing gas under the coupling effect of temperature and axial deformation[J].Journal of Mining & Safety Engineering,2015,32(1):168-174.
[9] 边 光,张东明,李铭辉,等.卸轴压条件下原煤变形及渗透特性实验研究[J].岩石力学与工程学报,2016,35(S2):3689-3695.
BIAN Guang, ZHANG Dongming, LI Minghui,et al. Experimental study of deformation and seepage characteristics of raw coal under unloading axial stress[J].Chinese Journal of Rock Mechanics and Engineering,2016,35(S2):3689-3695.
[10] 孙光中,荆永滨,张瑞林,等.轴向应力循环加卸载作用下含瓦斯煤渗透性研究[J].岩石力学与工程学报,2016,35(5):928-938.
SUN Guangzhong, JIANG Yongbin, ZHANG Ruilin, et al. Permeability of coal samples containing methane under cyclic loading-unloading of axial stresses [J].Chinese Journal of Rock Mechanics and Engineering,2016,35(5):928-938.
[11] 蒋长宝,俞 欢,段敏克,等.基于加卸载速度影响下的含瓦斯煤力学及渗透特性实验研究[J].采矿与安全工程学报,2017,34(6):1216-1222.
JIANG Changbao, YU Huan, DUAN Minke, et al. Experimental study of mechanical and permeability characteristics of coal with methane containing due to different loading-unloading speeds[J].Journal of Mining & Safety Engineering,2017,34(6):1216-1222.
[12] 赵宏刚,张东明,刘 超,等.加卸载下原煤力学特性及渗透演化规律[J].工程科学学报,2016,38(12):1674-1680.
ZHAO Honggang, ZHANG Dongming, LIU Chao, et al. Mechanical characteristics and permeability evolution rule of coal under loading-unloading conditions[J].Chinese Journal of Engineering,2016,38(12):1674-1680.
[13] 段敏克,蒋长宝,俞 欢,等.分级加-卸载条件下原煤的渗透及能耗特征研究[J].岩土力学,2018,39(4):1346-1354.
DUAN Minke, JIANG Changbao, YU Huan, et al. Experimental research on energy dissipation and seepage properties of coal under loading-unloading conditions at different stress levels [J].Rock and Soil Mechanics,2018,39(4):1346-1354.
[14] 刘 超,黄 滚,赵宏刚,等.复杂应力路径下原煤力学与渗透特性试验[J].岩土力学,2018,39(1):191-198.
LIU Chao, HUANG Gun, ZHAO Honggang, et al. Tests on mechanical and permeability characteristics of raw coal under complex stress paths [J].Rock and Soil Mechanics,2018,39(1):191-198.
[15] CONNELLl L D, MAZUMDER S, SANGDER R,et al. Laboratory characterization of coal matrix shrinkage, cleat compressibility and the geotechnical properties determining reservoir permeability[J].Fuel,2016,165:499-512.
[16] 孙培德.煤层瓦斯流场流动规律的研究[J].煤炭学报,1987,24(4):74-82.
SUN Peide. Study of flow in gas flow[J]. Journal of China Coal Society,1987,24(4):74-82.
[17] 邓英尔,谢和平,黄润秋,等.低渗透孔隙-裂隙介质气体非线性渗流运动方程[J].四川大学学报,2006,38(4):1-4.
DENG Ying’er, XIE Heping, HUANG Runqiu, et al. Law of gas nonlinear flow in low permeability pore-fissure media[J]. Journal of Sichuan University, 2006,38(4):1-4.
[18] 李 波,魏建平,王 凯,等.煤层瓦斯渗流非线性运动规律实验研究[J].岩石力学与工程学报,2014,33(S1):3219-3224.
LI Bo, WEI Jianping, WANG Kai, et al. Experimental study of nonlinear motion law for gas seepage in coal seams[J]. Chinese Journal of Rock Mechanics and Engineering, 2014,33(S1): 3219-3224.
[19] 张志刚,程 波.考虑吸附作用影响的煤层瓦斯非线性渗流的数学模型[J].岩石力学与工程学报,2015,34(5):1006-1012.
ZHANG Zhigang, CHENG Bo. Nonlinear equations of gas seepage in coal considering adsorption effect[J]. Chinese Journal of Rock Mechanics and Engineering, 2015,34(5): 1006-1012.
[20] 张志刚,程 波.含瓦斯煤体非线性渗流模型[J].中国矿业大学学报,2015,44(3):453-459.
ZHANG Zhigang, CHENG Bo. Study on a non-linear seepage model of coal containing gas[J]. Journal of China University of Mining & Technology, 2015,44(3):453-459.
[21] 刘卫群,缪协兴,余 为,等.破碎岩石气体渗透性的试验测定方法[J].实验力学,2006(3):399-402.
LIU Weiqun, MIAO Xiexing, YU Wei, et al. A testing method for determining the gas permeability of over broken rocks[J].Journal of Experimental Mechanics,2006(3):399-402.
[22] 方志明,李小春,白 冰.煤岩吸附量-变形-渗透系数同时测量方法研究[J].岩石力学与工程学报,2009,28(9):1828-1833.
FANG Zhiming, LI Xiaochun, BAI Bing. Study of method for simultaneously measuring adsorption-deformation-permeability of coal[J]. Chinese Journal of Rock Mechanics and Engineering, 2009,28(9):1828-1833.
[23] 李晓泉,尹光志.含瓦斯煤的有效体积应力与渗透率关系[J].重庆大学学报,2011,34(8):103-108.
LI Xiaoquan, YIN Guangzhi. Relationship between effective volumetric stressand permeability of gas-filled coal[J].Journal of Chongqing University,2011,34(8):103-108.
[24] 吴世跃,赵 文.含吸附煤层气煤的有效应力分析[J].岩石力学与工程学报,2005,24(10):1674-1678.
WU Shiyue, ZHAO Wen. Analysis of effective stress in adsorbed methane-coal system[J].Chinese Journal of Rock Mechanics and Engineering,2005,24(10):1674-1678.
[25] American Society for the Testing of Materials. D4525 Standard testmethod for permeability of rocks by flowing air[S]. [S. l.]:ASTM,1990.
[26] 李小春,付 旭,方志明,等.有效应力对煤吸附特性影响的试验研究[J].岩土力学,2013,34(5):1247-1252.
LI Xiaochun, FU Xu, FANG Zhiming,et al. Experimental study of influence of effective stress on coal adsorption performance [J].Rock and Soil Mechanics, 2013,34(5):1247-1252.