潮湿细粒级煤炭物料干法深度筛分技术是当今国内外筛分领域亟待解决的难题[1-2],这一问题已引起世界各煤炭大国的重视。弛张筛作为一种对于细、黏、湿物料进行干法筛选的设备[3-5],具有筛分效率高、能耗小、可靠性高、抛射强度大等优点[6-9],已经在煤炭筛分、石油化工、环保节能等领域得到了广泛应用。振动弛张筛是弛张筛的一个革新,属于双质体有阻尼非线性受迫振动,工作点设定在0.75~0.85倍二阶共振频率区域内,系统可以较小的激振力获得较大且稳定的振幅。
弛张筛进入国内市场以来,发展较慢,国内的学者一般都是对弛张筛振动特性以及筛面运动机理进行研究[10-11]。王新文等[12-14]介绍了进口振动弛张筛的结构,建立了其沿筛面方向和垂直筛面方向的力学模型和数学微分方程,并对其进行了求解,解释了弛张筛的振动机理, 分析筛面上单颗粒的运动规律,并探究弛张筛筛面安装方式对其寿命的影响;文献[15]研究了高硬度弛张筛面挠曲运动过程中的大挠度非线性变形特性,导出了筛面变形量随筛面长度的精确定量表达式,以表征筛面的变形特性;陈志强等[16]通过对双质体振动弛张筛进行分析,建立了弛张筛简化的力学模型,通过对非齐次线性方程组的求解,得到了共振解、振幅解和振幅比等参数,得出了双质体振动弛张筛理想的工作区域;刘欣等[17]研究了弛张筛的合理工况点;王成军等[18]利用ANSYS Workbench软件建立有限元参数模型,对弛张筛梁截面的形状大小等进行多参数优化分析。
以上这些研究为弛张筛的理论奠定了基础,对实际生产也具有一定的指导意义,虽然理论较为完善,但真正生产弛张筛的国内厂家还很少,仿造的弛张筛还不能达到国外的先进程度,说明弛张筛还存在着一定的技术壁垒。对于弛张筛的设计而言,浮动筛框与主动筛框的质量比(以下称为主浮筛框质量比)是极为关键的因素,其对弛张筛运动的影响也比较显著,却没有相关报道及分析。鉴于此,笔者建立振动弛张筛有阻尼的力学模型,推导出主浮筛框沿筛面方向的振幅表达式,分析弛张筛主浮筛框质量比对弛张筛运动的影响,进而提出合理的质量比的选择方法,为弛张筛设计提供参考依据。
振动弛张筛是由主动筛框、浮动筛框、剪切弹簧、隔振弹簧、激振器等部分组成(图1)。弛张筛的梁分为主动梁和浮动梁2组,2组梁间隔布置。主动梁直接安装在侧板上,与侧板、激振器、支撑梁等组成主动筛框;侧板对应浮动梁的位置开有方孔,浮动梁两端穿过侧板方孔,与槽钢通过螺栓连接,槽钢上下通过剪切弹簧与侧板软性连接,浮动梁与其支撑装置组成浮动筛框[19]。聚氨酯筛板安装在主动梁与浮动梁之间,当激振器运转时,浮动筛框与主动筛框相对运动,剪切弹簧产生剪切形变,筛板则产生弛张运动,从而实现对物料的筛分。

1—主动筛框;2—激振器;3—隔振弹簧;4—主动梁;5—浮动梁;6—浮动筛框;7—剪切弹簧
图1 振动弛张筛的结构
Fig.1 Structures of vibratory
ip-
ow screen
阻尼影响着主动筛框、浮动筛框的振幅,对于弛张筛运动规律的研究是不可忽视的。鉴于此,建立如图2所示的有阻尼振动弛张筛简化力学模型,推导出有阻尼振动弛张筛主浮筛框沿筛面方向振幅的表达式,分析浮动筛框与主动筛框的质量比对主浮筛框运动规律的影响。

图2 振动弛张筛力学模型
Fig.2 Mechanics model of vibratory
ip-
ow screen
如图2所示,在xoy直角坐标系中,x方向与弛张筛筛面平行,y方向与弛张筛筛面垂直。系统中含有2个振动质体m1和m2,分别为主动筛框和浮动筛框的简化质量;x1和x2分别为主动筛框和浮动筛框x方向的位移;μ为浮动筛框与主动筛框质量比;k1、c1和k2、c2分别为隔振弹簧和剪切弹簧的刚度和阻尼系数;m和r分别为偏心块的偏心质量和偏心距;ω为激振角频率。
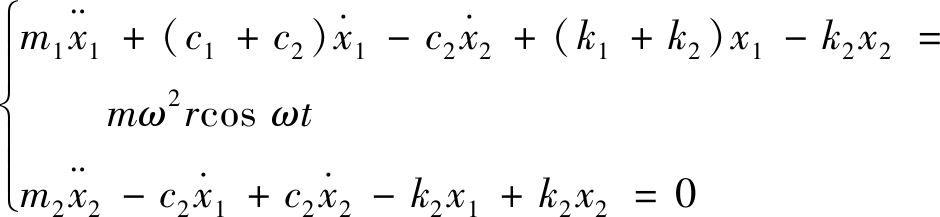
笔者只分析主浮筛框沿筛面方向的运动规律,根据力学模型,列出弛张筛沿x方向的振动微分方程[20]:

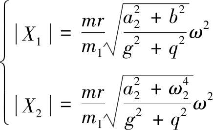
解得主动筛框振幅X1与浮动筛框振幅X2的绝对值为

(1)
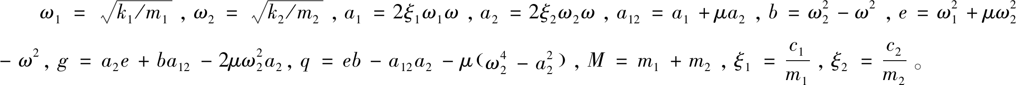
双质体的二阶共振频率为
(2)
其中:ω1和ω2分别为主动筛框、浮动筛框沿x方向的单质体共振频率;μ为主浮筛框质量比,μ=m2/m1,为了使式(1)表达更为简洁,设a1、a2、a12、b、e、g和q为中间计算变量。

式中:M为主浮筛框质量之和;ξ1和ξ2分别为隔振弹簧和剪切弹簧阻尼比。
设计一台1550型半工业性弛张筛,基本参数为:主动筛框质量m1为4 150 kg,浮动筛框质量m2为912 kg,偏心质量m为242.24 kg,偏心距r为25.5 mm,剪切弹簧刚度k2为7 200 kN/mm,二阶共振角频率ω02为89.29 rad/s,激振器的角频率ω为75.9 rad/s,位于二阶共振频率的85%处。以下的幅频特性曲线均基于以上参数来绘制。
当剪切弹簧刚度不变时,调节浮动筛框质量,使浮动筛框与主动筛框质量比增大,主浮筛框的幅频特性曲线变化趋势如图3所示。
当浮动筛框与主动筛框质量比逐渐增大,在一阶共振频率后,主浮筛框的幅频特性曲线均向左移动,当工作频率不变时,则主浮筛框的振幅减小。因此当剪切弹簧刚度及工作频率不变时,可以通过小范围的调节质量比使弛张筛振幅位于合适范围内。
利用上述1550型半工业性弛张筛进行试验验证。试验方法:制作3组配重块,每组配重块质量为150 kg,通过向浮动筛框的两侧增减配重块来调节浮动筛框与主动筛框的质量比,利用DASP振动数据采集仪采集主浮筛框的振幅数据,加速度传感器的布置如图4所示。传感器x方向与弛张筛筛面平行,y方向垂直于筛面,主动筛框与浮动筛框各放置1组。

图3 质量比对幅频特性曲线的影响
Fig.3 Effect of mass ratio on amplitude-frequency characteristic curves

图4 传感器的布置
Fig.4 Arrangement of sensors
安装配重的组数与质量比的关系见表1。
表1 配重组数与对应质量比
Table 1 Number of counter weight groups and corresponding mass ratio

配重组数配重质量/kg固定筛框质量/kg浮动筛框质量/kg质量比/%0 04150 91222115041501062262300415012122934504150136233
依次安装0—3组配重进行试验,每次安装配重后,通过变频器调节激振频率,利用DASP振动数据采集仪采集不同频率下的主浮筛框振幅。因弛张筛主要工作在二阶共振频率的75%~85%处,且当处于共振频率时,主浮筛框振幅过大,浮动梁撞击侧板,对弛张筛产生破坏,因此试验主要采集弛张筛一阶共振频率到二阶共振频率之间的振幅数据,分别绘制幅频特性曲线如图5所示。
根据采集数据绘制的幅频特性曲线可知,当质量比增加时,幅频特性曲线向左移动,验证了上述结果的正确性。
弛张筛主要用于潮湿细粒级物料的筛分,在筛分过程中,物料会参与弛张筛的振动,因此应考虑物料质量对于弛张筛振动系统的影响。笔者将参与振动的物料质量平均分配到主浮筛框质量中,依此来分析不同质量比时,物料质量对弛张筛振幅的影响。
基于上述半工业弛张筛参数,设定浮动筛框质量分别为1 200、200 kg,相应调节剪切弹簧刚度,保证系统的二阶共振频率不变,即工况点不变,分别绘制幅频特性曲线,如图6a、图6b所示。

图5 主浮筛框试验幅频特性曲线
Fig.5 Amplitude-frequency characteristic curves of main-floating screen frames

图6 物料对幅频特性曲线的影响
Fig.6 Effect of material on the amplitude-frequency characteristic curves
当入料2 000 kg时,根据振动筛行业标准[21],参与振动的物料质量等于入料质量乘以物料结合系数,取煤炭物料的结合系数为0.2,则参与振动的物料质量为400 kg,若平均分配到主浮筛框各200 kg,则不同质量比下幅频特性曲线的变化如图6c与图6d所示。
由图6a与图6b可知,二阶共振频率(二阶共振点)不变时,主浮筛框质量比减小,幅频特性曲线反共振点向右移动,更加靠近二阶共振频率;主动筛框二阶共振区、近共振区的振幅降低,整体趋势变化不大;工况点角频率为75.9 rad/s时,对应的主浮筛框振幅变化很小。
加入物料后的曲线如图6c与图6d所示,分别对比图6a与图6c,图6b与图6d,浮动筛框质量为200 kg时,入料后二阶共振频率向左移动的幅度过大,这样便会造成工作频率位于二阶共振频率右侧,使得弛张筛无法正常工作,不利于实际生产。
由上述曲线可知,加入物料后会使二阶共振频率发生漂移。不同质量比下,物料对二阶共振频率的具体影响见表2及图7。
表2 不同质量比下物料对二阶共振频率的影响
Table 2 Effect of materials on second order resonance frequency at different mass ratios

主浮筛框质量比剪切弹簧刚度/(kN·mm-1)二阶共振频率/Hz主浮筛框质量比剪切弹簧刚度/(kN·mm-1)二阶共振频率/Hz0.58115562.840.2972005.350.53109443.090.2462596.370.48102963.360.1952317.880.4396123.660.14410810.280.3988564.130.10288014.510.3480644.630.05151224.30

图7 不同质量比下物料质量对二阶共振频率的影响
Fig.7 Effect of materials on second order resonance frequency at different mass ratio
由表2及图7分析得出:
1)通过曲线可知,随着浮动筛框与主动筛框质量比增大,物料质量对振动系统二阶共振频率的影响减小,幅频特性曲线不会大幅度平移,有利于弛张筛的正常工作。
2)二阶共振频率漂移幅度在其10%以内较为合适。当二阶共振点漂移后,工作频率仍在二阶共振频率的75%~85%内,对弛张筛的工作影响较小。以本文半工业筛为例,二阶共振频率为14.2 Hz,工作频率为12.0 Hz,位于二阶共振频率的85%处,二阶共振频弯为14.42 Hz以内时,弛张筛仍工作在二阶共振频率的75%~85%。
3)图7中曲线表明,随主浮筛框质量比增大,斜率逐渐降低,质量比的影响逐渐减小,由于弛张筛结构和制造费用的限制,质量比不能过大。因此在设计允许的范围内可通过提高质量比来降低入料对振幅的影响。
1)浮动筛框与主动筛框质量比增大,主浮筛框一阶共振频率后的幅频特性曲线向左移动,当工作频率不变时,则主浮筛框的振幅减小,可以通过微调质量比来调节主浮筛框振幅。
2)弛张筛加入物料后,振动系统的二阶共振频率会发生漂移,应选择合适的质量比,使其漂移幅度在10%以内。当二阶共振点漂移后,工作频率仍处于二阶共振频率的75%~85%,对弛张筛的工作影响较小。
3)随主浮筛框质量比的增大,质量比对二阶共振点漂移幅度的影响逐渐减小。为保证较高的性价比,在设计允许的范围内可通过提高质量比来降低入料对振幅的影响。
[1] 范超群,赵洪宇,纪 龙,等.弛张筛筛分效果影响因素及发展趋势分析[J].选煤技术,2013(1):88-90.
FAN Chaoqun,ZHAO Hongyu,JI Long,et al.Development trend and the factors influencing working effect of flip-flow screen[J].Coal Preparation Technology,2013(1):88-90.
[2] 袁 博,徐春江,齐正义,等.弛张筛筛框结构瞬态动力学分析[J].煤矿机械,2015,36(3):112-114.
YUAN Bo,XU Chunjiang,QI Zhengyi,et al.Transient dynamic analysis of flip-flow screen frame structure[J].Coal Mine Machinery,2015,36(3):112-114.
[3] PENG L, LI F, DONG H, et al. Characteristics analysis of a novel centralized-driving flip-flow screen[J]. International Journal of Mining Science and Technology, 2014, 24(2):195-200.
[4] 王志坚,连永强,任晓玲.弛张筛深度筛分使煤泥减量化的研究[J].煤炭加工与综合利用,2014(7):56-57.
WANG Zhijian,LIAN Yongqiang,REN Xiaoling.Study on decreasing slime with deep sieving screening[J].Coal Processing & Comprehensive Utilization,2014(7):56-57.
[5] AKBARI H, ACKAH L, MOHANTY M. Performance optimization of a new air table and flip-flow screen for fine particle dry separation[J]. International Journal of Coal Preparation & Utilization, 2017(4):44-49.
[6] 石剑锋.2SCZ1230型高效双质体弛张筛的研究与应用[J].选煤技术,2014(6):5-8.
SHI Jianfeng.Study and application of 2SCZ1230 high efficiency dual mass flip-flop screen[J].Coal Preparation Technology, 2014(6):5-8.
[7] 李 君,翟宏新,黄绍服,等.弛张筛抛射强度的多目标优化设计[J].安徽理工大学学报:自然科学版,2014,34(2):5-8,27.
LI Jun,ZHAI Hongxin,HUANG Shaofu,et al.Multi-parameter’ s optimized design of vibration intensity of a flip-flow screen[J].Journal of Anhui University of Science and Technology:Natural Science,2014,34(2):5-8,27.
[8] 顾成祥,熊晓燕.圆迹弛张筛动力学参数对振幅的影响[J].煤炭技术,2014,33(12):238-241.
GU Chengxiang,XIONG Xiaoyan.Effect of dynamic parameters on vibration amplitude of flip-flop screen in circular trajectory[J].Coal Technology,2014,33(12):238-241.
[9] 曹银南.弛张筛不同入料量的工艺性能研究[J].煤炭加工与综合利用,2016(9):40-41,45.
CAO Yinnan.Study on the processing performance of flip-flop screen with different feed amount[J].Coal Processing & Comprehensive Utilization,2016(9):40-41,45.
[10] ZHANG J W, HUANG Y Y, CHEN Z H. The basic dynamics study of flip-flow screen and particles based on MATLAB[J]. Applied Mechanics & Materials, 2013(444/445):1340-1344.
[11] 刘凯朋,刘 强,王 振,等.浮框驱动弛张筛的振动特性分析[J].矿山机械,2017,45(4):52-57.
LIU Kaipeng,LIU Qiang,WANG Zhen,et al.Analysis on vibration characteristics of
ip-
op screen driven by
oating frame[J]. Mining & Processing Equipment,2017,45(4):52-57.
[12] 王新文,姚凯旋,张春节,等.进口振动弛张筛的工作机理分析[J].矿山机械,2014,42(5):87-90.
WANG Xinwen,YAO Kaixuan,ZHANG Chunjie,et al.Analysis on working mechanism of imported vibrating flip-flow screen[J]. Mining & Processing Equipment, 2014,42(5):87-90.
[13] 王新文,桑冬一,于 驰,等.振动弛张筛筛面上单颗粒运动特性[J].煤矿机械,2015,36(8):136-139.
WANG Xinwen,SANG Dongyi,YU Chi,et al.Motion characteristic of single material on screen mat of vibratory flip-flow screen[J]. Coal Mine Machinery, 2015,36(8):136-139.
[14] 王新文,桑冬一,赵军生,等.弛张筛筛面安装方式对其寿命影响的分析研究[J].煤矿机械,2015,36(7):237-239.
WANG Xinwen,SANG Dongyi, ZHAO Junsheng,et al.Analysis and research on effect of flip-flow screen surface installation to life[J]. Coal Mine Machinery, 2015,36(7):237-239.
[15] 彭利平,刘初升,董海林,等.弛张筛面大挠度非线性变形分析与实验[J].煤炭学报,2014,39(5):976-980.
PENG Liping, LIU Chusheng, DONG Hailin, et al. Analysis and experiment on the large nonlinear deformation of a flip-flow screen[J].Journal of the China Coal Society, 2014,39(5):976-980.
[16] 陈志强,石剑锋,刘 欣,等.双质体振动弛张筛振动特性分析[J].煤炭工程,2014,46(11):113-114,118.
CHEN Zhiqiang,SHI Jianfeng,LIU Xin,et al.Analysis on vibration characteristics of double mass vibrating flip-flop screen[J]. Coal Engineering,2014,46(11):113-114,118.
[17] 刘 欣,冷小顺,石剑锋,等.弛张筛合理工作点的确定及筛分试验研究[J].煤矿机械,2015,36(7):118-120.
LIU Xin,LENG Xiaoshun,SHI Jianfeng,et al.Determination of operation range and research of screening test for flip-flow screen[J].Coal Mine Machinery,2015,36(7):118-120.
[18] 王成军,陈孝喆,章天雨,等.Binder弛张筛动梁截面多参数优化设计[J].煤炭工程,2016,48(4):121-124.
WANG Chengjun,CHEN Xiaozhe,ZHANG Tianyu,et al.Multiple parameters optimal design of binder flip-flow screen moving beam cross profile[J].Coal Engineering, 2016,48(4):121-124.
[19] 姚凯旋,张文军.基于ADAMS的弛张筛筛面运动机理的研究[J].内蒙古煤炭经济,2017(15):123-125.
YAO Kaixuan,ZHANG Wenjun.Research on movement mechanism of flip-flow screen surface based on ADAMS [J].Inner Mongolia Coal Economy,2017(15):123-125.
[20] 王新文.现代选煤筛分与脱水设备[M].北京:煤炭工业出版社,2015:44-50.
[21] JB/T 9022—1999,全国矿山机械标准化委员会.振动筛设计规范[S].