厚及特厚煤层资源产量与可采储量均占我国煤炭总产量与可采储量的45%以上[1],但现场实测统计数据表明,厚及特厚煤层综放工作面采出率较低,一般在82%左右,并且提高顶煤采出率一直是存在的技术难题之一[2-4]。自综采放顶煤开采技术引进国门至今,众多学者已在放出体发育形态、顶煤运移轨迹、煤矸分界面演化特征等方面取得显著成果[5-7]。吴健[8]从理论角度分析了顶煤散体运动规律、放煤椭球体形成过程,得出煤矸分界面是一个有一定厚度的混矸层,其受扰动次数及程度影响较大;黄炳香等[9]模拟了不同放煤口参数、采放比、放煤工序和步距的煤矸流场特征,得出采放比增加使顶煤层位线和中上部煤矸分界线的斜率增大,煤矸流动速度加快;放煤步距增加使移架后煤矸分界面与顶煤始动线前移间隔加大,整体斜率减小;张宁波等[10-11]用PFC2D模拟分析不同顶煤厚度对煤矸流场特征和顶煤放出规律的影响,得出顶煤损失是随放煤循环逐渐积累的,煤矸流动的速度场和接触力场以放煤口为中心呈半拱形状;文献[12-15]数值模拟了初次放煤、移架、放煤和不同机采高度的顶煤运移放出规律,得出工作面初始放煤漏斗呈对称状,前后煤矸分界面类似于二次曲线且可用横向抛物线加以描述,由于放煤支架的影响,放煤漏斗在沉降的同时向采空区侧偏移;文献[16-18]研究了破碎顶板条件下不同采高的顶煤冒放特征,结果显示顶煤从始动点至放煤口,水平位移和垂直位移不断增大,在支架上方以缓慢的水平位移为主,在支架尾梁附近以增速极快的垂直位移为主,且加大采高有利于顶煤放出;文献[19-20]分析了不同顶煤、直接顶厚度下,顶煤放出的冒落形态、应力分布情况,得出散体顶煤与冒落矸石分界线明显且有序向放煤口流动并行成一束束位移轨迹曲线;王家臣等[21]通过放煤试验和煤矸分界面力学模型分析,从理论层面解释了煤矸分界面形态的成因和控制煤矸分界面形态的方法。
研究成果集中表明,顶煤放出是煤矸分界面形态、顶煤运移和放出体发育综合作用的结果,但现有理论成果都是在单放煤口放煤的基础上得到的,群组放煤方式(相邻几个支架同时打开,见矸后同时关闭)下顶煤的空间结构、运移规律特征、煤矸分界面特征都与单口放煤有较大差别,而且群组放煤也是实现智能化综放开采的一个重要内容。因此,笔者基于松散介质颗粒流动研究经典模型Bergmark-Roos模型[22-23]的改进,对群组放煤工艺下的顶煤放出规律进行研究,通过改善综放开采放煤工艺,提高顶煤采出率、降低含矸率。
Bergmark-Roos模型如图1所示[23],假设图1内任意模型颗粒的移动放出经过时间t后始终经过放煤口下方一点O,即将顶煤放出模型近似看做点放源模型。Bergmark-Roos模型符合下述假设[22-24]:①模型颗粒为单一均质材料;②模型颗粒在移动放出前,所有颗粒均为静止状态;③模型颗粒的移动放出过程是连续不间断的;④模型颗粒的移动放出仅受其自身重力和颗粒间摩擦力的作用,除此之外不受其他外力的影响;⑤模型颗粒的移动放出过程具有大小和方向均固定的加速度。

图1 Bergmark-Roos模型示意
Fig.1 Bergmark-roos model schematic diagram
图1中,m为模型颗粒质量;g为重力加速度;θ为模型颗粒移动放出轨迹与垂直方向的夹角;模型颗粒从起始放煤至放煤结束,始终受自身重力沿运移轨迹的分力mgcos θ;η为模型颗粒能够下移的最大角度,其与内摩擦角φ间的关系为:
为颗粒间的摩擦力,F=mgcos η。
由牛顿模型颗粒受力分析及牛顿第二定律可知,任意时刻模型颗粒的位置与夹角θ和放煤口打开时间t满足二次函数关系;根据B-R模型和点放源模型,假设模型颗粒经时间t后刚好经过放煤口,由反向思维可推导放煤前,模型颗粒始动点位置坐标,其关系式为[23-24]
(1)
则,模型颗粒的最远初始点距离为[23-24]
(2)
散体顶煤模型颗粒放出边界上的初始点距点放源O的距离为[23-24]
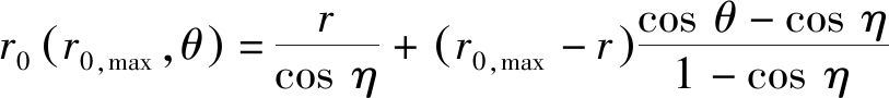
(3)
其中,r为放煤口距点放源O的垂直距离,m;ar(θ)为任意位置模型颗粒的加速度,m/s2;r0,max为模型颗粒放出体边界最远点距点放源的距离,m;r0(r0,max,θ)为模型颗粒放出体边界上任意位置距点放源的距离,m。根据公式(3),可反演出放出体形态理论模型,其中φ=30°,η=30°,r=0.5 m,放出体形态理论模型如图2所示。

图2 放出体形态理论模型
Fig.2 Theoretical model of emission volume morphology
基于非连续介质力学为基础的颗粒离散元数值模拟软件(GDEM),建立特厚近水平煤层综放开采顶煤放落规律数值模型,如图3所示。依据煤层厚度及顶煤放出块度尺寸,按照1∶6比例建立数值模型,模型长×宽为5 m×3 m,模拟倾向长30 m,顶煤厚12 m,直接顶厚6 m煤层赋存条件下的顶煤放出规律;为简化模型,顶煤、直接顶模型颗粒均为相同尺寸,模型颗粒直径为50 mm。

图3 顶煤放落规律数值模型
Fig.3 Numerical model of caving law of top coal
初始放煤前模型颗粒为静止状态,加速度为0,模型颗粒只受自重和上部模型颗粒重力作用(g约为10 m/s2);四周刚性面单元为模型的边界,其固定不动。放煤口的打开与关闭通过命令用刚性面单元来控制,顶煤放落过程中严格执行见矸关门操作以模仿现场实际放煤过程,详细模型颗粒力学参数见表1。
研究综放开采顶煤放出体发育形态(图4)的一般规律时,将整个放煤过程(107 600时步)分为11个时间步长,即10 000时步作为一个单位时间,把每个单位时间的计算结果进行分析提取,反演出放出体发育形态。
表1 模型颗粒力学参数
Table 1 Particle mechanics parameters of model

岩层密度ρ/(kg·m-3)弹性模量E/GPa泊松比μ抗拉强度σb/MPa黏聚力C/MPa内摩擦角φ/(°)顶煤13640.610.326.672.1830.0直接顶25706.680.1627.74.7735.1

图4 放出体形态反演
Fig.4 Inversion of volume morphology
由图4可得,顶煤放出体形态近似为椭圆形,与放出体形态理论模型较为接近。模型中相同颜色标定的模型颗粒在相同时间段内放出,且在前一阶段放出体发育的基础上呈近似环状分布。
因此随时步(1-11)增加,顶煤放出体发育是由放煤口向煤矸分界面呈近似环状的发育过程,顶煤放出过程也是呈近似环状松动放出。
放出体发育为由放煤口向煤矸分界面呈近似环状发育的过程,经数值模拟计算,支架不同组合架数(群组)放煤,放出体发育规律虽较为接近,但又表现出差异性,选取具有说服性的单架放煤、3架同时放煤、6架同时放煤顶煤放出体发育过程为分析对象。放煤过程严格执行见矸关门操作,将不同组合架数放煤过程时步均分为4个阶段,通过提取每阶段放出体边界颗粒信息,绘制出放出体发育过程(图5)。(x,y)表示颗粒位置坐标。

图5 不同支架组合数放煤放出体边界发育过程
Fig.5 Advance process of developed body boundary with different number of coal drawing racks
分析图5可知,随着放煤时步的增长,放出体发育宽度及高度均呈增大趋势,且放出体高度发育速度明显快于宽度;随同时放煤架数的增多,放煤口尺寸增大,放出体边界趋于光滑更加接近椭圆形;同时放出体发育由竖向椭圆形逐渐过渡到类圆形再过渡到横向椭圆形。
经过上述分析可得,放煤口尺寸与放出体发育范围间存在某种对应关系,通过提取支架不同组合架数放煤的放出体发育范围信息,分析放煤口尺寸对放出体发育范围的影响,因支架不同组合架数放煤是在同一模型下计算的,放煤结束后,放出体发育高度都相同,所以在此仅分析同时放煤架数与放出体发育宽度间的关系,如图6所示。

图6 同时放煤架数与放出体发育宽度关系
Fig.6 Relationship between number of coal drawing racks and development width of developed body
由图6可知,放出体发育宽度随同时放煤架数的增多而增大,对放出体发育宽度进行数据拟合得,放出体发育宽度与同时放煤架数满足三次函数关系,表达式为
w=0.02n3-0.24n2+1.14n-0.10
(4)
式中:w为放出体发育宽度,m;n为同时放煤架数;拟合精度R2=0.972。
利用同时放煤架数与放出体发育宽度间的函数关系,可以确定不同组合架数放煤下的放出体发育宽度,结合椭圆面积计算公式可得顶煤最大放出体积,有助于了解邻近支架上方待放顶煤量,对下一循环放煤具有指导意义。
通过在模型中设置监测点,监测顶煤放出过程中模型颗粒的移动轨迹,模型监测点布控如图7所示,共布控19个监测点,各监测点间距为0.25 m,监测点距模型底部2.0 m;放煤结束后提取各个监测点的数据文件,经分析得数值计算全过程模型颗粒的运移轨迹曲线,单架、3架、6架3种不同组合方式放煤顶煤移动放出轨迹如图8所示。

图7 顶煤移动轨迹监测点布控
Fig.7 Monitoring point layout of top coal movement track
分析图8可知,支架不同组合架数放煤方式下,顶煤放出时沿着最小阻力路径呈现整体向放煤口靠拢的现象,移动轨迹曲线为指向放煤口的近似直线;在放煤口中心线两侧(中心位置在x=2.5处,中心垂线用虚线标记),顶煤移动放出轨迹大致呈对称分布,中心线上的顶煤颗粒在自重及上部颗粒重力作用下沿垂直方向运动;同时放煤架数的越多,顶煤移动放出影响范围越大,标定模型颗粒位移也越大,这是因为放煤口尺寸增大,相同时间内经放煤口放出的模型颗粒越多,顶煤的放出引起上部未放出顶煤的松动,因此,顶煤放出影响范围越大,位移也明显增大。

图8 不同支架组合数放煤顶煤移动放出轨迹
Fig.8 Trajectory of top coal movement with different number of coal drawing racks
放煤结束后的煤矸分界面特征反映了煤岩散体的流动特性,同时放煤漏斗形态也间接体现了顶煤放出的体积,为说明支架不同组合架数放煤方式下,煤矸分界面特征的差异性,展示具有说服性的2架同时放煤和5架同时放煤的煤矸分界面,如图9所示。

图9 2架与5架同时放煤煤矸分界面形态
Fig.9 Interface morphology of coal and rock of two and five simultaneous coal drawing
由图9可得,较2架同时放煤煤矸分界面,5架同时放煤煤矸分界面形态更加平缓光滑,这是放煤口尺寸增大,顶煤受放出影响的范围增大的缘故;随着放煤架数的增多,顶煤放出体积增大,顶煤的不断放出伴随着煤矸分界面的不断下沉,放煤结束后的煤矸分界面与初始煤矸分界面所形成的的封闭区间即为放出体的体积。
采用监测点监测的方式(煤矸分界面形态监测点布控同图7),统计顶煤放出过程中的煤矸分界面下沉动态特征,煤矸分界面下沉动态曲线如图10所示。

图10 2架与5架同时放煤煤矸分界面下沉动态曲线
Fig.10 Subsidence dynamic curves of interface of interface morphology of coal and rock of two and five simultaneous coal drawing
由图10可知:随放煤时步增加,受自重和上部煤岩颗粒重力作用的模型颗粒的位移和速度越来越大;同一时步,位于放煤口中心垂线附近的模型颗粒位移都远大于远离放煤口位置的模型颗粒;煤矸分界面下沉动态曲线关于放煤口中心垂线对称;与2架相比,5架同时放煤煤矸分界面下沉动态曲线达到稳定所需时间减少1/2,且影响顶煤放出范围更大。
若以放煤口为起点,依据顶煤放出轨迹为指向放煤口的近似直线,借助松散介质颗粒流动Bergmark-Roos模型中的模型颗粒能够下移的最大角度η,可近似得到放煤口尺寸与顶煤影响范围间的关系,放煤口尺寸与顶煤放出影响范围如图11所示。
由几何关系得顶煤移动放出过程的影响范围为
S=h(l+tan η)
(5)
式中:S为顶煤移动放出影响范围,m2;l为放煤口宽度,m;h为顶煤厚度,m。

图11 放煤口尺寸与顶煤放出影响范围示意
Fig.11 Schematic diagram of size of coal drawing hole and influence range of top coal release
1)基于离散元数值模拟方法,借鉴Bergmark-Roos模型分析,反演出放出体形成过程及放出体形态,得到了放出体发育是由放煤口向煤矸分界面呈近似环状的发育过程,同时证明了顶煤放出椭球体理论的正确性,对放顶煤开采研究具有广泛的借鉴意义。
2)随放煤口尺寸增大,放出体发育经历“竖向椭圆形-类圆形-横向椭圆形”3个过渡阶段,依据顶煤厚度及群组放煤规律可大致确定群组放煤架数。
3)顶煤颗粒运移沿着最小阻力路径以近似直线整体向放煤口靠拢,其移动轨迹关于放煤口中心垂线对称,顶煤放出影响范围和位移随放煤口尺寸增大而增大。
4)煤矸分界面下沉动态曲线最低点的位移、速度以及放煤时间均与放煤口尺寸呈正相关,煤矸分界面下沉动态曲线近似为水平翻转的正态分布曲线。
[1] 王庆一.中国煤炭工业的数字化解读[J].中国煤炭,2012,38(1):18-22.
WANG Qingyi.Digital interpretation of China’s coal industry[J].China Coal.2012,38(1):18-22.
[2] 周光华.特厚煤层大采高开采技术研究及应用[D].西安:西安科技大学,2010.
[3] 郭 峰,郎 丁,黄克军,等.大倾角软煤综放采场支架-围岩系统失稳研究[J].煤炭科学技术, 2018, 46(4):123-128.
GUO Feng,LANG Ding,HUANG Kejun,et al.Study on unstability of powered support-surrounding rock system in fully-mechanized top coal caving mining face in high inclined soft seam[J].Coal Science and Technology, 2018,46(4):123-128.
[4] 王金华.特厚煤层大采高综放开采关键技术[J].煤炭学报,2013,38(12):2089-2098.
WANG Jinhua.Key technology for fully-mechanized top coal caving with large mining height in extra-thick coal seam[J].Journal of China Coal Society.2013,38 (12):2089-2098.
[5] 朱帝杰,陈忠辉,常远,等.基于随机介质理论的综放开采顶煤放出规律研究[J].煤炭科学技术, 2018, 46(1):167-174.
ZHU Dijie, CHEN Zhonghui, CHANG Yuan,et al.Study on top coal caving law of fully-mechanized top coalcaving mining based on random medium theory[J].Coal Science and Technology, 2018, 46(1): 167-174.
[6] 解兴智.浅埋煤层房柱式采空区下长臂开采矿压显现特征[J].煤炭学报,2012,37(6):898-902.
XIE Xingzhi.Study on the characteristics of strata behavior in shallow seam longwall mining under the room-and-pillar mining goaf[J].Journal of China Coal Society,2012,37(6):898-902.
[7] 王家臣.我国综放开采技术及其深层次发展问题的探讨[J].煤炭科学技术,2005,33(1):14-17.
WANG Jiachen.Fully mechanized longwall top coal caving technology in China and discussion on issues of further development[J].Coal Science and Technology,2005,33 (1):14-17.
[8] 吴 健.我国放顶煤开采的理论研究与实践[J].煤炭学报,1991,16(3):1-11.
WU Jian.Theory and practice of sub-level caving methord in China[J].Journal of China Coal Society,1991,16 (3):1-11.
[9] 黄炳香,刘长友,牛宏伟,等.大采高综放开采顶煤放出的煤矸流场特征研究[J].采矿与安全工程学报,2008,25(4):415-419.
HUANG Bingxiang,LIU Changyou,NIU Hongwei.et al.Research on coal-gangue flow field character resulted from great cutting height fully mechanized top coal caving[J].Journal of Mining and Safety Engineering.2008,25 (4):415-419.
[10] ZHANG Ningbo,LIU Changyou,YANG Peiju.Flow of top coal and roof rock and loss of top coal in fully mechanized top coal caving mining of extra thick coal seams[J].Arabian Journal of Geosciences,2016,9(6):465.
[11] 张宁波,刘长友,陈玉明.不稳定厚煤层放顶煤开采煤矸流场规律的数值模拟研究[J].煤炭技术,2014,33(12):1-4.
ZHANG Ningbo,LIU Changyou,CHEN Yuming.Study on coal and gangue flow rule of top-coal caving with erratic hick coal seam by PFC2D[J].Coal Technology,2014,33 (12):1-4.
[12] 解兴智,赵铁林.浅埋坚硬特厚煤层综放开采顶煤冒放结构分析[J].煤炭学报,2016,41(2):359-366.
XIE Xingzhi,ZHAO Tielin.Analysis on the top-coal caving structure of extra-thick hard coalseam with shallow depth in fully mechanized sublevel caving mining[J].Journal of China Coal Society,2016,41 (2):359-366.
[13] 臧传伟,夏俊峰,李华程,等.综放面顶煤放出规律的UDEC数值模拟研究[J].煤炭技术,2014,33(11):311-313.
ZANG Chuanwei,XIA Junfeng,LI Huacheng,et al.Numerical simulation by UDEC on drawing law of fully-mechanized coal mining with caving method[J].Coal Technology,2014,33(11):311-313.
[14] 王国法,庞义辉,刘俊峰.特厚煤层大采高综放开采机采高度的确定与影响[J].煤炭学报,2012,37(11):1777-1782.
WANG Guofa,PANG Yihui,LIU Junfeng.Determination and influence of cutting height of coal by top coal caving method with great mining height in extra thick coal seam[J].Journal of China Coal Society,2012,37 (11):1777-1782.
[15] 王家臣,张锦旺.综放开采顶煤放出规律的BBR研究[J].煤炭学报,2015,40(3):487-493.
WANG Jiachen,ZHANG Jinwang.BBR study of top-coal drawing law in longwall top-coal caving mining[J].Journal of China Coal Society,2015,40 (3):487-493.
[16] 赵铁林,王恩鹏,解兴智.块体理论在坚硬特厚煤层综放开采中的应用探索[J].煤矿开采,2015,20(2):13-15.
ZHAO Tielin,WANG Enpeng,XIE Xingzhi.Application of block theory in full-mechanized caving mining in hard and extremely-thick coal-seam[J].Coal Mining Technology,2015,20 (2):13-15.
[17] 祝凌甫,闫少宏.大采高综放开采顶煤运移规律的数值模拟研究[J].煤矿开采,2011,16(1):11-13,40.
ZHU Lingfu,YAN Shaohong.Numerical simulation of top-coal movement rule in fully-mechanized caving mining with large mining height[J].Coal Mining Technology,2011,16 (1):11-13.40.
[18] 范志忠,于 雷,于海湧.大采高综放开采降低含矸率途径分析[J].中国煤炭,2011,37(2):59-62.
FAN Zhizhong,YU Lei,YU Haiyong.Approaches of reducing refuse content in fully-mechanized top-coal caving with high mining height[J].China Coal,2011,37 (2):59-62.
[19] 王耀辉.提高坚硬顶煤综放开采采出率的措施研究[J].煤炭技术,2015,34(12):22-24.
WANG Yaohui.Study on measures of improving recovery rate of full-mechanized caving mining of hard top coal[J].Coal Technology,2015,34 (12):22-24.
[20] 张会军,闫少宏,毛德兵,等.顶煤采出率与直接顶厚度关系的PFC数值模拟研究[J].煤矿开采,2009,14(6):7-9.
ZHANG Huijun,YAN Shaohong,MAO Debing.et al.Research on relationship of top-coal recovery ratio and height of immediate roof with PFC numerical simulation[J].Coal Mining Technology,2009,14 (6):7-9.
[21] 王家臣,宋正阳.综放开采散体顶煤初始煤岩分界面特征及控制方法[J].煤炭工程,2015,47(7):1-4.
WANG Jiachen,SONG Zhengyang.Characteristic and control method of initial interface between coal and rock under fully mechanized loose top coal caving[J].Coal Engineering,2015,47 (7):1-4.
[22] 陶干强,任凤玉,刘振东,等.随机介质放矿理论的改进研究[J].采矿与安全工程学报,2010,27(2):239-243.
TAO Ganqiang,REN Fengyu,LIU Zhendong,et al.Research on improvement of the stochastic medium theory for ore drawing[J].Journal of Mining and Safety Engineering,2010,27 (2):239-243.
[23] 陶干强,杨仕教,刘振东,等.基于Bergmark-Roos方程的松散矿岩放矿理论研究[J].煤炭学报,2010,35(5):750-754.
TAO Ganqiang,YANG Shijiao,LIU Zhendong,et al.Research of ore drawing method of broken ore and rock based on Bergmark-Roos equation[J].Journal of China Coal Society,2010,35 (5):750-754.
[24] 王家臣,宋正阳,张锦旺,等.综放开采顶煤放出体理论计算模型[J].煤炭学报,2016,41(2):352-358.
WANG Jiachen,SONG Zhengyang,ZHANG Jinwang,et al.Theoretical model of drawing body in LTCC mining[J].Journal of China Coal Society,2016,41 (2):352-358.