特约综述

尹尚先(1964—),男,山西朔州人,博士,教授(二级),博士生导师,矿井防治水专家,享受国务院政府特殊津贴。1984年本科毕业于太原工业大学水利系,同年入山西雁北煤矿建井工程公司工作;1985年考入煤炭科学研究总院西安分院攻读硕士学位,1988年获硕士学位并留院从事矿井水文地质工程地质科研工作;1996年受联合国开发署(UNDP)资助赴美国南伊利诺伊大学(SIU)进修并进行科研合作;1998年调入华南理工大学交通学院从事教学科研工作;1999年考入中国矿业大学(北京)攻读博士学位,2002年获地质工程博士学位后进入中国石油大学(北京)博士后流动站,2004年出站作为特优人才被引进华北科技学院工作至今。现任华北科技学院安全工程学院院长,兼任中国地质学会矿山水防治与利用专业委员会副主任委员、《煤炭科学技术》编委。
尹尚先教授长期从事矿井防治水教学与科研工作,丰富和完善了岩溶陷落柱及致灾理论技术体系,主持研发了矿井突水灾害监测预警系统及水灾应急决策支持专家系统,提出并实践了矿井水资源化模式及优化配置理论技术体系,定义了大水矿区绿色开采概念,建立完善了煤矿安全、职业健康、热能利用、环境保护等“四位一体”承压水体上绿色开采理论与技术体系。作为项目或课题负责人,承担完成了“973计划”、国家科技支撑计划、国家重点研发计划、国家自然科学基金面上项目等10余项科研项目,带领团队成功入选教育部“创新团队发展”计划并获滚动支持。作为国家煤矿安全监察局专家多次参加煤矿重特大水灾事故抢险救灾及事故调查,为《煤矿防治水规定》《煤矿安全规程》《煤矿防治水手册》《煤矿防治水细则》主要制定者及修编者。
尹尚先教授现为中央直接掌握联系的高级专家,新世纪百千万人才工程国家级人选,教育部创新团队带头人,教育部新世纪优秀人才,国家安全生产专家,中国煤炭工业优秀创新人才。荣获国家科技进步奖3项、省部级奖项30余项,专著4部;发表论文40余篇,其中SCI和Ei收录32篇,获得发明专利及软件著作权10余项。
陷落柱实际上是一种特殊断陷断层,所有岩溶或非岩溶地层塌陷均可称之为陷落柱。当然,岩溶塌陷形成的陷落柱占绝大多数,研究也最为充分,对陷落柱的认识亦始于岩溶塌陷。《岩溶学词典》[1]将岩溶陷落柱(Karst Collapse Breccria Pipe)解释为:埋藏型岩溶区地下溶洞的顶部岩层及覆盖层失去支撑,发生塌陷所形成的上小下大的锥状陷落体。显然,“上小下大”有失偏颇,岩溶塌陷存在“上大下小”或者不等径的串珠状或者葫芦状等形式。
从地质角度来研究岩溶陷落柱,则更贴近煤炭开发,《地质辞典》[2]中定义岩溶陷落柱(Karst Collapse Column),简称陷落柱,是煤田地区因下伏石灰岩层岩溶发育,在重力作用下,上覆岩层包括煤系地层呈柱状或圆锥状塌陷形成的地质体的总称。它强调了“煤田地区”,但在其形成力学机制上,仅强调了“重力作用”,并不全面。后面将在成因机理中深入讨论,所有岩层都受到重力作用,而有些区域能够形成陷落柱,大部分地区却没有。
岩溶塌陷在全世界均有分布,但煤田岩溶陷落柱分布非常局限,特别是华北型煤田岩溶陷落柱,仅分布在我国北方石炭二叠系煤田中,其他地区因不具有灰岩直接上覆煤系地层的特殊岩层结构,因此,我国华北型煤田岩溶陷落柱具有局域独特性。
笔者将陷落柱定义为,是煤系下伏灰岩中溶洞顶部覆岩发生塌陷所形成的不规则柱状或锥状陷落体。在煤炭行业,陷落柱俗称“无炭柱”,英文译名为(Karst Collapse Column)。
岩溶陷落柱是我国华北煤田广泛发育的一种极富区域特色的地质现象。在华北晚古生代(辽冀鲁晋蒙陕豫皖苏)和中生代(鄂尔多斯煤田及大同煤田)、华南晚三叠纪须家河组含煤岩系中广泛分布,绝大多数以隐伏形式存在,其特殊的工程地质水文地质特征,严重威胁着煤炭资源的安全开采。陷落柱属于隐伏垂向构造,其导致的突水具有隐蔽性、突发性且导通丰富岩溶地下水等特点,对煤矿安全生产、环境及当地人民生活危害极大。
陷落柱形成为复杂地质历史事件。其研究涉及到区域地质构造变迁发育史、应力场控制升降运动、岩溶径流带发育、柱体物质压密胶结程度、岩矿成分组成等多种影响因素,对于恢复地质历史过程、沉积环境、岩溶发展演化、矿物组分演化等地质学基本科学问题,具有重要理论意义,其研究的科学性也正是体现于此。
针对我国华北陷落柱的特殊地质环境及岩体结构,学者们从地质条件及沉积环境、发育特征及分布规律、影响因素及成因、力学模型和突水机理及探查治理等多方面开展了大量研究,取得了显著进展。笔者将系统梳理总结该领域研究进展,阐述“陷落柱特征—影响因素—发育规律—分类—成因—突水模式—力学模型—突水机理—突水判别—突(涌)水预测—探查治理”基本理论,点评尚存争议,提出未来科学及技术难题,总结过往继往开来。
陷落柱属岩溶塌陷的研究范畴,由于其塌陷体的形态特征,在煤矿区将其称之为岩溶陷落柱。陷落柱破坏煤层的完整性,减少可采储量,造成无效进尺,影响掘进进度和采煤产量以及煤质等。陷落柱会使采煤机械下沉压架,造成不可估量的经济损失;在煤层气的勘探中,由于陷落柱具有高孔隙度、低应力分布的特点,使之成为良好的煤层气吸附区带。在煤炭的开采过程中,陷落柱会形成良好的导水通道,产生煤层顶、底板的突水问题。
陷落柱的根置于可溶岩溶洞中,常可作为强导水通道,导致奥陶系灰岩(以下简称奥灰)突水事故,已经造成我国矿山多次淹井灾害。受灾煤矿由华北型煤田北部的开滦矿区到南部的平顶山、两淮矿区,从西部的渭北矿区、乌海矿区到东部的肥城、淄博矿区,几乎涵盖了整个华北煤田,陷落柱突水已成为煤矿最严重的灾害之一(表1)。由于致灾严重,因此,陷落柱突水催生了对陷落柱这种神奇地质现象的不断探索。
岩溶塌陷在我国分布广泛,对其认识随着塌陷现象的观测及危害的防治而不断深入,早在春秋战国时期,即有岩溶塌陷现象的描述记载,直到20世纪20年代才形成有限研究成果,在此基础上,逐步规范为《岩溶学词典》《地质辞典》等所定义的术语。煤田岩溶陷落柱,其研究历程与煤炭资源开发密不可分。19世纪80年代,英国在我国开滦开始工业化开采,由于开采煤层埋藏浅,一直未遇到过陷落柱问题或者遇到过但未致灾而未受到重视。二战时期,德日掠夺我国煤炭资源,1937 年,德国技术人员首先在河北井陉煤矿井下发现陷落柱。随后,日本人松泽勋在太原西山白家庄西峪村发现了“十余个不规则圆形柱状地体,直径30~13 m,柱体被大小各异的岩石碎片充填,该柱体底界在奥陶系石灰岩中,为空洞陷没起因,称为无炭柱或陷没柱”。1944年,小贯义男[3]详细研究了“圆形断层”、“圆形柱状地体”,将这种构造命名为“陷落柱”。1954年12月5日,林西矿四水平西23石门处向北开凿透风井石门工程发生突水,最大涌水量6 000 m3/h。当时苏联专家认定为断层突水,但根据涌水量及当时工程描述,笔者研究认为应为陷落柱突水[4]。这也是我国煤田岩溶陷落柱历史上第1次突水。
表1 历次岩溶陷落柱突水统计
Table 1 Historical statistics of water inrush from Karst collapse column

发生地点最大突水量/(m3·min-1)突水日期(年-月-日)损失程度或经济损失河北井陉三矿1.801964-04-13矿坑突水安阳铜冶矿103工作面下平巷23.301965-08-25淹井霍州圣佛矿483大巷7.801967-01-28淹井焦作李封矿东18120.001967-03-29淹井河北开滦范各庄二水平204工作面59.701978-03-08淹没-310m水平江苏徐州庞庄东城井1.601983-01-15淹没部分巷道河北开滦范各庄2176工作面14.081983-06-03淹井河北开滦范各庄2171工作面2053.001984-06-02淹4个矿井,5.0亿元霍州圣佛矿500m水平大巷3.301984-04-06淹没部分巷道山东肥城国家庄煤矿550.001993-01-05淹井河北井陉三矿1.801964-04-13矿坑突水河北省临城煤矿首采区首采面—1995-11-29淹井,6400万元皖北任楼矿7222工作面576.001996-03-04淹井,3.5亿元徐州张集矿-300m水平轨道下山400.001997-02-18淹井肥城杨庄矿七采区8701工作面40.001997-04-22淹没部分巷道辉县吴村矿32031工作面40.001999-11-25淹采区邢台东庞矿2903工作面1167.002003-04-12淹井,3.0亿元河北峰峰九龙煤矿120.002009-01-08淹井内蒙古桌子山骆驼山煤矿1000.002010-03-01淹井河北峰峰黄沙煤矿380.002011-12-11淹井安徽淮北桃园煤矿167.002013-02-03淹井安徽淮南潘二煤矿242.002017-05-25淹没部分巷道
新中国成立后,随着煤炭资源大规模开发,陷落柱带来的问题逐渐显露。20世纪60年代,河北井陉三矿、河南安阳铜冶矿、山西霍县圣佛矿和河南焦作李封矿,以及70年代河北开滦范各庄矿,相继发生陷落柱突水,造成重大人员和财产损失,至80年代达到顶峰,1984年6月2日,开滦范各庄矿2171综采工作面发生世界采矿史上罕见的透水灾害,最大涌水量2 053 m3/min,迫使该矿井及周边4对矿井处于停产状态,直接经济损失数亿元。为了应对日益严重的陷落柱突水灾害,地质及采矿界学者开展了卓有成效的研究探索。钱学溥[5]、徐卫国等[6]、王锐[7]就陷落柱成因展开深入探讨,提出了多种成因机制学说;随后,20世纪80年代末至90年代初,迎来该领域研究的“百花齐放,百家争鸣”阶段。1982年,中国地质学会岩溶地质专业委员会,召开中国北方岩溶和岩溶水会议,其中多篇论文涉及岩溶陷落柱研究[8];之后,由中国煤炭学会矿井地质专业委员会主办,连续召开第一、第二届华北陷落柱专题学术讨论会,特别是1987年8月25—28日,由山西、河北煤炭学会联合组织召开了华北地区岩溶陷落柱学术交流会,50多个单位80余名代表参加了会议,共提交论文22篇,会议规模大,成果丰硕,基本观点得到认可,如陷落柱的平面分片分区展布规律,以及成群发育特点,空间上受构造控制等,为陷落柱研究奠定了基础[9]。20世纪90年代由于煤炭体制改革和行业萧条,此研究方向处于低谷。进入新世纪,随着煤炭形势好转和“黄金十年”的到来,陷落柱研究重新活跃。2003年8月23—25日,在山西太原召开的全国矿井地质会议上,关于陷落柱的论文的数量占到半壁江山,并提议把陷落柱作为1个学术专题,定期进行学术交流[10]。2007年12月中国地质学会举行了华北地区岩溶陷落柱学术交流会,新观点新方法不断涌现[11]。
在实际操作层面,1984年范各庄矿陷落柱突水后,开滦矿务局与煤炭科学研究总院西安分院等单位合作[12-13],由沈昌炽高级工程师牵头,成功实施了陷落柱注浆堵水工程,到1986年实现矿井复产,创新了包括陷落柱止水塞在内的多项新技术新方法,创造了多项世界纪录,开创了奥灰岩溶陷落柱特大突水灾害治理工程的先河,获得国家科技进步二等奖。
针对我国陷落柱突水淹井严峻形势,我国从“六五”期间将煤矿防治水列入国家重点攻关项目,到“七五”、“八五”期间煤矿防治水一期和二期工业性试验的完成,国家有计划组织了煤田岩溶陷落柱的研究,取得丰硕成果。其中,李金凯等[14]对邯邢地区岩溶及岩溶陷落柱开展了调查研究,分析总结了华北型煤矿床陷落柱突水水文地质环境,并对陷落柱进行了定性预测;潘文勇[15]则分别对焦作矿区和渭北矿区岩溶及岩溶陷落柱发育及分布规律开展了调查研究。1987年开始,地质矿产部和中国统配煤矿总公司共同设立岩溶水研究专项课题,1989年由叶贵钧等[16]牵头完成了《中国北方岩溶地下水资源及大水矿区岩溶水的预测、利用与管理的研究》项目总体研究报告,从大区域宏观尺度研究了岩溶水文地质条件,为岩溶陷落柱的研究奠定了坚实基础,该项目获1991年度地质矿产部勘查一等奖和1992年度国家科技进步三等奖。笔者作为当时团队成员参加了该项目,参与了陷落柱及相关研究工作,为笔者研究陷落柱积累了宝贵资料和经验。
之后,同样是由于煤炭行业管理体制变化,国家部委层面再未组织大规模相关研究项目。2006年,科技部启动的国家重点基础研究发展计划(973项目),由虎维岳、何满潮为首席科学家开展的“深部煤炭资源赋存规律、开采地质条件与精细探测基础研究(2006CB202200)”,其中涉及了煤田岩溶陷落柱及其突水相关内容;2007年,国家重点基础研究发展计划(973项目)“煤矿突水机理与防治基础理论研究(2007CB209400)”,其中课题二“矿井突水的动力学特征及控制因素”,由王家臣教授负责,开展了陷落柱突水相关模拟试验研究[17]。
受国家自然科学基金委资助与陷落柱研究直接相关的研究团队有3个。① 太原理工大学郭敏泰教授团队,1998年获国家自然科学基金资助项目“华北煤田基底溶洞网络与陷落柱发育规律研究”(49772133),提交多篇学位论文,发表多篇文章[18-19],在陷落柱形态学、形成时间等方向颇有建树;② 笔者所在的华北科技学院研究团队,2006年获国家自然科学基金资助项目“基于厚壁筒理论的陷落柱突水模式研究”(40672156);2011年的“岩溶陷落柱突水量多种流态多重介质多场流固耦合模拟预测”(51074075),2019年的“华北型煤田岩溶陷落柱导水性研究”(51974126),对陷落柱有关的悬而未决的问题开展了针对性研究,形成了较为系统的研究成果,出版2部专著《华北煤田岩溶陷落柱及其突水研究》,2008年;《煤田隐伏岩溶陷落柱探查与综合治理技术》,2011年;并发表系列相关文章[20-29];③中国矿业大学(北京)武强院士研究团队,2011年完成国家自然科学基金资助项目“动态应力场与渗透性耦合环境下煤层底板隐伏陷落柱滞后突水机理与应用研究”(51174289),完成博士论文1篇及多篇硕士论文[30],在“陷落柱滞后突水机理研究”方面做出了开创性的贡献。
随着开采深度增加以及解放下组煤实施带压开采,陷落柱预测与治理研究不断深化。继1984年开滦范各庄矿陷落柱特大突水治理取得重大成果后,陷落柱预测、探查、治理基本理论不断完善。北方岩溶水研究专项中,在调研北方岩溶陷落柱分布状况的基础上,总结了其发育分布规律,并开展了定性预测研究;佘祖琪[31]依据阳泉矿区分区分片集中成群分布的特点和规律,做了定性预测;张敬凯等[32]据霍州矿区曹村煤矿陷落柱8条近东西向弧形和6条近南北向发育带,进行了未采区域陷落柱发育情况预测;1996年11月,太原西山煤电集团官地矿组织地质人员编写了《太原西山煤田官地矿区岩溶陷落柱分析预测报告》,杜儿坪矿区地质科人员编写了《杜儿坪矿盘区陷落柱预测报告》;褚志忠[33]提出可用陷落柱伴生断层预测陷落柱;张永双等[34]总结了华北型煤田陷落柱的空间分布规律,初步提出了陷落柱宏观预测指标体系;笔者以开滦、皖北、冀中3个矿区为示范,建立了2个一级指标10个二级指标的岩溶陷落柱综合预测指标体系,量化考虑了多种因素的综合影响,基于分形理论以及模糊层次分析方法建立了陷落柱预测模型,并编写了软件,获得河北省科技技术二等奖。
以岩溶陷落柱基本理论体系为基础,华北型煤田隐伏含水陷落柱预探评价与快速治理理论及关键技术,获2011年度国家科技进步二等奖,标志着其治理理论及技术也进入新阶段。借助定向钻进技术在奥灰水防治中迅速广泛的推广应用,区域探查治理技术[35]得到迅速发展,陷落柱的超前探查治理及灾后封堵也受益匪浅,从技术水平到经济效益都达到了前所未有的高度。
由于特殊的地质构造及地层结构,造就了中国华北型煤田岩溶陷落柱,陷落柱就像一颗颗“螺丝钉”将华北的上覆煤系地层固定在基底灰岩上。华北型煤田岩溶陷落柱为本区域特有的地质现象,因此,在我国其他区域乃至世界各地,没有相同的地质现象。
由于陷落柱仅发育于中国,因此国外学者对陷落柱的关注及研究极少,可以借鉴的,一是与陷落柱成因类似的陷坑(Sinkhole)[36]岩溶塌陷研究成果,如,M Van Den Eeckhaut等[37]通过对比利时SouthLimburg地区废弃的石灰岩矿地下硐室塌陷引起的陷坑进行了研究,认为陷坑的形成多发生在有地下水大量补充的春季;二是与采矿类似的采空区垮落机制,如,俄罗斯普罗托吉亚夫提出的拱形冒落论[38],德国舒尔茨和施托克提出的悬臂梁(板)理论[39],俄罗斯库兹涅夫提出的岩块铰结构,后经改造发展为砌体梁平衡、块体理论、人工铰理论等[40-41]。但是陷落柱与上述2种现象又不完全相同:①岩溶塌陷与陷落柱的地质环境、岩体结构差异较大;②陷落柱柱体形状与采面冒落的漏斗状不同,边界形状特征不同;③陷落柱与断层不同,围岩牵引现象不明显。因此上述理论学说不能完全解释陷落柱的成因机制。
形态、物质组成、出露特征是描述岩溶陷落柱的基本要素,也是推测成因机制、总结分布规律、判断其导水性以及突水预测的基础,研究成果较多[20,26,42-47],但遗憾的是,至今仍未实见完整陷落柱,绝大多数仅为局部直接揭露或地面出露,只能依据钻探、物探或者化探等手段借助“将今论古”地学思维分析方法恢复其本来面貌。
2.1.1 岩溶陷落柱形态特征
岩溶陷落柱的形态是岩溶陷落柱最重要的特征之一,同时也是其最本质和最鲜明的客观表现形式。岩溶陷落柱的形态要素主要包括平面形状、剖面形状、柱体高度和柱体中心轴等。华北各煤矿区实际揭露资料表明[18-19,26,30,45-48],岩溶陷落柱的平面形状不一,面积大小不同;剖面形状多种多样,极不规则;柱体高度大小各异;柱体中心轴复杂多变。
1)岩溶陷落柱平面形状。平面形状是指岩溶陷落柱柱体与地表或岩层层面的切割面形状,也称为横切面形状。根据目前揭露的资料,其平面形状主要有椭圆形、似圆形、肾形、长条形和不规则形等,其中呈椭圆形和似圆形者居多,尤以椭圆形最多。同一岩溶陷落柱,由于垂向上围岩岩层性质的差异,其平面形状有时也有变化。在不同的矿区和井田,或同一井田不同构造区段的岩溶陷落柱,因受形成条件和各种因素的影响,其平面形状有所不同,长、短轴大小不一,平面面积有大有小,并且相差十分悬殊。最大的长轴超过1 000 m,最小的长轴不足10 m。面积最大可达数万平方米到十余万平方米,面积最小者仅几十平方米。
2)岩溶陷落柱剖面形状。华北各矿区所揭露的岩溶陷落柱,其柱面在剖面上一般呈凹凸状、锯齿状和折线状,而水平切面为一封闭椭圆曲线。在岩性比较坚硬均一、裂隙又比较发育的岩层中,其剖面形状多呈上小下大的圆锥状,塌陷角一般为60°~80° ,华北型煤田中这种形状的岩溶陷落柱最多。在松散层中,岩溶陷落柱的剖面形状多呈上大下小的漏斗状,塌陷角比较小,为40°~50°,此种岩溶陷落柱在华东地区的一些煤田中多见。当然,总体来看,其剖面形状呈不规则状者居多。
3)岩溶陷落柱高度。岩溶陷落柱高度一般是指溶洞底面至岩溶陷落柱柱顶的距离,但至今尚未有钻孔直接探到溶洞底面的资料报道,此处所谓的岩溶陷落柱高度笼统的指奥陶系石灰岩顶部至柱顶或塌陷顶的距离。华北型煤田不同矿区的不同岩溶陷落柱,柱体高度大小差别十分显著。岩溶陷落柱的柱体高度与奥陶系石灰岩顶部岩溶洞穴的规模大小、地下水径流条件、上覆岩层的岩石物理力学性质、裂隙发育程度和稳定性有关。如果奥陶系石灰岩顶部溶洞体积大,地下水径流条件好,上覆岩层裂隙发育且稳定性差,则岩溶陷落柱的柱体高度就大,反之则小。
实际揭露的岩溶陷落柱塌陷高度多在100 m以上,大者可高达500、600 m,陷落柱柱体超高发育如何解释?有学者研究认为[45-46],上覆岩层塌落取决于悬空区的空顶面积和悬空高度,上覆岩体的塌陷高度一般为悬空高度的2.5~3.0倍。这样形成200 m高度的陷落柱就要有近百米高的大岩溶体,500 m高的陷落柱要有200 m高的巨大岩溶空间。即使按照采矿工程实践中导水裂隙带预测经验,采空区形成的冒落带高度一般是采高的3~5倍,按最大5倍来估算,500 m高的陷落柱也需要100 m高的巨大岩溶空间。所以很难想象陷落柱为一次性垮落形成。
笔者通过区域地质条件及构造演化规律分析研究[49],华北型煤田经过多期次构造运动是造成本区垂向裂隙发育且延展深度大、陷落柱柱体超高发育的主要原因。华北型煤田构造演化主要经历印支期、燕山期、喜马拉雅期3个历程,3次区域应力场叠加塑造了该区NNW向为主并与NWW直交的网格状构造及岩脉格局,垂向裂隙发育,发育深度大,为煤系地层垮落奠定了基础。基底灰岩,在印支期形成的岩溶空间,不足以满足上部煤系地层发生一次性完全垮落,而是在后续燕山期、喜马拉雅期构造运动时发生持续性的垮落,岩溶水不断将垮落物带走,柱体不断向上发育,形成华北型煤田部分区域陷落柱柱体超高发育。
4)岩溶陷落柱中心轴。岩溶陷落柱各横切面中心点的连线称为岩溶陷落柱的中心轴或中心线。实际揭露的岩溶陷落柱中心轴大多数不是垂直岩层层面,而是歪斜或弯曲变形的,有的甚至发生扭转。中心轴的形状反映了岩溶陷落柱形成过程的多期次性和间歇性以及构造对陷落柱的改造作用。
2.1.2 岩溶陷落柱内部充填物特征
柱体主要由上覆岩层的岩石碎屑及少量次生矿物质组成。陷落柱内部结构具有堆积物杂乱无章、充填物多为煤系地层岩块、不同陷落柱或同一陷落柱的不同部位岩石下移的距离不一样、充填物风化程度明显差异等特征。①陷落岩体的时代比周围正常岩层的时代新;②大部分陷落柱充填物质岩性混杂,层位混乱,杂乱无章,色调不均,也有少量柱体整体下陷,塌陷层位保持正常;③柱体内充填物质形状极不规则,大小不一,棱角明显,大部分胶结成岩,钙质、硅质、泥质或者混合胶结。
2.1.3 岩溶陷落柱出露特征
1)岩溶陷落柱地表出露特征。在山西阳泉、汾西等矿区,常有一些岩溶陷落柱出露于地表形成各种奇特的地貌景观。①平面盆状塌陷坑。岩溶陷落柱塌陷至地表常呈圆形或椭圆形的盆状凹坑,坑内大小岩块混杂堆积,以胶结者居多;②垂向柱状破碎带。在太原西山矿区和汾西矿区的自然剖面或人工剖面上,有时可见岩溶陷落柱出露的柱状破碎带,边界清晰;③丘状凸起。是岩溶陷落柱在地表出露后形成的一种十分奇特的微型地貌。在山西阳泉和平定等矿区,常见到山西组页岩中有隆起的石盒子组或石千峰组的砂岩堆,因石盒子组砂岩比山西组页岩坚硬、抗风化剥蚀能力强,从而残留下来形成丘状凸起的地貌景观。
2)岩溶陷落柱井下出露特征。通过大量调研及现场勘查,当采掘工程接近岩溶陷落柱时的地质异常特征,即,①周围的煤、岩层向岩溶陷落柱中心方向倾斜;②周围的煤、岩层中产生大量的张裂隙;③小型正断层明显增多,小断层呈环形分布在柱体周围,走向大致与柱面切线方向平行,延伸不远很快消失;④因地下水作用常被氧化,使煤层光泽变暗,煤质松软,灰分增高,严重者可变为煤华;⑤地下水的涌出量会骤然增加,甚至导致淹井事故;⑥岩溶陷落柱导致一定范围内煤层顶板不同程度的破碎,采掘工程接近时,出现顶板压力异常现象。
2.1.4 岩溶陷落柱结构构造特征
1)柱体结构特征。柱体在横向上和纵向上具有一定的分带性。在水平方向上,从外向里一般可划分出外围影响带、边缘过渡带和中心塌陷带3个带。在垂直方向上,自上而下有时可将岩溶陷落柱划分为顶部悬空带、上部整体碎裂带、中部松散破碎带和下部致密混杂带4个带。
2)柱内岩层塌距特征。塌距是指某一层位岩层在柱体内向下塌落的最大距离。岩溶陷落柱形成发展过程复杂,塌陷物质破碎混杂,一般很难判断其塌距。在两淮地区形成的大型陷落柱,柱体整体塌陷,其塌距容易度量。
3)岩溶陷落柱构造特征。岩溶陷落柱附近围岩中常伴生或派生一系列构造现象,如环形小断层群、交叉断层、褶曲轴部、节理、挠曲等,这些构造非常局限,常与区域构造不协调,利用这些构造现象可以进行岩溶陷落柱的预测。此外,岩溶陷落柱形成后,常受到后期构造运动的改造,从而使岩溶陷落柱的各种构造属性复杂化。
4)柱体水文地质特征。华北煤田岩溶陷落柱绝大多数柱体内充填物压实胶结紧密,不含水也不导水,少量柱体边缘充水,但水量较小,还有个别顶部悬空储水,但总水量有限,极个别压实胶结程度差或者构造运动活化,可导通相连含水层,如果导通底部奥灰承压水,一旦揭露,水量极其丰富。
岩溶陷落柱在我国华北地区石炭-二叠纪煤田中均有分布,如山西的太原西山、阳泉、汾西、霍县等煤田,河北的井陉、峰峰、开滦等煤田,山东的新汶、肥城、兖州、滕州等煤田,河南的鹤壁、安阳、焦作煤田,鄂尔多斯盆地四周边缘,江苏安徽两省的大屯、徐州煤田以及两淮煤田等等。目前揭露的岩溶陷落柱总数已超过10 000个[30],其中90%左右集中分布在山西汾河沿岸和太行山东麓的一些煤田内,其余煤田有的只有少数零星分布,还有少量井田至今尚未发现岩溶陷落柱。
据不完全统计,华北石炭-二叠纪煤田已发现的岩溶陷落柱中,山西约占85%,河北占12%,其余各省只占3%,已发现岩溶陷落柱的矿区,发育数量和分布密度差异十分悬殊(表2、表3)。
表2 华北部分煤田岩溶陷落柱发育数量和分布密度统计
Table 2 Statistics of development quantity and distribution density of Karst collapse columns insome coalfields in North China

矿区或井田调查面积/km2岩溶陷落柱数量/个平均密度/(个·km-2)西山矿区70.00130021.90西山杜儿坪矿0.742939.0汾西霍州矿区76570~100鲁西矿区98.00310.32井陉矿区29.001204.10峰峰矿区15.00371.20~1.50汾西矿区—106047.50汾西富家滩—65.50汾西水峪—2.70霍州矿区99.004504.50霍州圣佛等6个矿井13.6640529.67霍州曹村矿4.028111~40/20霍州团柏矿4.529923.00阳泉矿区99.005005.00
表3 山西省矿区陷落柱分布
Table 3 Distribution of Karst collapse column inmining area of Shanxi Province

地点已揭露陷落柱数量/个分布密度/(个·km-2)统计年份西山矿区2793—2001汾西矿区1063—1992大同矿区43—1993潞安矿区400—2012沁水煤田阳泉6个矿74241~222010太原西山煤田5个矿1449117~8.2—霍西煤田汾西3个矿86453~48—霍西煤田霍州5个矿38090~26—霍州团柏矿99—1993霍州曹村矿81—1991晋城凤凰山矿10—1991西峪煤矿183—1995轩岗六亩地矿12—1993大同煤田四台井田330.242003宁武煤田安太堡矿3——
2.2.1 区域构造控制岩溶陷落柱区域分布规律
华北石炭二叠纪煤田岩溶陷落柱的形成、发展和区域构造演化的关系十分密切,其分布明显受到区域构造控制,具有区域分布规律性。岩溶陷落柱绝大多数分布在NNE向的新华夏系隆起带及其边缘。华北地区新华夏系隆起带和坳陷带相间分布的构造格局,造成了寒武奥陶系的裸露型岩溶、覆盖型岩溶和埋藏型岩溶交替分布的特点,对华北石炭二叠系煤田岩溶陷落柱的形成和区域分布有着重要的影响。目前所知,绝大多数岩溶陷落柱都分布在新华夏纪第三隆起带和第二隆起带的内部及其边缘。在第三隆起带太行山到吕梁山的中部,汾河沿岸的山西太原西山、汾西和霍县等煤田内,岩溶陷落柱最为发育,数量多密度大,位居华北石炭二叠系煤田岩溶陷落柱数量之首。位于太行山西坡中部的山西阳泉煤田,以及太行山东麓中部的河北峰峰和井陉煤田,岩溶陷落柱也相当发育。太行山东南麓的河南鹤壁、安阳和焦作等煤田,亦有岩溶陷落柱的分布。在新华夏系第二隆起带西边缘的鲁西有关煤田和江苏徐州矿区,近几年不断发现岩溶陷落柱,岩溶陷落柱的数量在逐年增加。2个隆起带内的岩溶陷落柱,几乎占华北石炭二叠纪煤田已发现岩溶陷落柱总数的90%以上。少数岩溶陷落柱分布在阴山纬向构造带东段的燕山南缘。河北开滦矿区范各庄矿、唐家庄矿和林西矿的岩溶陷落柱,都分布在燕山南缘的次级向斜内。虽然岩溶陷落柱数量不多,密度小,但岩溶陷落柱导水性良好。
岩溶陷落柱多发育在伸展构造盆地内。华北地区中新生代的伸展构造比较发育,常形成一系列含煤的地堑式盆地和箕状断陷盆地。在这些盆地边缘,常分布有大面积裸露型和覆盖性的寒武奥陶系碳酸盐岩,含煤盆地内的奥陶系,地下水补给源比较充足,滑动构造普遍发育,埋藏性岩溶发育比较好,加上有利的地质构造和岩溶地下水径流条件,十分有利于岩溶陷落柱的形成。从宏观地质尺度看,区域断裂构造带,特别是张性断裂构造是坚硬岩石中的水流通道,控制地下水系统的径流与排泄带,属于陷落柱发育的一级控制;次级向斜轴部或转折端附近,应力集中区,是陷落柱发育的二级控制;从地质小尺度看,围岩小断层或环形断层发育导致局部岩层破碎,是陷落柱形成的最直接控制因素,即三级控制。当这三级控制同时存在,陷落柱则容易发育。
总之,构造控制或者影响陷落柱发育有3个层次,构造运动和区域地质构造造就了华北煤盆地分布与石炭二叠系煤系地层的特殊结构,在大区域上控制了山西地台和华北平原陷落柱发育数量多、密度大,而鄂尔多斯煤盆地四周陷落柱偶有发育,华北煤盆地南北边缘陷落柱发育较少,且部分为寒武系灰岩为基底;局部煤盆地构造,控制岩溶发育程度,进而决定岩溶径流带的分布,直接影响陷落柱的发育分布;小构造则决定陷落柱形成的具体位置。
2.2.2 区域岩溶陷落柱分布规律
岩溶陷落柱扎根于奥陶系或寒武纪灰岩,形成于古(或现代)岩溶径流带上,因此,岩溶陷落柱分布与岩溶大泉息息相关,在平面上大区域分布带:
1)吕梁山东麓南北向煤田沿线。从北部大同煤田、宁武煤田到中部太原西山煤田至南部霍西煤田一带。以汾河沿岸较为发育,中部太原西山煤田中陷落柱最为发育,西山矿区已发现陷落柱超过3 000个,汾西矿区超过1 000个,南北部两端陷落柱发育较少,特别是北段大同煤田发育分布最少,与该煤田大部分中生代煤田覆盖有关,猜想南北部不发育与奥灰沉积环境有关,中部煤田基底奥灰沉积层段全、厚度大,中奥陶统灰岩三组八段齐全,厚度超过500 m,而往南北边缘,中奥陶灰岩逐渐变薄,甚至缺失,局部只有下奥陶统灰岩甚至寒武纪灰岩;中部中奥陶统灰岩中含有石膏层也是形成大量陷落柱的基础。
2)太行山西麓沁水煤田南北向沿线。集中分布在复向斜轴部沿线,从山西晋城、高平、长治、平顺、襄垣、武乡至昔阳、阳泉、盂县一带矿区均有岩溶陷落柱,其中以阳泉矿区陷落柱最为发育,共发现3 000多个,其次为潞安矿区,发现400多个,密集发育与该区域大型泉域有关,阳泉矿区处于娘子关泉域,而潞安矿区位于辛安泉域、晋城矿区位于三姑泉延河泉泉域。
3)太行山东麓和东南麓沿线。从河南焦作、鹤壁、安阳到河北磁县、峰峰、邯邢及井陉等矿区。以北部井陉矿区最为发育,邢台葛泉井田集中发育。总体呈北密南疏的趋势。
4)燕山南麓。位于燕山南缘的次级向斜内。主要分布在开平煤田,以开滦矿区的范各庄矿、唐家庄矿最为发育。
5)郯庐断裂带两侧。从安徽淮南、淮北、皖北、江苏大屯、徐州至鲁西的枣庄、新汶、肥城、兖州、藤州等矿区,陷落柱大致沿郯庐断裂带走向展布。
6)鄂尔多斯盆地四周边缘石炭二叠纪煤田环线。主要分布在河东煤田、准格尔煤田、渭北煤田(渭北的韩城、澄合、蒲白及铜川各矿区)、乌海石嘴山煤田。
2.2.3 煤田内岩溶陷落柱发育分布规律
吴基文等[50]从刘桥一矿岩溶陷落柱发育规律得出陷落柱的发育具有等距性,并认为陷落柱分布于向斜偏轴部,即在向斜的局部应力最大的位置;文朝生等[51]通过对凤凰山井田内陷落柱分布规律总结,认为陷落柱一般出现在背向斜的轴部或轴部附近;苏昶元等[52]认为,陷落柱发育与褶皱关系最大,其次与断裂构造也有一定关系;王乃堂等[53]从肥城煤田的陷落柱规律认为陷落柱发育在断裂构造密集交叉地带;尹尚先等[20]认为陷落柱多发育于井田浅部区域,陷落柱发育分布与构造密切相关,张性断层的旁侧及断层交汇处、小型向斜轴部和转折端附近、地下水强径流带和地下水排泄口附近是陷落柱发育的密集区,据此,张永双[34]提出了陷落柱的宏观预测体系;褚志忠等[33]提出可用陷落柱伴生断层预测陷落柱。李金凯等[14]分析总结了华北地区岩溶陷落柱形成与导水的水文地质环境,认为岩溶泉域排泄带和强径流带上陷落柱集中发育,且具有突水危险;乔宝印[54]研究了开滦范各庄矿陷落柱发育规律,认为陷落柱发育是径流强烈带存在的外在表现,井田中井口小向斜是陷落柱构造成因。
归纳多数学者所得出的主要结论,陷落柱分布具有一定规律:
1)岩溶陷落柱常成群出现,单个出现的情况很少,具有分区、分片、分带的分布特点。
2) 岩溶陷落柱常发育在以石炭二叠系和中奥陶统假整合面为主滑面的多级滑动构造发育的煤田或井田内,发育程度与滑动强度正相关。
3)岩溶陷落柱多分布在小型次级向斜的轴部和转折端附近(图1),在次级背斜的倾伏端附近也有发育,但数量密度均要小得多。
4)岩溶陷落柱常位于张性断裂的旁侧和两条断层交会处,并且岩溶陷落柱分布方向常与断裂展布方向相一致。
5)岩溶陷落柱发育分布在补给源充足、排泄条件好、循环交替快的富水强径流带上,其导水性也与岩溶地下水径流条件直接关联。大多数岩溶陷落柱位于某个地质历史阶段形成的古地下水强径流带上,但时过境迁,古奥灰径流条件有可能变差,加之压实固结,古岩溶陷落柱也随之演变为衰老的或死亡了的岩溶陷落柱;少数岩溶陷落柱分布在现代岩溶地下水强径流带上,往往是正在生长发育的或复活了的岩溶陷落柱,既导水又含水,一旦被采掘工程揭露易发生突水。
6)由于奥陶系岩溶在侵蚀基准面上、下百米范围内最为发育,因此岩溶陷落柱多数发育分布在煤盆地或井田浅部露头附近,随深度增加岩溶发育减弱,失去了陷落柱形成的基础。

图1 褶曲轴部裂隙陷落柱成因
Fig.1 Causes of Karst collaspe at fold center
综上所述,陷落柱的平面展布往往分片分区,成群发育,有密集区、稀疏区和空白区,并具有一定的方向性;陷落柱在空间上的分布与地表沟谷、褶曲、断层等构造发育有一定的关联关系;陷落柱集中发育于岩溶泉域排泄带和强径流带上;也有煤矿领域专家观察发现,陷落柱沿地表河流成条带展布,如汾河沿岸,从太原西山至汾阳、灵石、汾西、霍县,大区域上煤田岩溶陷落柱沿汾河集中发育;再如开平煤田东南翼五对矿井所揭露的陷落柱,其展布与地面沙河河谷走向表现出惊人的一致性;但仅为观测现象未能给出成因解释,文献[4]认为,二者的一致性可能存在内在联系,现代河流可能与岩溶基地古代的河流或者岩溶暗河具有传承性,而地质历史时期的岩溶暗河正是陷落柱发育的基础。
陷落柱的分布由其形成条件决定,因此,研究分布规律必然涉及成因机制。目前,在陷落柱发育的受控机制上,主要有两大观点,一种观点认为陷落柱发育主要受构造控制,那么其分布就有沿构造线展布或集中发育的规律;另一种观点则认为,陷落柱既然形成于奥灰地下径流带上,那么,其分布即沿岩溶强径流带展布或集中发育的规律。
上述2种观点均有失偏颇,事实上,岩溶径流带的空洞和地下水,是陷落柱形成的基础,没有灰岩中的空洞,上覆煤系地层就失去垮落的空间,自然无法形成陷落柱,因此,岩溶径流带是陷落柱形成的必要条件;而即使存在径流带,也并不是其上都发育陷落柱,而是在适当构造条件恰当配合时,在适当位置形成陷落柱,也就是说,没有构造配合也无法形成陷落柱,由此说明构造是陷落柱形成的充分条件,此外,区域构造还控制灰岩的展布以及岩溶径流带的分布,从这个意义上讲,构造控制陷落柱形成也不为过。所以,陷落柱是必要和充分条件密切配合的产物,二者有机统一,割裂二者关联,盲目夸大任何一方的观点都不科学。
一般可将陷落柱生长发育过程划分为4个阶段:发育前期、强烈发育期、衰退期和死亡期。同一煤田陷落柱多属于同一发育期,华北型煤田中所揭露的陷落柱大多为衰退期或死亡期的陷落柱,这也是绝大多数华北型岩溶陷落柱不导水的重要原因;但也有陷落柱,由于构造运动期次和传承,在同一煤田处于不同发育阶段,如肥城煤田东部陷落柱柱体密实,内有方解石结晶物充填,发育高度多在370 m左右,规模较大,形成年代在古生代末期至中生代,大部分为发育死亡期的陷落柱。燕山运动中后期,强烈的构造运动导致煤田中西部地下水径流条件随之改变,肥城煤田西南的国家庄井田成为地下水的汇集径流出口,岩溶陷落强烈活动区也由东部的杨庄井田转移到西部的国家庄井田附近,形成的陷落柱发育高度小于50 m,隐伏于四灰以下,为中生代末或新生代开始形成并处于发育初期或强烈发育期的陷落柱,此类型陷落柱往往与地下水强径流带相通,导水性强,是威胁煤矿安全生产的重大隐患。
2.3.1 陷落柱单项指标分类
1)根据陷落柱塌陷程度不同,可分为通天柱、半截柱及下伏柱3种。
2)根据几何形态划分:①按空间整体形态将陷落柱分为圆锥体陷落柱、漏斗体陷落柱、筒体陷落柱、斜塔体陷落柱和不规则陷落柱五类;②根据平面形状可划分为圆形陷落柱、似圆形陷落柱、椭圆形陷落柱、长条形陷落柱和不规则形陷落柱;③根据剖面形状可将陷落柱分为圆锥状陷落柱、漏斗状陷落柱、反漏斗状陷落柱、筒状陷落柱、斜塔状陷落柱和不规则陷落柱六类;④根据中心轴的形态可将陷落柱分为直立型、歪斜型、弯曲型、铅垂型、扭转型。
3)根据陷落柱的规模大小和对采掘生产的影响程度,大致可划分为大型、中型(包括中1型和中2型)、小型陷落柱3个类型。
4)按内部结构可将陷落柱分为整体陷落柱、半整体陷落柱和杂乱陷落柱3类。
5)按水文地质特征可将陷落柱分为充水陷落柱(弱导水型、中等导水型和强导水型)和不充水陷落柱(干陷落柱)2种。
6)按柱顶有无空穴可以分为顶空型和顶实型。
7)按岩溶陷落柱形成时代,岩溶陷落柱可分为现代岩溶陷落柱和古老岩溶陷落柱,华北型煤田所发现的岩溶陷落柱多数为古岩溶陷落柱。
8)按岩溶陷落柱赋存状态,可分为裸露型、覆盖型和埋藏型岩溶陷落柱,华北型煤田中绝大多数陷落柱属于埋藏型。
9)据陷落柱在可溶岩系中发育的基底层位,分为奥陶纪陷落柱和寒武纪陷落柱。
2.3.2 陷落柱综合指标分类
按单项指标划分类型多,且反映的属性片面,而简单地将各种类型罗列成所谓的“复合型”,应用起来又相当繁琐,并且不能反映陷落柱的本质特征。因此,从生产实践出发,综合分析陷落柱的发育特征及影响生产的主要因素,遴选优势指标,制定陷落柱综合分类方案。
1)按照内部结构分类及其特征[30](表4)。
表4 岩溶陷落柱按照内部结构分类
Table 4 Internal structure classification of Karst collapse column

岩溶陷落柱类型结构组成胶结程度突水危险性关键隔水段举例堆石型堆石段未胶结极大 柱壁与工作面之间的防水煤岩柱东庞矿X7陷落柱堆石裂隙型堆石段+柱壁裂隙段未胶结极大 裂隙带与工作面之间的防水煤岩柱任楼矿A3陷落柱堆石泥石浆型堆石段+泥石浆段胶结或半胶结较小 工作面与堆石段之间的泥石浆段刘桥一矿A2陷落柱堆石泥石浆裂隙型堆石段+泥石浆段+裂隙段胶结或半胶结较大 裂隙带与工作面之间的防水煤岩柱西铭矿X4陷落柱堆石碎屑型堆石段+岩块碎屑段未胶结或局部胶结中等 工作面与堆石段间的岩块范各庄矿7号陷落柱泥石浆型泥石浆段胶结小 泥石浆通二矿8号陷落柱综合型堆石段+泥石浆段+岩块碎屑段+裂隙段胶结小 泥石浆杨庄矿3号陷落柱柱壁小断层型柱壁存在裂隙扩展形成的小断层不定较大 断层与工作面之间防水煤岩柱或泥石浆刘桥一矿A6陷落柱
2)陷落柱导水性影响其突水。以导水性为主要划分指标,首先分为导水性好(Ⅰ)和导水性差(Ⅱ);以涌水量和压实胶结程度为次级指标,将导水性好(Ⅰ)再分为一般导水性(Ⅰ1)和强导水性(Ⅰ2);以陷落柱高度和横断面积为次级指标,将导水性差(Ⅱ)分为大型(Ⅱ1)、中型(Ⅱ2)(细分为中1和中2)以及小型(Ⅱ3),陷落柱综合分类结果[28,55]见表5。

3)从各类岩溶陷落柱岩溶发育程度及陷落柱发育的规模、地下水的径流条件、陷落柱的伴生构造发育程度、陷落柱柱体内充填物及其充填特征、裂隙充填及其胶结程度等方面论述各类陷落柱的水文地质特征。岩溶陷落柱分类及其特征划分结果[33,55]见表6。
表6 岩溶陷落柱的分类及其特征一览
Table 6 Classification of Karst collapse columns and their characteristics

发育层位分类主要指标体系发育过程分类发育前期陷落柱强烈期陷落柱衰退期陷落柱死亡期陷落柱奥灰之上灰岩(太灰等) 岩溶程度及规模 岩溶作用较强,陷落柱规模小 岩溶作用强,陷落柱规模较小 岩溶作用弱,陷落柱规模中等 无岩溶作用,陷落柱规模较大 地下水径流条件 补、径、排条件较好,位于强径流带或排泄区内。径流带富水性较好,循环交替较快,径流强度较大 补、径、排条件良好,位于强径流带或排泄区内。径流带富水性好,循环交替快,径流强度大 补、径、排条件较差,偏离强径流带或排泄区内。径流带富水性较差,循环交替差,径流强度较弱 补、径、排条件差,位于径流带或排泄区外 伴生构造 不发育 较发育 较发育 较发育 充填物特征 主要为本岩层组内的破碎岩块堆积及部分泥砂质沉积,裂隙未充填或部分充填,岩体杂乱无章 主要为煤系地层破碎岩块,泥砂质沉积,裂隙未充填或部分被泥砂质充填,岩体极为杂乱 主要为煤系地层破碎岩块,泥砂质沉积,裂隙主要被泥砂质充填及部分方解石充填,岩体极为杂乱 主要为煤系地层破碎岩块,泥砂质沉积,裂隙主要被泥砂质充填及部分方解石充填,岩体极为杂乱 胶结程度 未胶结 未胶结或局部胶结 胶结或半胶结 胶结奥陶纪灰岩 岩溶程度及规模 岩溶作用较强,陷落柱规模较小 岩溶作用强,陷落柱规模中等 岩溶作用弱,陷落柱规模较大 无岩溶作用,陷落柱规模大 地下水径流条件 补、径、排条件较好,位于强径流带或排泄区内。径流带富水性较好,循环交替较快,径流强度较大 补、径、排条件良好,位于强径流带或排泄区内。径流带富水性好,循环交替快,径流强度大 补、径、排条件较差,偏离强径流带或排泄区内。径流带富水性较差,循环交替差,径流强度较弱 补、径、排条件差,位于径流带或排泄区外 伴生构造 不发育 较发育 较发育 发育 充填物特征 主要为灰岩层组内的破碎岩块堆积及部分泥砂质沉积及充填裂隙,柱内岩体较为杂乱 主要为煤系地层破碎岩块,泥砂质沉积,裂隙未充填或部分被泥砂质充填,柱内岩体杂乱 主要为煤系地层破碎岩块,泥砂质沉积,裂隙主要被泥砂质充填及部分方解石充填,岩体极为杂乱 主要为煤系地层破碎岩块,泥砂质沉积,裂隙主要被泥砂质充填及部分方解石充填,岩体极为杂乱 胶结程度 未胶结 未胶结或局部胶结 胶结或半胶结 胶结
续表

发育层位分类主要指标体系发育过程分类发育前期陷落柱强烈期陷落柱衰退期陷落柱死亡期陷落柱寒武纪灰岩距煤系地层近或煤系地层直接覆盖距煤系地层较远 岩溶发育及规模 岩溶作用较强,陷落柱规模较小 岩溶作用强,陷落柱规模中等 岩溶作用弱,陷落柱规模较大 无岩溶作用,陷落柱规模大 地下水径流条件 补、径、排条件较好,位于强径流带或排泄区内。径流带富水性较好,循环交替较快,径流强度较大 补、径、排条件良好,位于强径流带或排泄区内。径流带富水性好,循环交替快,径流强度大 补、径、排条件较差,偏离强径流带或排泄区内。径流带富水性较差,循环交替差,径流强度较弱 补、径、排条件差,位于径流带或排泄区外 伴生构造 不发育 较发育 较发育 发育 充填物特征 主要为灰岩层组内的破碎岩块堆积及部分泥砂质沉积及充填裂隙,柱内岩体较为杂乱 主要为煤系地层破碎岩块,泥砂质沉积,裂隙未充填或部分被泥砂质充填,柱内岩体杂乱 主要为煤系地层破碎岩块,泥砂质沉积,裂隙主要被泥砂质充填及部分方解石充填,岩体极为杂乱 主要为煤系地层破碎岩块,泥砂质沉积,裂隙主要被泥砂质充填及部分方解石充填,岩体极为杂乱 胶结程度 未胶结 未胶结或局部胶结 胶结或半胶结 胶结 岩溶发育及规模 岩溶作用较强或强,陷落柱规模较小到中等 岩溶作用强,陷落柱规模较大 岩溶作用弱,陷落柱规模大 无岩溶作用,陷落柱规模极大 地下水径流条件 补、径、排条件较好,位于强径流带或排泄区内。径流带富水性较好,循环交替较快,径流强度较大 补、径、排条件良好,位于强径流带或排泄区内。径流带富水性好,循环交替快,径流强度大 补、径、排条件较差,偏离强径流带或排泄区内。径流带富水性较差,循环交替差,径流强度较弱 补、径、排条件差,位于径流带或排泄区外 伴生构造 不发育到较发育 发育 发育 发育 充填物特征 主要为上覆岩体垮塌,少量泥砂质沉积,由于塌陷次数相对较少,柱内岩体块度较大,部分较小裂隙被方解石充填 自下而上主要为寒灰、奥灰、太灰及部分煤系地层。主要为方解石充填裂隙,且自下而上方解石充填裂隙有减弱的趋向,下部层位有部分泥砂质沉积。由于自下而上岩体的塌陷次数依次减少,所以柱内岩体由下部的杂乱过渡到上部的层序较完整 自下而上主要为寒灰、奥灰、太灰及煤系地层。主要为方解石充填裂隙,且自下而上方解石充填裂隙有减弱的趋向,上部层位局部裂隙未完全充填,下部层位有部分泥砂质沉积。柱内岩体由下部的极杂乱过渡到上部的层序较完整 自下而上主要为寒灰、奥灰、太灰及煤系地层。主要为方解石充填裂隙,煤系地层内有部分裂隙未完全充填,下部层位有部分泥砂质沉积。柱内岩体由下部的极杂乱过渡到上部的层序较完整 胶结程度 未胶结 未胶结或局部胶结 胶结或半胶结 胶结
针对我国华北陷落柱的特殊地质环境及岩体结构,地质界、采矿界的学者从地质条件、影响因素及分布规律、特征及受控机制等方面作了多种研究。目前对煤系地层中陷落柱形成必须具备的2个基本条件意见趋同,即其下伏地层中有可溶性岩石(如石灰岩、白云岩、石膏等)存在并有流动地下水的作用。但在陷落柱的成因机理上意见不一,概括起来大致有4种基本观点:膏溶塌陷说、重力塌陷说、热液成因说等和真空吸蚀塌陷说。
1)重力塌陷学说认为陷落柱是在溶洞形成的基础上由重力塌陷作用形成。其基本认识,一是认为陷落柱形成具有阶段性,二是认为陷落柱塌陷的动力源为重力。阶段性表现为三阶段,初始岩溶洞穴形成为第1阶段,可溶岩石受化学溶蚀和地下水冲刷搬运,裂隙不断扩大形成初始溶洞;多层溶洞形成为第2阶段,初始溶洞不断扩大形成第2层溶洞,甚至第3、4层溶洞;上覆非可溶性岩层的塌陷为第三阶段,溶洞上方覆盖层塌陷形成陷落柱。重力塌陷表现在不论是溶洞形成还是陷落柱塌陷,其动力源均来自地球重力。该学说以王锐[7]为代表提出,后来很多学者支持这一观点,并进行了修正完善。杨为民、周治安等[56]认为岩溶陷落柱多形成在现代伸展构造或重应力为主的地区,他们分析了陷落柱顶板上部受力分析,认为节理对陷落柱形成有重大作用,提出了先存切割面、滑落面、层间剥离面的概念及其在陷落柱形成过程中的作用,认为以上三方面的存在易使溶洞顶板形成楔形结构或块体而导致冒落成陷落柱,提出了平缓岩体由贯穿性节理围成的致塌破坏结构和向斜轴部的致塌破坏结构2种破坏结构。胡宝林等[57]用薄板理论分析了溶洞顶板的受力情况及破坏机理,将岩溶溶洞的顶板简化为1个矩形薄板,其上覆岩土重量为载荷,由此得出了溶洞顶板破坏的极限载荷。学者们都认为,陷落柱形成过程与采空区覆岩冒落过程相似,奥灰岩溶的持续作用是陷落柱不断向上发展的根本原因。1987年,钱家营井田在巷道掘进中发生了一次“泥石流”事件,巷道冒顶达100 m,王革纯等[58]认为,这是1个现代陷落柱的形成,这一说法也有力地支持了重力塌陷学说。
2)膏溶塌陷学说认为陷落柱是石膏岩溶产物。在中奥陶统马家沟组灰岩中赋存有很厚的硬石膏,峰峰组灰岩中也夹有石膏层。由于地壳不断上升,在地下水的作用下,硬石膏水化变成石膏。体积膨胀64%,膨胀后的石膏沿着破碎带的交线挤入上覆的岩层。然后,这种柱状的石膏体不断地被地下水溶蚀,周围的岩石塌落形成陷落柱。持这一观点以钱学溥[59]为代表,褚志忠也支持这一观点。华北煤田部分地区,中奥陶统马家沟组灰岩中含有厚层硬石膏。硬石膏遇水水化变成石膏,同时体积膨胀导致周围岩层破碎,如果地下水进一步作用,石膏体被地下水不断溶蚀带走形成空腔,周围的岩石塌落形成了陷落柱。
3)真空吸蚀塌陷学说认为,在相对密封的承压岩溶网络地下水中,由于地下水的排泄或地壳局部的升降,岩溶腔内地下水可能会大幅度下降,岩溶腔内水体由承压转为无压时,在岩溶腔内水面与岩溶盖层之间出现空穴,即岩溶空腔。逐渐增大的岩溶空腔必定转化为低气压状态,形成真空腔,在真空腔内不断下降的水面犹如巨型吸盘,使上层岩体向下塌落,形成陷落柱。持这一观点以徐卫国[60]为代表,侯恩科等[61]也支持这一观点。但苏昶元、等[62]却认为并不存在所谓的“真空腔”,真空吸蚀理论存在缺陷。
4)热液成因说。中国地质科学院的陈尚平等[63]根据峰峰地区岩溶陷落柱的地质特征,反驳了石膏溶蚀说,认为,燕山期火成岩体和热液的侵入,造成残热水和地下水复杂的循环和溶蚀作用。高温高压的热水可极大地提高碳酸钙的溶解度。热水岩溶的起始点是从矽卡岩成矿热液生成铁矿后残热水进入碳酸盐开始的,这样就可以生成高度极大的岩溶洞穴,而且不受地壳升降与侵蚀基准面变化的影响。当地层褶皱隆起时,洞穴塌陷形成陷落柱。赵志怀[64]认为除了热液作用以外,煤层气含量对陷落柱形成有重要的影响。
关于陷落柱的成因,围绕溶洞成因和塌陷成因形成两派观点。岩溶成因主要有“膏溶”说和“下蚀”说。其中“膏溶”观点认为,奥陶系灰岩厚层石膏层溶解后造成上覆岩层整体垮塌,局部形成岩溶陷落柱。这一观点只强调了陷落柱形成的必要条件,即上覆岩层具有垮塌陷落的空间,但并不是所有膏溶空间都形成了陷落柱,所以,本观点忽视了其形成的充分条件,即构造破坏或外部动力;“下蚀”观点认为,岩溶最容易在地下水位波动带发育,随地壳垂向上升,地下水位不断下降,岩溶溶洞垂向联通发育,形成陷落柱。这一观点很难解释大量深部发育的陷落柱。塌陷成因主要有“真空吸蚀”、“重力垮落”、“水岩共振”、“内循环”和“A型或V型裂隙”;前三种观点主要关注陷落柱塌陷动力,后一种观点则关注构造破坏的岩层结构,上述观点的共性缺陷就是,每一种观点均有适用条件,针对性很强,不能给出陷落柱形成的统一机制解释。真空吸蚀应有形成真空负压的条件,重力垮落适用所有陷落柱的形成,在所有陷落柱形成过程中均有重力作为动力,但不是有重力就能形成陷落柱,水岩共振认为,岩溶地下水位波动与上覆岩层发生共振,引起岩溶塌陷的连锁反应,形成陷落柱群。然而孤立或者深部陷落柱又如何解释呢?内循环观点突出岩浆活动的热作用,但在非岩浆活动区域同样存在陷落柱;A型或V型裂隙成因观点认为,在向斜轴部及转折端,岩层因弯曲而形成垂直于层面的“A”裂隙易于垮落,沿轴线形成了陷落柱发育条带。然而也有陷落柱发育于背斜或其他构造带,所以也存在片面性。
2.4.1 陷落柱形成基本条件及控制因素
岩溶陷落柱是奥灰岩溶空洞上覆岩层塌陷的产物,无论成因如何,形成陷落柱的基本条件应当包含:一是必须具备柱体塌落的空间,煤系地层下伏有可溶性岩层(如石灰岩、白云岩、石膏等),而且在地质历史时期已经形成足够的空间;二是具有活跃的水动力条件和良好的地下水通道,即强径流带奥灰水的携带及动力作用;三是多期次地应力不断作用伴生构造发育条件,特别是垂向深大裂隙发育。岩溶发育程度(岩溶径流带)是其形成的前提,地下水径流条件是其形成不可缺少的水动力因素,重力塌陷是其形成的主要动力条件,地质构造对其形成起主导性的控制作用。这几大因素缺一不可。
2.4.2 岩溶陷落柱成因
由于地层条件和地质构造千差万别,每一种成因学说都有针对性,因此综合研究陷落柱形成的基本条件和基本过程,有利于各种观点的融合以及不同现象的解释。
卢耀如等[65]认为,在硫酸盐岩和碳酸盐岩复合岩溶地区,产生一种特殊岩溶灾害现象—岩溶陷落柱,是在碳酸盐岩和硫酸盐岩中产生多期塌陷结果所造成。这种陷落柱在山西高原、太行山、吕梁山以及江苏、青海、陕西等地。此观点相当于膏溶塌陷说和循环塌陷说融合。笔者认为,岩溶陷落柱形成必须具备3个条件,必要条件为其下伏可溶性岩石(如石灰岩、白云岩、石膏等)具备上覆岩层垮落空间,即溶洞;充分条件为溶洞上方煤系地层遭受构造破坏;充分必要条件具备,不一定形成陷落柱,还应该具备形成陷落柱塌陷的触发条件,即塌陷动力。据此,笔者提出了综合成因理论,即岩溶陷落柱的形成过程是多种因素影响下的复杂动力地质过程,它的形成和发展受多种条件制约,并且经历了比较复杂的演化过程。在地下水强径流带上,岩溶溶洞因地下水活动不断发展扩大;煤系地层覆盖使溶洞相对密闭,地下水面的升降,使岩溶溶洞空腔内有水面以上空间产生真空负压;上覆岩层的关键层因受岩体自重重力、地应力集中以及溶洞内的真空负压三重作用而破坏塌落,一旦关键层失稳,破碎的岩体沿垂向裂隙面向上塌落,部分陷落物被水带走,坍塌继续向上发展,如此,水的软化,重力作用和真空吸蚀作用的结合,每次循环则水流将上一次还未胶结压实的冒落物带走,如此反复,多次循环,经过迅速垮落、堆积、溶蚀、搬运、再塌陷等周而复始过程,分阶段逐步冒落而形成,陷落柱形成机理模式如图2所示。

图2 陷落柱形成机理综合成因模式
Fig.2 Comprehensive genetic model of formation mechanism of collapse column
2.4.3 岩溶陷落柱形成时间
有关陷落柱形成时间的研究尚不够深入,主流观点认为,华北煤矿区陷落柱中的塌陷物一般为石炭-二叠系地层,有的塌陷至山西组底部,个别进入石盒子、石千峰地层,甚至塌至新近系砾岩层,由此可以判断陷落柱发育时期始于二叠纪末,结束于新近纪。也有部分学者[66-67]认为,陷落柱为中生代后期华北地台形成以后开始发育,多数在燕山期由于失去相应的水动力条件而结束发育,少数陷落柱在燕山期后继续发展。近年来,郭红玉等[68]用铀系定年方法实际测定,确定太原西山岩溶陷落柱发育时间为30~40万年以前;而刘登宪等[69]结合淮南构造史,认为该区域陷落柱的形成是在燕山期末期喜马拉雅早期(80 Ma)。
经调查统计,在已探明的陷落柱中,导水者占总数的不到5%,而真正形成突水灾害的,只占0.5%不到。陷落柱导水者才可能突水,如果能够辨识导水者,那么对陷落柱探查治理的工作量至少减少95%。而目前状况是,大多数煤矿企业针对陷落柱的设防,重视程度不够,探查治理不到位,也有少数企业采用的是“宁可错杀一千不能漏网一个”的极端重视方法,显然2种倾向均不可取。所以,从现实需求来看,陷落柱导水性辨识至少可以大大减少工程和探查治理时间,其研究具有重要的现实意义。
陷落柱为地质历史时期地质现象,存在古岩溶陷落柱与现代岩溶陷落柱之分,古岩溶陷落柱在形成时期,基底岩溶发育,应有强径流带伴随,但时过境迁,随着岩溶径流带的变迁,发育在古岩溶径流带上的陷落柱,即使具有导水性,也由于径流带的变迁偏移而无水可导。此类陷落柱不必望而生畏。而现代岩溶陷落柱,特别是正在发育的或者复活的陷落柱,由于处于岩溶径流带上,丰富的岩溶水可以源源不断导入采掘空间,有水可导,是真正威胁矿井安全生产的杀手。应首先判断陷落柱是否坐落在现代岩溶径流带上,其次再预测空间位置、导水性等。
有关岩溶陷落柱的导(含)水性,与其形成过程有关,取决于柱体内物质组成、压实、胶结情况,其研究成果多为定性规律。一般认为形成比较早的陷落柱,压实胶结比较好,导(含)水性弱;而形成较晚或正在形成中的陷落柱,压实胶结程度差,导水性较强;高变质煤层矿区的陷落柱不导水,因为变质时间为中生代,陷落柱已经压实,失去导水作用,例如淮北、峰峰、阳泉、晋城等地;地温热异常的矿区,陷落柱导水,因为该地区的陷落柱正在形成阶段,尚未被压实,例如峰峰梧桐庄、徐州三河尖、邢台的邢东矿等;终止于基岩顶界面的“通天柱”不导水,因为此类陷落柱发育于第四系以前,压实失去导水作用;垮落到第四系内部的“穿云柱”导水,此类陷落柱上部在仍处于发育中,为导水;“半截柱”(没有穿透基岩)可能导水,因为此类陷落柱可能在发育中,顶部距离灰岩顶界面越近导水性越强;直立柱陷落柱(低于煤系底层顶界面)导水,此类陷落柱形成于构造运动以后,陷落柱未被压实,具有导水作用;斜歪柱不导水,此类陷落柱形成于构造运动以前,陷落柱被压实,失去导水作用;井田边界断层隔水时,陷落柱不导水。在没有地热时,隔水边界断层切断了陷落柱形成的水循环条件,陷落柱停止发育,且此类陷落柱形成于断层以前,古老的陷落柱因压实而失去导水作用。上述研究成果较零散,且定性非定量。
将陷落柱柱体仅视为破碎岩层的简单再堆积,而忽略了破碎岩体之间的胶结作用,是一种错误观点。事实上,经笔者调查统计,在华北煤田已探明的陷落柱中,绝大部分陷落柱柱体已压实胶结成岩。山西各大煤田岩溶陷落柱极其发育,但仅在西山煤田、霍州煤田、轩岗以及沁水煤田个别地段发现极少数导水陷落柱,如阳泉矿区揭露超过3 000个陷落柱,无一导水;开滦矿区,范各庄矿揭露14个陷落柱的其中3个导水(1个致灾),唐家庄、钱家营、东欢坨等其他井田的陷落柱均不导水;邢台矿区,只有东庞发现1个陷落柱且导水并致灾,葛泉井田已经发现的89个陷落柱,未见导水者,其他井田陷落柱都不导水;峰峰矿区只有梧桐庄矿的2个、九龙矿的1个、黄沙矿的1个陷落柱导水并导致水灾,其他井田,特别是鼓山两侧陷落柱,即使在6~10 MPa水压作用下,亦从未发现潮湿和滴水现象;井陉矿区不导水型陷落柱占该矿区112个陷落柱的74.6%;鲁西煤田目前揭露的陷落柱,均属不导水或弱导水型;新汶煤田协庄矿的7个陷落柱都未见滴、淋水,其余的仅有少量淋水;滕县煤田柴里矿揭露的4个陷落柱,仅见柱体边缘有少量滴、淋水;肥城煤田平阴矿揭露的1个陷落柱,巷道穿过时基本上是干燥无水;肥城国家庄煤矿的突水淹井事故,是否为陷落柱导致,尚无定论;兖州古城煤矿揭露的陷落柱未见滴、淋水;杨庄矿的1、3号陷落柱,都是干燥无水。两淮煤田,仅有皖北任楼、淮北桃园、淮南潘二、徐州张集等井田发生陷落柱突水事故,导水者较少,不导水占绝大多数。
2.5.1 岩溶陷落柱导水性影响因素及条件
笔者初步研究结果,岩溶陷落柱导水的充分必要条件,即柱体胶结程度控制陷落柱柱体是否具备导水能力,为必要条件,而陷落柱有无水可导,即陷落柱根基是否发育在岩溶水强径流带上,是陷落柱导水的充分条件如图3所示。

图3 陷落柱导水性充分必要条件
Fig.3 Sufficient and necessary conditions for water conductivity of collapse column
依据陷落柱导水的充要条件,笔者初步梳理了影响陷落柱导水性的主要因素,区域地质构造变迁演化史、古地应力场控制升降运动、岩溶径流带发育、柱体物质压密胶结程度、柱体岩矿成分组成等。
1)笔者认为,地壳升降运动是陷落柱形成的主要动力来源,因此它必然控制区域性陷落柱含水、富水、导水规律。从理论推理,地壳沉降区和地壳上升区煤田岩溶陷落柱的导水性差异应该很大,太行山东西两侧升降差异明显,西侧上升导水者少。
2)岩溶水径流带形成奥灰基底塌陷空间,是陷落柱形成的必要条件,有径流带造成的岩溶空洞空间,不一定能形成陷落柱,但没有径流带,就没有上覆岩层塌落空间,自然就不可能有陷落柱形成。因此,陷落柱的根基仍保留在有水的径流带上,才有水源可导,否则,即使陷落柱柱体松散,也无水可导,陷落柱无水可导的情况有3种:一是构造运动(主要指平面)使原来径流带上形成的陷落柱与基底径流带平面上错动后二者分离,邢台葛泉井田属于此类;二是古岩溶径流带或者现代径流带由于变迁演化等原因已经干枯,开滦钱家营井田属于此类;三是陷落柱的根基在垂向上与径流带分离,太原西山马兰井田属于此类。由此看来,构造运动与岩溶径流带演化是陷落柱导水性的重要控制因素。
3)陷落柱规模、压密、胶结程度是其导水性的根本决定因素。依据柱体岩心矿物成分鉴定分析、薄片电镜观测分析、扫描衍射分析,研究碎块填隙物成分、特征、性质,分析还原陷落柱形成环境,推测陷落柱后期风化、压实、胶结等过程,提出以风化物为指标的导水性微观判识标准。
2.5.2 岩溶陷落柱导水性宏观定性辨识
陷落柱形成于石炭二叠系煤系地层之后。自晚古生代含煤地层形成至今,华北区域古构造应力场经历了3个主应力期。从海西期近南北向挤压,转化到印支-中燕山期的NW—SE向主压应力,最后到晚燕山-喜山期的NE—SW向主压应力。区域应力场控制区域构造运动,影响陷落柱的导水性。
1) 笔者初步研究表明,陷落柱含水、富水、导水与该区域地壳升降或差异运动有直接关系,如太行山东西两侧表现即为典范。太行山以东煤田陷落柱的富水性强,底板灰岩水沿陷落柱的导升高,突水量大;太行山以西煤田可溶性岩层不断抬高,岩溶地下水深埋,地下水交替处于停滞状态,使古老陷落柱逐渐固结而不富水不导水;又如,同一煤田不同井田或者同一井田,基底奥灰及煤层抬升到浅部,岩溶发育且富水性强,陷落柱即发育,导水性强的概率较大,反之,在深部,导水性弱。
2)构造运动导致的水平错动或者滑动,可以作为陷落柱不导水的判据。如,邢台葛泉井田,至今已揭露89个陷落柱,均不导水,笔者初步研究发现[49],由于右旋扭动,NE向褶皱下解向斜、曹章背斜及大油村向斜发生转动,特别是葛泉向斜由北东向转到北西向,原来径流带上形成的陷落柱,错动后使煤系地层与奥陶系基底二者分离,是井田陷落柱不导水的重要控制因素,该要素可以实现一票否决,可节省大量探查预防治理工程量。
3) 陷落柱基底径流带已无水源,也可以作为不导水的判据。葛泉井田处于百泉水文地质单元的径流带Ⅱ区[49]。由于处于上游西葛泉村附近岩浆岩体阻隔,原来穿过井田的北东向径流带分为两条,南侧是洺河-百泉径流带,北侧是沙河-百泉径流带,使井田成为径流区的孤岛。因此,井田内陷落柱已无源可导。
2.5.3 岩溶陷落柱导水性微观定量半定量辨识
采集不同区域不同导水性的陷落柱岩心,应用定性与定量统计相结合方法,通过对比矿物组成含量、物性特征、孔隙结构等参数的异同,分析还原陷落柱塌落后的成岩作用(压实、胶结、溶解作用等)及孔隙形成机理,定量估计孔隙度和渗透率等渗透性能参数,评价陷落柱导水性。
邢台葛泉井田已经发现的89个陷落柱,未见导水者,而开滦范各庄井田已揭露的14个陷落柱中,有3个导水,其中9号陷落柱突水导致范各庄及邻近4个矿井被淹,成为世界采矿史上突水量(2 053 m3/min)最大的煤矿水灾事故。通过开展2个矿的陷落柱岩心的微观观测对比。发现以下几点:
1)在邢台葛泉井田井下采集了大量陷落柱岩石标本。如X306柱体标本(图4),灰白色,稍有绿色色调,可见分散状,大约1 cm的炭质团块,易风化。

图4 标本及镜下图
Fig.4 Specimen and diagram under microscope
通过镜下观察(图4),标本岩性均一,颗粒以棱-次圆状,分选好。点-线接触。颗粒大部分有裂纹,主要为石英、长石和岩屑(主要是隐晶岩和高变岩),含量约20%、5%、54%。填隙物以水云母杂基为主,含量约16%。部分转变为绢云母,含量约2%。硅质加大发育,且普遍,含量约2%。个别部位明显沸石化,含量约1%。可见不透明矿物炭质、黄铁矿分散状分布。
2)在开滦范各庄井田井下也采集了大量陷落柱岩石标本。例如,3号样品(图5)为含砾凝灰质岩屑杂砂岩。岩石呈紫红色,含砾砂状结构、中细粒砂状结构,块状构造。岩石中有后期方解石脉,基底式胶结。碎屑颗粒呈次棱角-棱角状,其中砾石呈次圆状,分选差。砾石粒径最大达110 mm×150 mm,小者呈0.50 mm×0.70 mm;砂粒以0.50 mm和0.12 mm两粒级为主。细砂多充填于中砂中。碎屑含量占75%~80%,其中单晶石英20%~25%,多晶石英岩、燧石占10%;斜长石3%~5%;岩屑35%~40%,以凝灰质砂岩—粉砂岩为主,其次为铁质粉砂岩、凝灰岩,少量花岗岩;胶结物占25%~20%,以碳酸盐、火山质为主,次为水云母、褐铁矿等。

图5 范各庄矿3号样品及镜下图
Fig.5 No.3 Specimen and microscope image in Fangezhuang Mine
通过微观分析得:①井下实际揭露的大量陷落柱表明,几乎所有陷落柱其柱体都已经成岩,这就是为什么95%以上的陷落柱不导水,所以,研究极少数导水陷落柱,关注原生孔隙意义不大,次生孔隙(裂隙)才是导水性的关键环节;②按照目前看到的柱体岩心样品(图4、图5),致密,胶结成岩较好,单轴抗压强度超过30 MPa,仅仅依靠300~400 m高的柱体自身重力,完全不可能达到如此高的强度。因此,推断陷落柱成岩主要依靠胶结作用。而且硅质、钙质、黏土等胶结物对于柱体固结成岩过程溯源以及柱体孔隙形成同样是关键因素,是解开塌陷物成岩的钥匙,也是导水性判别的关键所在;③对比2个矿岩心发现,从岩石学角度看,长石含量都低于正常水平,水云母等黏土含量范各庄大于葛泉;长石含量低可能与早白垩世发生的热异常有机酸溶蚀事件有关,而水云母、蒙脱石等黏土类矿物的含量多少,可能是制约导水性的关键因素,而钾/氩测年确定黏土的形成时代及年龄,可能是追溯柱体胶结成岩过程的钥匙。
由于陷落柱偶发性分布特点,其预测定位非常困难,但学界还是开展了大量有益探索,取得了一定进展,基本理论不断完善。
2.6.1 岩溶陷落柱预测
1) 定性预测。 ①根据地表出露推测井下岩溶陷落柱形态。当岩溶陷落柱出露在坚硬层中时,平面形状应相似,且上小下大;若在松软岩层或松散层中时,上大下小。依据岩溶陷落柱中心轴垂直岩层层面一般规律,根据地层产状结合地表出露情况推断中心轴位置;②上部煤层或水平实际揭露推测下部位置。根据采掘揭露岩溶陷落柱柱面与平面弧线形态,尽可能掌握岩溶陷落柱长短轴比值、空间产出状态和中心轴变化规律,结合上下水平间距离和岩性特征进行推测。注意后期构造特别是层滑作用对柱体产状的改造和影响。
2) 半定量预测。针对陷落柱发育影响因子较多,随机性强,定量化困难,通过陷落柱形成条件、地应力条件、岩石力学背景、水动力条件、构造演化史等方面研究,经全面梳理陷落柱形成的主控因素,建立了华北石炭二叠纪煤田岩溶陷落柱综合预测指标体系,包括2个一级指标和10个二级指标。运用半定量模糊数学方法建立岩溶陷落柱的模糊评判预测体系(表7)[49],量化考虑了多种因素的综合影响,基于分形理论以及模糊层次分析方法建立了陷落柱预测模型,编写了国产陷落柱构造预测与评价自主知识产权软件。经华北型煤田多家煤矿岩溶陷落柱定量分析与预测,预测结果与之前的探查结果基本吻合。
结果表明,这种半定量的评价模式具有科学性,能较好地解决陷落柱预测具有复杂性、模糊性和不确定性。
表7 岩溶陷落柱的模糊评判预测体系
Table 7 Fuzzy evaluation and prediction system of Karst collapse column

指标体系发育区段发育较好区段不发育区段地质构造因素断裂分形维数k10.8<k10.5<k1≤10≤k1≤0.3褶曲分形维数k20.8<k20.5<k2≤10≤k2≤0.3构造类型 张性断裂发育、向斜构造并存、或者单方面特别发育 单类型构造比较发育,张性、压扭性断裂并存 构造少、且多为压扭性构造径流发育条件水流动力化学动力单孔岩溶点数k3/个2.8<k30.1<k3≤2.80≤k3≤0.1岩溶裂隙率k45.3<k40.1<k4≤5.30≤k4≤0.1 单位涌水量k5/(L·s-1·m-1)5<k50.24<k5≤50≤k5≤0.24水温高中低 溶解性总固体(TDS)k6/(mg·L-1)0≤k6<0.280.28<k6≤5.25.2<k6Ca/Mg比值高中低pH值≤77~8﹥8
3)定量预测。以岩溶径流带预测为基础,研发了基于GIS为平台、分形理论及模糊层次分析的岩溶陷落柱定量预测软件系统,系统具有强大的空间分析功能和查询功能,系统预测以陷落柱的形成条件、成因机理为依据,采取各个指标综合评分形式评判各指标,最后根据分值大小确定评价区域是否适合陷落柱发育,实现陷落柱发育空间区域预测。系统在开滦矿区、邯邢矿区、淮北矿区、皖北矿区等未采区域陷落柱发育程度的量化预测表明(图6)[49],预测结果与实际揭露吻合程度较高。
2.6.2 岩溶陷落柱探查
利用地质、构造、采矿、钻探、排水、地下水系统的补径排条件、常规水化学分析、井液和水温测定、水电阻率测定、水同位素测定等化探手段分析水动力场、水温水电阻率场和水化学场等多元信息,综合分析预测陷落柱的区域或位置靶区;利用三维地震资料精细解释初步确定异常区;利用电法、重力、电磁法、地震法、井间透视等物探手段,圈定构造异常,为钻探定位提供依据;有针对性的放水试验、连通试验进一步查明构造范围、导水性,最后,布置钻探工作量验证陷落柱的存在与导水性[49]。

图6 陷落柱预测信息系统预测结果
Fig.6 Collapse column prediction information system and prediction results

图7 陷落柱预测探查技术流程
Fig.7 Technical flowchart of collapse column prediction and exploration
采动影响条件下,陷落柱体内会经历原岩应力-应力集中-应力释放3个过程(图8)。由于陷落柱的面积有限,矿压和水压力联合作用下使其发生弯曲并形成拉张破坏的可能性较小,一般产生剪切破坏。虽然升、降错动产生的剪应力、上凸弯曲产生的拉应力和压应力的三重作用导致煤层底板岩层失稳破坏,但以剪应力作用为主。同时,陷落柱的存在改变了煤层底板的地质环境和岩体结构,底板有效隔水层厚度减小,岩体强度降低,应力-应变分布不均,局部应力集中系数增大,使关键层的最小主应力进一步降低。一旦承压水压力大于关键层的最小主应力,承压水的渗水软化和压裂扩容即起作用,使底板岩层破坏裂隙沿最薄弱方向进一步扩展,导致裂隙贯通,最终形成管涌,发生突水,特别是陷落柱的边壁、工作面底板压缩区与膨胀区的分界线重合在一条线上时,是底板岩层发生剪切破坏的最佳状态,最容易发生底鼓突水。

图8 采动条件下底板陷落柱突水机理
Fig.8 Water inrush mechanism from collapse column in floor under mining condition
陷落柱的形态大致分为横截面为圆形、椭圆形、矩形或不规则椭圆形的柱体或截锥体。按照陷落柱与采煤工作面与采煤工作面或者巷道的位置关系,当陷落柱不穿过采煤工作面或巷道时,其突水部位为陷落柱的顶部或底部,称为顶底部突水模式;当陷落柱穿过采煤工作面或巷道时,一般突水发生在陷落柱侧壁(煤柱、岩柱或岩体),称为侧壁突水模式。
通过大量华北型煤田陷落柱突水案例研究[28,49],按照与采面或者巷道的位置关系,将陷落柱突水模式分为顶底部突水模式和侧壁突水模式2种模式,以及薄板理论子模式、剪切破坏理论子模式、厚壁筒突水子模式和压裂突水子模式等4种子模式。在陷落柱突水模式的基础上,建立了不同模式下陷落柱突水力学判据,实现了陷落柱突水危险性评估预测。薄板理论子模式关于底板关键层破断时的极限弯矩其突水判据为
(1)
式中:Ms为底板关键层破断时极限弯矩,kN·m;σt为关键层的抗拉强度,MPa;h为关键层的厚度,m;z为关键层的倾向长度,m。
剪切破坏理论子模式力学判据为
(2)
式中:p1为临界水压,MPa;α为陷落柱半径,m;γg为隔水层岩体容重,kN/m3;γd为顶板岩体容重,kN/m3;ν为侧压系数;θ为内摩擦角,(°);H0为工作面顶板埋深,m;c为黏聚力,MPa;Q为矿山压力,MPa;W为端盖自重压力,MPa。
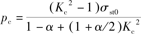
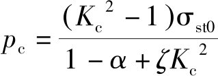
若煤柱厚度符合薄板理论的要求,厚壁筒突水子模式仍采用极限弯矩作为其突水判据;若煤柱厚度较大,力学判据为
或![]()
(3)
其中![]()
式中:pc为弹性极限荷载,kN/m2;Kc为厚壁圆筒外半径rb与内半径rp之比;σst0为岩石抗拉强度,MPa;a为岩石拉压强度比参数;b是反映中间主应力及相应作用平面的正应力对岩石屈服和破坏影响的参数,0≤b≤1 。
压裂突水子模式力学判据为
Pc=3σ3-σ1+T-P0
(4)
式中:Pc为临界破裂压力,MPa;σ3为最小主应力,MPa;σ1为最大水平主应力,MPa;T为岩石抗张强度,MPa;P0为岩石中孔隙压力,MPa。
1)突水系数方法。岩溶陷落柱突水一般为底板突水,按照相关规程规定[70],可采用带压开采突水危险性评价方法,即突水系数法。陷落柱不导水时,通过柱体强度折算,还勉强可行;但当陷落柱本身导水时,无疑具有突水危险性,突水系数即失效。
2)岩体结构模型定量评价方法[28]。建立符合岩溶陷落柱岩体结构力学模型。通过数值模拟方法,对陷落柱突水风险进行定量评价。该方法可动态模拟采动对陷落柱活化的影响,展示采动过程中突水风险,但显然,由于陷落柱的特殊性,其本构关系并不精确,模型的代表性和普适性就存在问题。
3)模糊定量评价方法。鉴于影响岩溶陷落柱突水的因素无法定量描述,且突水危险性也具有模糊属性,牛磊[30]提出了岩溶陷落柱突水危险性评价因素指标,选取了5个主要因素(陷落柱所在地段岩溶地下水径流条件,岩溶陷落柱内部结构和其导水性,关键隔水层(段),采掘工程扰动,岩溶陷落柱周边地质构造发育情况)及14项指标(渗透系数、水力坡度、单位涌水量和奥灰顶部水压;泥石浆占整个陷落柱柱体的比例、泥石浆压实程度、泥石浆胶结程度和陷落柱柱壁裂隙发育程度;隔水层总厚度、隔水层岩性组合的防突能力;工作面尺度和采掘工程与陷落柱的位置关系;陷落柱周边的构造发育密度和构造性质),确定其相应的隶属函数和对应指标的权重,并构建了相应的评价等级;利用多层次分析的数学模型和隶属函数对岩溶陷落柱进行危险性评价。
矿井正常涌水量是可以预测的,但提高其精确度是今后努力的方向,这是学界普遍共识,然而,突水量预测是非常困难的,甚至是不可能的,这也是业界的普遍看法。一般认为,突水点位置、突水形式、突水通道形态大小等多种要素不确定,确实很难计算预测突水量。
但如果换一种思维方法,比如,可以不过分关注陷落柱位置、突水形式、突水通道形态大小等具体要素,而是将井田(或者采区)放在其所在地下水系统中统一考虑,如果这个系统是已知的,边界及补径排条件清楚,可以用数值模型描述,那么,此时矿井中某一水平某一点的突(涌)水量就可以预测, 可以给出不同流场(降落漏斗)时的动态突(涌)水量,尽管预测方案可能非常多,但是可行的,这实际上就是突水量预测。
要做到系统已知,或者系统透明,肯定需要大量勘探支撑,要求资金支持有足够保障,恐怕在现行经济技术条件下不可行,但不可否认,在纯粹的科学意义上,陷落柱突水量预测的科学命题是成立的。
3.5.1 岩溶陷落柱综合治理原则
不同导水性质的岩溶陷落柱对矿井安全生产影响的程度不同,治理的难易程度也不同,治理采用方法也不一样。
1)全充水或导水型陷落柱具有导通奥灰水的可能,应彻底根治。实现此类岩溶陷落柱的快速有效治理,查明陷落柱形态、内部结构等要素是关键,因此治理可按照先探后治结合边探边治原则,制定有针对性的治理方案,采用巷道截流、直接封堵、“三段式”、“穿裙带帽”、“止水塞”、返流注浆、引流注浆、区域治理等技术方法,封堵陷落柱导水通道。在探清陷落柱形态、内部结构、导水性能等情况的基础上,范各庄矿对9号陷落柱采用了“三段式”治理方案,对10号陷落柱采用了“穿裙带帽”的治理方案,都获得了成功。
2)边缘导水型陷落柱,内部充填压实紧密,无空洞存在,柱内不充水也不导水,只有柱体边缘裂隙充水,一般充水和导水性有限,只与接近的含水层有水力联系,不能直接导通奥灰岩溶水,即使突水,水量也不大,而且很快被疏干。对此类陷落柱可以采用放水疏干或注浆封堵加固边缘裂隙的方法进行治理。
3)不导水或微弱导水疏干型陷落柱,内部压实胶结紧密,边缘次生裂隙不发育。如果陷落柱所处非岩溶富水区域,柱体本身具有较好的阻水条件,可以直接推过或简单处理通过。西山杜儿坪矿曾以综采机强行通过400多个陷落柱而无突水事故发生,阳泉矿区大部分陷落柱也干燥无水。实践表明,北方陷落柱绝大多数不导水,只要能够查清条件,或进行简单加固处理,可以直接通过。
3.5.2 岩溶陷落柱突水治理
2010年以后,定向钻探技术(陀螺测斜定向技术及 WMD无线随钻测斜定向技术)在煤矿水害治理领域广泛应用,奥灰水区域治理才成为可能,并大面积应用。而在此之前,陷落柱治理能否成功和治理成本还主要受制于钻探技术。
1)巷道截流技术。应具有隔离突水水源与采掘区域的适宜巷道段,钻探透巷,再注浆加压,最后引流注浆。灌注骨料先粗后细,动水条件下,可投注骨料30~50 mm,静水条件下,可投注细砂,注骨料后期要反复捅孔,当吸水系数小于5~8 L/(min·m)时,方可进行注浆。
1984年开滦范各庄特大突水事故的治理[70],在当时的技术条件下进行巷道截流时采用了国产煤田地质勘探千米钻机(终孔110 cm),设计了大流量连续造浆及灌注系统、大流量骨料快速灌注系统,研制了钻孔中速凝早强水泥包的技术方法和设备,形成了一套较完整的动水截流水害治理理论与方法,为之后大量水害事故的治理提供了技术原型,成为我国煤矿水害历史上的里程碑事件[12-13]。
1997年2月18日,徐州张集煤矿矿井西-33 m水平21号煤层轨道下山发生陷落柱突水,最大突水量 402 m3/min,从发现淋水到淹井仅 10 h。发生突水后,在准确判别突水水源、导水通道的基础上,结合现场突水条件,采取先“截流”后“堵源”、多点注浆、查堵结合的技术路线,首先在轨道下山进行巷道截流,水流由“管道流”变为“渗透流”,再从副井引流注浆加固,最后在陷落柱内部奥灰顶界面附近建造“止水塞”,施工后堵水率100%,仅用了175 d实现注浆堵水率100%,创下了当时封堵同类型奥灰隐伏陷落柱特大突水的多项全国纪录,其技术成果获1997年度江苏省科技进步一等奖[72]。
2003年东庞矿2903工作面陷落柱特大突水灾害治理[73-74],采用封堵过水巷道的方式先截流、后堵源(陷落柱),钻探工艺采用单弯螺杆+ PDC,钻孔终孔径216 mm,测斜采用单点测斜照相仪进行测量,在截流过程实施了孔底(巷内)旋喷注浆、巷内充填注浆、孔底(巷内)升压注浆、引流注浆等四项关键技术,成功实现动水环境的突水灾害治理。
2010年骆驼山煤矿特大突水淹井水害治理[75],同样采用先“截流”后“堵源”流程,在井水条件下骨料灌注效率低下时,采用双液浆法快速建造阻水体骨架,再采用综合注浆法灌注水泥浆液,创造了堵水效果和封堵时间的记录。
黄沙矿在巷道煤岩强度低导致截流段反复冲溃的情况下,采用了平衡压力法改善附近水闸墙两侧受力条件的方法进行水害治理,成功制服水患,创造了反复截流堵水经验[76]。
2)建立“止水塞”技术。查清陷落柱的基本形态后,沿陷落往边缘钻进至一定深度后导斜进入陷落柱,在可采煤层之下一定深度建造一定厚度的“止水塞”,切断奥灰水与煤系地层的水力联系。适用条件:突水构造基本确定,在巷道截流技术不能快速封堵成功的情况下,采取“止水塞”封堵方法。关键技术:首先要判断确定陷落柱的构造位置,再利用定向导斜技术,使钻孔的轨迹沿陷落柱的边缘钻进,到一定深度后再导斜进入陷落柱;定向导斜钻探技术的成功是决定堵水成功的关键。
1996年3月4日,皖北任楼煤矿发生特大陷落柱突水,最大突水量达到 576 m3/min,从发生滴淋水到淹井仅8.5 h。采用“止水塞”技术,实现当年突水、当年治理,当年复产[77]。
3)直接封堵技术。陷落柱的发育高度较低时,一般发育高度到奥灰上部的石炭纪地层,可直接从地面打钻命中陷落柱采用下行法直接注浆。这种注浆工艺适合于静水条件下岩溶陷落柱的导水通道注浆。1965年河南安阳铜冶矿发生的陷落柱突水,最大突水量为23 m3/min,造成全井淹没。突水后直接在陷落柱的上部打钻,柱体内先充填砂石形成砂垫后进行注浆加固,实现堵水率100%[78]。
4)返流注浆技术。陷落柱的突水在截流基本成功后,为了减少打钻的数量,加快堵水进程,在陷落柱构造范围不确定的情况下,可在截流堵水段与突水陷落柱之间打1~2个钻孔,通过下行法加压注浆返流加固陷落柱的空隙。1999年11月15日河南辉县市吴村煤矿 32031工作面发生隐伏陷落柱突水,最大突水量40 m3/min,造成淹井。应用返流注浆技术,仅用70 d时间成功封堵复矿,取得了显著的经济效益[78]。
5)引流注浆技术。在注浆封堵导水陷落柱通道基本成功后,为了防止在加压注浆条件下,浆液的大量流失,利用井筒排水,既可对注浆堵水进行检验,同时还可以加固突水点附近的细小裂隙,加快注浆堵水进度和复矿速度。引流注浆的时期和注浆量取决于长观孔水位和井筒的排水情况,引流注浆期间长观孔水位若下降则应加大注浆量,或停止引流排水;引流注浆期间若长观孔水位不下降,则可根据钻孔吸浆情况继续加固注浆。2003年4月12日,邢台东庞矿二水平南翼2903工作面下副巷发生陷落柱特大突水,最大突水量1 167 m3/min,造成全井淹没。为了尽快恢复生产,首先在突水点以外的巷道布置透巷孔进行巷道封堵,巷道基本封死后,开始引流注浆,实现了陷落柱和巷道薄弱地带的加固,仅用5个多月时间就完成了注浆堵水任务,堵水率达100%[73-74]。
3.5.3 岩溶陷落柱超前治理
隐伏陷落柱位置及导水性探查是治理的基础,因此治理之前首先应在地质、水文地质条件分析的基础上,根据水量、水温、水质综合分析快速识别导水性或突水水源,井下物探、钻探相结合综合探查陷落柱的位置和范围,钻探探查注浆封堵相结合完成突水通道的超前治理。治理之后应评估注浆封堵效果。
1)陷落柱“三段式”堵水技术。陷落柱突水后,在顶部留下空洞,并且在动水条件下,打钻先命中陷落柱顶部的空洞,充填骨料将动水流变为渗透流,再在陷落柱下部建立止水段和加固段,俗称“三段式”堵水技术[71]。1984年6月2日,开滦范各庄煤矿2171工作面发生特大陷落柱突水,最大突水量达2 053 m3/min,全矿停产,同时造成吕家坨和林西矿淹井,与其相邻的赵各庄矿、唐家庄矿也受到地下水的严重威胁。经勘探查明,该陷落柱体积大,柱内水流速度快,顶部又有空洞,采用了上部灌注骨料充填压实,中部注浆堵截通道,下部充填灌注拦截水源的“三段式”综合治水技术。堵水效果100%。
2)“止水塞”超前治理技术。1999年10月12日,任楼煤矿7218机巷掘进到87 m时,迎头出现淋水,水量初始为5~6 m3/h,随后逐渐增大到9 m3/h,水温由31 ℃逐渐升至34 ℃。由水文地质、水量、水温、水质综合分析快速判识突水水源(定性)为奥灰水,并推测巷道前方存在导水陷落柱。井下物探综合探查陷落柱位置大体在7218运输巷上帮约10 m,Ⅱ1下山向北45 m;为定位陷落柱位置和范围,布置了4个探查钻孔,确定了陷落柱的发育高度位于8号煤以下,且根据1号孔出水滞后可推断柱内物质充填较为密实。
经过综合计算选择,取陷落柱加固高度为60 m,注浆层位考虑井田内最下1个煤层82煤的安全开采,选择在8煤底板下10~70 m的山西组砂岩、砂质泥岩互层段。为了预防井下钻探对陷落柱的扰动,导致导水通道活化,首先对7218运输巷进行封堵,里段采用袋装水泥码放,外段用毛石充填,封堵长达52 m。随后进行充填注浆,共注入水泥544.7 t,注浆终压达8 MPa,使机巷出水量由注浆封堵前的10.5 m3/h以上减至7 m3/h。然后在地面施工了6个探注孔,利用人工受控定向导斜技术,根据探注孔进入陷落柱的具体情况,在不同深度施工了4个分支孔,总工程量4 863 m,注入水泥6 496.2 t。针对陷落柱内岩石已严重泥化水解,可注性较差的特点,本次注浆采用了劈裂注浆技术,其技术参数为:浆液密度1.25~1.38 g/cm3,泵量100~200 L/min,注浆压力2~6 MPa。地面探注孔的压水试验、井下钻探检查以及工作面涌水量减至0,均说明注浆形成的“止水塞”阻水效果良好,堵水率达100%。这是一次变淹井后的被动治水为淹井前的主动防治水,将突水淹井事故消灭于萌芽状态的成功实践,具有重大的经济意义和实用价值[79]。
3)井上下综合治理技术。邢台东庞矿注浆封堵陷落柱导水裂隙带具有范围有限、水压高、水温高、水矿化度高、动水等特点,井下巷道空间有限,施工困难,进度慢,工程量小,地面注浆压力高,施工方便,但造价高,因此采用了井下探查定位确定靶区、地面注浆、井下检查的井上下相结合注浆检查技术路线,在实践中逐渐探索形成了地下水温度异常时陷落柱的带温带压治理方法、注浆材料配方和地面树形分支钻孔、浆液控制技术措施[80]。
陷落柱及其突水研究涉及地质学、岩体力学、岩体水力学、地质力学、数学以及系统工程等多个学科领域,陷落柱及其突水研究整体进展较快,但由于其复杂性,到目前为止,仍有许多课题需要继续探索和研究。
1)岩溶陷落柱成因。有关岩溶陷落柱的成因,观点上分歧较大,认识上远不统一。前已述及,岩溶陷落柱是地质历史时期形成的特殊地质体,人类未曾身临其境耳闻目睹其形成过程,且在现有技术条件下也不可能模拟还原其场景,学界提出的众多成因学说,是将今论古地质思维的合理演绎结果,每一种学说大多对应一种地质环境,当然笔者也提出了综合成因学说,正确与否有待科学探索,是一种成因机制可以解释所有陷落柱形成过程呢,还是一种类型陷落柱就有一种成因机制?或者还有其他解释方法?
2)岩溶陷落柱导水性。由于陷落柱形成历史无法复原,相关成果均依赖将今论古的推理演绎原理,难以实证见解不一,其导水性更甚,研究难度大成果少。只有导水者才可能形成突水,因此,判别陷落柱是否导水是关键。导水性与陷落柱形成过程中区域沉积环境、构造演化变迁、基底岩溶水径流条件等因素有关,而陷落柱形成后的重新压密、胶结、风化、活化等是关键影响因素。由于导水者占陷落柱总数的不到5%,所以采用排除法最有效。笔者猜想,陷落柱形成以后柱体与基底的错位以及径流带的变迁等宏观判断可以排除大部分不导水陷落柱,在少部分陷落柱中,陷落柱的黏土及胶结物质含量和测年极有可能是解开其是否导水的钥匙。宏观及微观研究方法及内容是否科学?
3)岩溶陷落柱预测。陷落柱突水固然可怕,但往往是勘探未发现而在采掘过程中误揭陷落柱导致的事故,只要能够准确预测定位陷落柱,即可有许多方法防范此类事故。然而,由于发育的随机性及不确定性,使得陷落柱预测定位的研究成果少,存在定量化困难、预测精度差等缺点,目前是业界攻关的难点和热点。尽管笔者开展了陷落柱发育分布规律研究,梳理了其主控指标体系,进而建立模型实现了陷落柱分布预测,但指标体系及模型的科学性,或者预测方法是否科学,均值得探索。
4)岩溶陷落柱形成时间。根据煤系地层覆盖形成时间推断陷落柱开始发育时间,依据陷落柱垮塌地层判断结束期,用铀系定年方法确定相对精确时间,这是目前认识现状,但由于地域不同地质环境及地质历史不同,陷落柱形成的地质历史不够精准,对此科学探索有待深入。
5)岩溶陷落柱突水机理。陷落柱位置及形态不同,与采掘关系多样,诱发因素众多,导致陷落柱突水多种多样。以分类建立突水模式提出突水机理是否科学,或者一种综合力学机理包打天下更科学?还有其他更好的科学机理?
6)岩溶陷落柱突水量预测。预测是掌握所有事件发展趋势的永恒科学问题。学界普遍共识,突水量预测是非常困难的,甚至是不可能的,特别是岩溶陷落柱突水量,对预测并不看好。笔者认为,如果把陷落柱突水形成的地下水降落漏斗作为地下水系统来考察,在具有流场整体动态信息后,特定情况下突水量预测应该可行。但如此开创性研究绝非易事,仍然沿用地质分析的传统方法显然不能完全解决问题,必须从理论方法和技术手段上有所突破。
4.2.1 岩溶陷落柱精细探测精准定位精致堵水
煤炭开采前采用物探、钻探、化探、水文地质试验等手段查明岩溶陷落柱是否存在?存在空间形态位置?是否导水?目前的探测方法技术很难满足生产要求的精度,达不到精细探测的要求。煤炭开采中陷落柱突水后,陷落柱精准定位是快速有效封堵难以逾越的屏障,事实上,一旦定位准确,治理迎刃而解,否则只能采取巷道或局部截流工程间接实现堵水,如此投入巨大工期长,影响救灾影响复矿。
1)物探探测技术及装备。经过几十年发展,呈现出应用广泛、技术丰富、仪器多样的特点,但整体上国内物探设备生产厂家众多,小而散,研发能力弱,且各种仪器和技术方法都有自己的适用范围和优缺点。①物探仪器设备,不论是构造探测还是富水性探测,均存在多解性,应从理论方法上解决解的唯一性,比如,应用核磁方法开发探水设备;②环境干扰影响显著,去噪抗干扰也是未来物探设备的主攻方向之一;③开发精细探测设备。目前三维地震具有解译直径20 m陷落柱的能力,应针对小型陷落柱攻关,提高定位精度。
2)钻探技术及装备。经过几十年的努力,我国从20世纪80年代全液压坑道钻机发展到目前定向钻进技术,进步神速。目前定向钻进技术已广泛应用于奥灰水防治的区域探查治理以及构造突水治理中。①设备造价高,关键部件仍需要国外进口;②对岩层岩性适应性有待改善,如软岩成孔和硬岩钻进;③为满足矿井救灾需求大孔径快速钻进技术。
3)注浆堵水技术及装备。20世纪80年代以来,形成的连续灌注设备系统以及近年从国外引进的定向钻具、造浆设备及浆液制备,标志着我国在注浆技术硬件上有了质的飞跃。1984年开滦范各庄煤矿岩溶陷落柱特大突水事故注浆堵水的成功,证明了我国防治水工作者在治理国内外罕见突水灾害上的勇气和驾驭大型堵水工程的能力。①我国在煤矿注浆堵水整套装备不落后,但单一设备性能质量与国外存在差距,有些关键部件国内无法替代;②注浆堵水工程做到精致,既受制于精准定位,也需要适应于动静水条件的注浆方案、骨料浆液配合以及施工时序安排。
4)化学探查技术。水化学分析方法或者示踪试验方法对于突水灾害“确源”具有不可替代的作用,一方面确定水源是否奥灰水对于治理方式选择非常关键,另一方面,确定不同水源之间的水力联系同样重要。我国在这方面积累了不少成功经验,如,开滦矿区水源中硝酸根离子超过7 mg/L,基本可以判断为奥灰水;峰峰梧桐庄矿水温40 ℃以上加钙镁离子也基本可以确认奥灰水,等。目前,水化学基础数据库建设乏力,不利于化学探查技术的应用。
5)水文地质试验。大型抽(放)水试验和连通试验是“确源定通”的常规方式,通过流场分析可以确定水源认定充水通道。当然,突水灾害后形成的降落漏斗流场可以看作抽(放)水试验的结果。当前的尴尬在于,没有几个可以实施本试验的矿井,即使有条件实施,也缺少分析应用的专业技术人员。
4.2.2 陷落柱突水监测预警系统
岩溶陷落柱突水预测预警系统还处于初级阶段,没有成熟的理论经验可以借鉴,在理论及装备上不断进取。
1)陷落柱突水影响因素及监测指标体系还不完善,力学模型、突水判据、突水预警准则,预测预报理论及监测技术有待提升,特别是突水预警准则。
2)采动影响下,电法动态监测系统、微震系统等监测布局,信息处理反演、预测等还需深入研究。
3)由于预警需要预判,而地质开采条件又千变万化,必须开发由传感器监测间接数据经过特殊模型处理以及合理的推理判断后,在有突水预兆的时候提前发出预警,比如大数据、云平台在信息收集处理上的应用。
建议国家层面设立重点或重大研究项目,针对现有岩溶陷落柱及其突水基础理论技术体系开展研发,查漏补缺,以岩溶陷落柱成因和岩溶陷落柱突水机理2个科学问题为主线,围绕陷落柱充填特征、发育规律、导水性及定位预测和陷落柱突水模式及突水机理、突水危险性评价、突水量预测、监测预警、探查治理等关键理论或技术,开展联合攻关,完善陷落柱及其突水研究科学体系,为煤炭开发提供坚实安全保障。
1)华北型煤田岩溶陷落柱形成环境及成因机制研究。关键问题:一是分析陷落柱发育环境及控制因素;二是揭示岩溶陷落柱形成的复杂动力地质过程及力学成因机制;三是分析华北型煤田多期构造运动演化对陷落柱发育的控制作用。
2)岩溶陷落柱发育分布规律及空间定位预测研究。关键问题:一是揭示岩溶陷落柱发育空间分布规律;二是建立岩溶陷落柱预测定量指标体系及预测模型;三是研发岩溶陷落柱发育预测信息系统。
3)岩溶陷落柱导水性预测研究。关键问题:一是揭示岩溶陷落柱胶结成岩控制机制;二是岩溶陷落柱导水的否决条件;三是微观手段研究岩溶陷落柱孔隙裂隙形成机制。
4)岩溶陷落柱突水模式机理及突水危险性评价。关键问题:一是依据岩层结构采矿条件等分类研究岩溶陷落柱突水机理;二是建立岩溶陷落柱突水岩体水力学模型;三是突水危险性主要影响因素指标体系及评价模型。
5)岩溶陷落柱突水量预测及监测预警。关键问题:一是突水量概念界定及系统岩体水力学模型建立;二是岩溶陷落柱监测系统信息采集现场布局;三是研制陷落柱突水监测预警系统及分级预警。
6)岩溶陷落柱探查治理。关键问题:一是针对特殊构造的探查体系设计;二是物探探测技术的升级换代;三是分类治理体系构建。
7)工程示范。岩溶陷落柱定位预测及突水量预测示范;岩溶陷落柱监测预警系统示范;岩溶陷落柱精细探查精准定位精致治理示范。
梳理了岩溶陷落柱研究历史,总结了学界丰富的学术成果,在陷落柱发育特征、成因机制、发育规律及预测、突水模式及机理、探查治理等方面取得了显著进展,形成了较为完整系统的基本理论及技术体系,在煤矿区得到了广泛应用,取得了明显的经济、社会和环境效益。
1)分析总结了岩溶陷落柱区域和煤田内分布规律,归纳了岩溶陷落柱空间形态特征、充填物特点、揭露特征等,系统梳理了岩溶陷落柱类型。
2)以华北型煤田岩溶陷落柱形成条件分析为基础,提出了陷落柱综合成因理论,归纳了岩溶陷落柱导水的充要条件,从微观视角剖析了充填物成岩历史与环境对导水性的影响。
3)根据陷落柱与煤层的相对位置关系,提出了薄板突水、剪切破坏突水、厚壁筒突水和压裂突水四种突水模式和机理,并导出了剪切破坏和厚壁筒突水模式的力学判据。
4)依据岩溶陷落柱的分布规律、分类特点等,建立了岩溶陷落柱预测指标体系,实现了定性与定量预测;总结了岩溶陷落柱探查治理流程和治理技术。
5)在岩溶陷落柱预测、突水量预测、导水性、精细探查、突水机理等方面,阐述了存在问题,凝练了科学命题,列举了工程技术难题,指出了解决问题的方向。
人类从煤炭开发开始偶遇岩溶陷落柱,历经百年,经过无数从业者不懈探索,正如文中所述,有关陷落柱的基础理论技术框架基本搭建,理论技术为煤炭开发提供了强有力的支撑。但实事求是地讲,作为一种特殊地质现象,其中的众多地质奥妙人类的探索可能还未入门。与其他地质现象一样,它的起源与形成过程是绕不过去的科学命题,成因不解决,其他规律就像空中楼阁。尽管在成因方面提出了许多成因假说,但显然陷落柱真正起源和形成过程的追溯,即使有些假说也难以完全信服。而突水机理则是陷落柱突水相关话题的根基,但在研究机理的模拟与试验方面能够和实际情况具有几分相似?因此,今后相当长的科学探索之路,学界所面临的最大挑战仍然离不开“成因”和“机理”。
致谢:应《煤炭科学技术》编辑部曾康生编审邀约及指导,经过约1年时间,完成了华北型煤田岩溶陷落柱研究综述。首先感谢课题组及多年来与课题组合作的专家学者,大量工作是大家共同完成的,其成果是课题组共同奋斗的结晶;其次感谢为本文提供素材的专家学者,包括公开文献可以查阅的资料,以及很多回忆、图片、实物等资料,还有因各种原因未能在文中标注的资料,感谢他们无私的奉献,才使部分历程得以更真实再现;最后感谢审稿专家提出的建设性意见。限于水平和阅历,不足之处,敬请读者批评指正!
[1] 中国地质学会岩溶地质专业委员会.岩溶学词典[M].北京:地质出版社,1988.
[2] 地质矿产部《地质辞典》办公室编辑.地质辞典[M].北京:地质出版社,1986.
[3] 小贯义男.关于河北井陉炭田地质调查报告[R].井陉:北支那开发株式会社调查局,1944.
[4] 开滦集团和华北科技学院课题组,开滦矿区岩溶陷落柱预测研究[R].唐山:开滦集团有限责任公司,2017.
[5] 钱学溥.山西高原喀斯特发育特征[J].水文地质工程地质,1960,4(3):19-23.
QIAN Xuepu.Characteristics of Karst development in Shanxi Plateau[J].Hydrogeology & Engineering Geology,1960,4(3):19-23.
[6] 徐卫国,赵桂荣.试论岩溶矿区地面塌陷的成因及防治设想[J].化工矿山技术,1978(4):19-27,18.
[7] 王 锐.论华北地区岩溶陷落柱的形成[J].水文地质工程地质,1982,26(1):37-41.
WANG Rui.Discussion on the causes and prevention of ground collapse in Karst mining area[J].Hydrogeology & Engineering Geology,1982,26(1):37-41.
[8] 中国地质学会岩溶地质专业委员会.中国北方岩溶和岩溶水[M].北京:地质出版社,1982.
[9] 中国地质学会.华北地区岩溶陷落柱学术交流会论文集[C].北京:中国地质学会1987.
[10] 矿井地质专业委员会2003年学术研讨会纪要[C]//中国煤炭学会简讯(第107期).北京:中国煤炭学会,2003:22-23.
[11] 中国地质学会.华北地区岩溶陷落柱学术交流会论文集[C].北京:中国地质学会,2007.
[12] 开滦矿务局,煤炭科学院地质勘探分院,煤炭科学院北京建井研究所.奥灰岩溶陷落柱特大突水灾害的治理(上)[J].煤炭科学技术,1986,14(1):6-14,64
[13] 开滦矿务局,煤炭科学院地质勘探分院,煤炭科学院北京建井研究所.奥灰岩溶陷落柱特大突水灾害的治理(下)[J].煤炭科学技术,1986,14(2):7-10,13.
[14] 李金凯,周万芳.华北型煤矿床陷落柱突水水文地质环境及预测[J].煤矿安全,1988,19(7):6-12,65.
LI Jinkai,ZHOU Wanfang.Hydrogeological environment and prediction of water inrush from collapse column of North China coal mine[J].Safety in Coal Mines,1988,19(7):6-12,65.
[15] 潘文勇.华北型岩溶煤田的灰岩分布规律及岩溶发育特征[J].煤炭学报,1982,7(3):48-56.
PAN Wenyong.Distribution of limestone and Karst development characteristics of Karst coal fields in North China[J].Journal of China Coal Society,1982,7(3):48-56.
[16] 《中国北方岩溶地下水资源及大水矿区岩溶水的预测、利用与管理的研究》项目综合组.中国北方岩溶含水介质研究[J].中国岩溶,1990,9(4):33-329.
Working Group of the Research Project Groundwater Resources in Karst Areas of North China and Prediction,Use and Management of Karst Water in Mine Areas.A study on Karst water-bearing media in North China[J].Carsologica Sinica,1990,9(4):33-329.
[17] 王家臣,李见波.预测陷落柱突水灾害的物理模型及理论判据[J].工程科学学报,2010,32(10):1243-1247.
WANG Jiachen,LI Jianbo.Physical model and theoretic criterion of the forecast of water inrush caused by collapse columns[J].Journal of University of Science and Technology Beijing,2010,32(10):1243-1247.
[18] 赵金贵,郭敏泰.平顺老马岭岩溶陷落柱的发现及形成时段探讨[J].煤炭学报,2014,39(8):1716-1724.
ZHAO Jingui,GUO Mintai.Discovery and formation time of Karst collapse pillar in Laomaling,Pingshun County[J].Journal of China Coal Society,2014,39(8):1716-1724.
[19] 赵金贵,郭敏泰.太原东山大窑头煤系层间构造与岩溶陷落柱群发育模式[J].煤炭学报,2013,38(11):1999-2006.
ZHAO Jingui,GUO Mintai.The interlayer structures and the Karst collapse pillars style of the coal measure strata in Dayaotou Village,Eastern Mountain,Taiyuan[J].Journal of China Coal Society,2013,38(11):1999-2006.
[20] 尹尚先,徐 斌,刘德民,等.我国华北煤田岩溶陷落柱预测研究[J].煤炭科学技术,2016,44(1):172-177.
YIN Shangxian,XU Bin,LIU Demin,et al.Study on location prediction of Paleo-Karst sinkholes in Northern China Coalfields[J].Coal Science and Technology,2016,44(1):172-177.
[21] YIN ShangXian,ZHANG Jincai.Impacts of Karst Paleo-sinkholes on mining and environment in northern China[J]. Environmental Geology, 2005, 48(8):1077-1083.
[22] 尹尚先,武 强,王尚旭.北方岩溶陷落柱的充水特征及水文地质模型[J].岩石力学与工程学报,2005,24(1):77-82.
YIN Shangxian,WU Qiang,WANG Shangxu.Water-bearing characteristics and hydro-geological models of Karstic collapse columns in North China[J].Chinese Journal of Rock Mechanics and Engineering,2005,24(1):77-82.
[23] 尹尚先,武 强.煤层底板陷落柱突水模拟及机理分析[J].岩石力学与工程学报,2004,23(15):2551-2556.
YIN Shangxian,WU Qiang.Simulation and mechanism analysis of water inrush from Karstic collapse columns in coal floor[J].Chinese Journal of Rock Mechanics and Engineering,2004,23(15):2551-2556.
[24] 尹尚先,武 强,王尚旭.华北岩溶陷落柱突水的水文地质及力学基础[J].煤炭学报,2004,29(2):182-185.
YIN Shangxian,WU Qiang,WANG Shangxu.Hydrogeological and mechanical basics of water inrush from Karstic collapse columns in Northern China [J].Journal of China Coal Society,2004,29(2):182-185.
[25] 尹尚先,王尚旭,武 强.陷落柱突水模式及理论判据[J].岩石力学与工程学报,2004, 23(6):964-968.
YIN Shangxian,WANG Shangxu,WU Qiang.Water inrush patterns and theoretic criteria of Karstic collapse columns[J].Chinese Journal of Rock Mechanics and Engineering,2004,23(6):964-968.
[26] 尹尚先,武 强,王尚旭.华北煤矿区岩溶陷落柱特征及成因探讨[J].岩石力学与工程学报,2004,23(1):120-123.
YIN Shangxian,WU Qiang,WANG Shangxu.Studies on characters and forming mechanism of Karstic collapse columns at mine area of North China [J].Chinese Journal of Rock Mechanics and Engineering,2004,23(1):120-123.
[27] 尹尚先,王尚旭.陷落柱影响采场围岩破坏和底板突水的数值模拟分析[J].煤炭学报,2003,28(3):264-269.
YIN Shangxian,WANG Shangxu.Numerical simulation analysis of the influence of collapse column on the failure of surrounding rock and water inrush from floor[J].Journal of China Coal Society,2003,28(3):264-269.
[28] 尹尚先,吴文金,李永军,等.华北煤田岩溶陷落柱及其突水研究[M].北京:煤炭工业出版社,2008.
[29] 刘建功,赵庆彪,尹尚先.煤田隐伏岩溶陷落柱探查与综合治理技术[M].北京:煤炭工业出版社,2011.
[30] 牛 磊.华北型煤田岩溶陷落柱突水机理及危险性评价[D].北京:中国矿业大学(北京),2015.
[31] 佘祖琪.古岩溶柱状陷落特征与预测方法[J].煤田地质与勘探,1990,18(2):42-45,71.
SHE Zuqi.Characteristics and prediction methods of ancient Karst columnar collapse[J].Coal Geology & Exploration,1990,18(2):42-45,71.
[32] 张敬凯.山西曹村井田岩溶陷落柱发育规律研究[D].邯郸:河北工程大学,2009.
[33] 褚志忠.利用陷落柱伴生断层预测陷落柱[J].西山科技,1998(4):7-10.
CHU Zhizhong.Using associated faults of collapse column to predict collapse column[J].Xishan Science &Technology,1998(4):7-10.
[34] 张永双,曲永新,刘国林,等.华北型煤田岩溶陷落柱某些问题研究[J].工程地质学报,2000,44 (1):35-39.
ZHANG Yongshuang,QU Yongxin,LIU Guolin,et al.Some problems of Karstic collapse posts in North-China type coalfields[J].Journal of Engineering Geology,2000,44(1):35-39.
[35] 赵庆彪.奥灰岩溶水害区域超前治理技术研究及应用[J].煤炭学报,2014,39(6):1112-1117.
ZHAO Qingbiao.Ordovician limestone Karst water disaster regional advanced governance technology study and application[J].Journal of China Coal Society,2014,39(6):1112-1117.
[36] MARTINEZ J D, JOHNSON K S, NEAL J T. Sinkholes in evaporate rocks[J].American Scientist,1998,86:39-52.
[37] M Van Den Eeckhaut,J Poesen,M Dusar,V Martens,et al.Sinkhole formation above underground limestone quarries:A case study in South Limburg (Belgium)[J].Geomorphology,2007,91(1):19-37.
[38] WALTHAM A C. Ground Subsidence[M].Blackie, Glasgow, 1989.
[39] HATZOR Y H, TALESNICK M, TSESARSKY M. Continuous and discontinuous stability analysis of the bell-shaped caverns at Bet Guvrin, Israel[J].Int J Rock Mech Min Sci, 2002,39(7): 867-886.
[40] GOODMAN R E, Gen Hua Shi. Block theory and its application to rock engineering[M].Englewood Cliffs, N J: Prentice-Hall, Inc, 1985.
[41] KE T C, Goodman R E. Discontinuous deformation analysis and'the artificial joint concept[C].In: Proceedings of 1st NARMS,UT, Austin, 1994:599-606.
[42] 司淑平,马建民,胡德西.煤系地层陷落柱成因机理与分布规律研究[J].断块油气田,2001,8(2):15-18,66.
SI Shuping,MA Demin,HU Dexi.Study on formation mechanism and distribution of collapse column in coal measure strata[J].Fault-Block Oil & Gas Field,2001,8(2):15-18,66.
[43] 彭纪超,刘海荣,孙利华,等.山西省煤矿区陷落柱分布规律与突水预测研究[J].中国煤炭地质,2010,22(7):26-30.
PENG Jichao,LIU Hairong,SUN Lihua,et al.A Study on subsided column distribution pattern and water bursting prediction in Shanxi Coalmines[J].Coal Geology of China,2010,22(7):26-30.
[44] 牛 磊,武 强,李 博.基于内部结构概化的华北型煤田岩溶陷落柱分类[J].煤田地质与勘探,2015,43(3):56-60.
NIU Lei,WU Qiang,LI Bo.Classification of Karst collapse columns in North China coalfields based on the generalized model of inside structure of the columns [J].Coal Geology & Exploration,2015,43(3):56-60.
[45] 尹万才,施龙青,卜昌森.华北煤田陷落柱发育的几何特征[J].山东科技大学学报:自然科学版,2004,36(2):23-25.
YIN Wancai,SHI Longqing,BU Changsen.Geometrical Characteristics of Sunken Column in North China Coalfield[J].Journal of Shandong University of Science and Technology:Natural Science,2004,36 (2):23-25.
[46] 张永双,谭卓英,吕朋菊.华北型煤田岩溶陷落柱分类探讨[J].煤炭工程师,1998,27(5):20-22,25,52.
ZHANG Yongshuang,TAN Zhuoying,LYU Pengju.Classification of Karst collapse columns in north China type coalfields[J].Coal Engineer,1998,27(5):20-22,25,52.
[47] 赵金贵.西山煤田岩溶陷落柱形态学特征及构造水文演化[D].太原:太原理工大学,2004.
[48] 洪 雷.大同四台井田岩溶陷落柱发育规律的研究[J].矿业安全与环保,2003,(S1):217-218.
HONG Lei.Study on development of Karst collapse columns in Sitai Mine field in Datong[J].Mining Safety & Environmental Protection,2003,(S1):217-218.
[49] 华北科技学院课题组,华北型煤田岩溶陷落柱预测研究[R].北京:华北科技学院,2016
[50] 吴基文,严家平,徐冰寒.皖北刘桥一矿岩溶陷落柱特征及成因探讨[J].西安矿业学院学报,1998,18(4):315-319.
WU Jiwen,YAN Jiaping,XU Binghan.The characteristics and genesis of Karst collapse column in Liuqiao First Coal Mine in Northern Anhui Province[J].Journal of Xi’an Mining Institute,1998,18(4):315-319.
[51] 文朝生,宋改改.对凤凰山井田陷落柱的探讨[J].煤,2002,11(4):50-51,54.
WEN Chaosheng,SONG Gaigai.Discussion on collapse column of Lantau Peak mine field[J].Coal,2002,11(4):50-51,54.
[52] 苏昶元,韩 朴.岩溶陷落柱的分析与预测[J].山西煤炭,1997(2):15-20.
SU Changyuan,HAN Pu.Analysis and prediction of Karst collapse column[J].Shanxi Coal,1997(2):15-20.
[53] 王乃堂.肥城煤田岩溶陷落柱发育规律及开采前预测[J].山东煤炭科技,1999(2):15-17.
WANG Naitang.Development rule and prediction of Karst collapse column before mining in Feicheng Coalfield[J].Shandong Coal Science and Technology,1999(2):15-17.
[54] 乔宝印.范各庄矿岩溶陷落柱发育规律及防治对策[J].河北煤炭,2003(3):1-2.
QIAO Baoyin.Development regularity of Karst collapse pillar and its prevention in Fangezhuang Coal Mine [J].Hebei Coal,2003(3):1-2.
[55] 李永军,彭苏萍.华北煤田岩溶陷落柱分类及其特征[J].煤田地质与勘探,2006,34(4):53-57.
LI Yongjun,PENG Suping.Classifications and characteristics of Karst collapse columns in North China coalfields[J].Coal Geology & Exploration,2006,34(4):53-57.
[56] 杨为民,周治安.岩溶陷落柱岩体结构分析[J].淮南矿业学院学报,1997,17(2):1-7.
YANG Weimin,ZHOU Zhian.Analysis of rock mass structure of Karst collapse column[J].Journal of Huainan Mining Institute,1997,17 (2):1-7.
[57] 胡宝林,宋晓梅.淮北煤田深部岩溶洞穴及陷落柱形成机制[J].中国煤田地质,1997,9(2):47-49.
HU Baolin,SONG Xiaomei.Deep Karst cave and collapse column formation mechanism in Huaibei Coalfield[J].Coal Geology of China,1997,9(2):47-49.
[58] 王革纯,刘金国.煤矿开采在煤系砂岩中形成现代陷落柱的实例[J].中国煤田地质,2004,26(S1):67-68.
WANG Gechun,LIU Jinguo.An example of modern collapse column in coal measure sandstone in coal mining[J].Coal Geology of China,2004,26(S1):67-68.
[59] 钱学溥.石膏喀斯特陷落柱的形成及其水文地质意义[J].中国岩溶,1988,7(4):70-74.
QIAN Xuepu.Formation of gypsum Karst collapse column and its hydro-geological significance[J].Carsologica Sinica,1988,7(4):70-74.
[60] 徐卫国,赵桂荣.试论岩溶矿区地面塌陷的真空吸蚀作用[J].地质论评,1981,27(2):86-95.
XU Weiguo,ZHAO Guirong.The implication of suction action for ground subsidence in Karst mining areas[J].Geological Review,1981,27(2):86-95.
[61] 侯恩科,夏玉成,樊怀仁,等.矿井陷落柱的成因分析及其预测[J].西北地质,1994,27(2):18-22.
HOU Enke,XIA Yucheng,FAN Huairen,et al.Cause analysis and prediction of mine collapse column[J].Northwestern Geology,1994,27(2):18-22.
[62] 苏昶元,韩 朴.浅析“真空吸蚀致塌”理论的缺陷[J].西山科技,1997(3):5-7.
[63] 陈尚平.河北峰峰地区岩溶陷落柱成因探讨[J].中国岩溶,1993,12(3):52-63.
CHEN Shangping.Discussion on the cause of Karst collapse column in Fengfeng area of Hebei Province[J].Carsologica Sinica,1993,12(3):52-63.
[64] 赵志怀,陆远昭,陆家河.山西煤田地质构造与陷落柱发育规律的初步探讨[J].中国地质,1996,44(6):20-21.
ZHAO Zhihuai,LU Yuanzhao,LU Jiahe.A preliminary study on geological structure and collapse column development in Shanxi coal field[J].Geology in China,1996,44(6):20-21.
[65] 卢耀如.中国岩溶-景观·类型·规律[M].北京:地质出版社,1986.
[66] 尚克勤.华北地区岩溶陷落柱成因探讨[J].中州煤炭,1988(5):14-18.
SHANG Keqin.Discussion on the cause of Karst collapse column in North China[J].Zhongzhou Coal,1988(5):14-18.
[67] 桂 辉,杨志斌,韩翔旭. 皖北矿区岩溶陷落柱导水性差异原因研究[J].煤炭科学技术, 2017, 45(6): 165-169.
GUI Hui,YANG Zhibin,HAN Xiangxu. Study on reason for differences of hydraulic conductivity ofkarst collapse columns in Wanbei Mining Area[J].Coal Science and Technology, 2017, 45(6): 165-169.
[68] 郭红玉.太原西山岩溶陷落柱发育时间研究[D].太原:太原理工大学,2004.
[69] 刘登宪,李永军.淮南寒武纪岩溶陷落柱发育特征及导水性分析[J].中国煤田地质,2006,18(1):38-40,44.
LIU Dengxian,LI Yongjun.Analysis on development characteristics and water conductivity of Karst collapse column in Cambrian of Huainan[J].Coal Geology of China,2006,18(1):38-40,44.
[70] 国家煤矿安全监察局.煤矿防治水细则[M].北京:煤炭工业出版社,2018.
[71] 钟亚平.开滦煤矿防治水综合技术研究[M].北京:煤炭工业出版社,2001.
[72] 闵长江.奥灰隐伏陷落柱特大突水灾害的治理技术[J].煤炭科学技术,1999,27(1):25-27.
MIN Changjiang.The management technology of the catastrophic water inrush in the concealed collapse column of Ordovician ash[J].Coal Science and Technology,1999,27(1):25-27.
[73] 南生辉,蒋勤明,郭晓山,等.导水岩溶陷落柱堵水塞建造技术[J].煤田地质与勘探,2008,36(4):29-33.
NAN Shenghui,JIANG Qinming,GUO Xiaoshan,et al.Construction technique of groundwater-preventing piston inKarst flow collapse column[J].Coal Geology & Exploration,2008,36(4):29-33.
[74] 刘建功,赵庆彪,白忠胜,等.东庞矿陷落柱特大突水灾害快速治理[J].煤炭科学技术,2005,33(5):4-7.
LIU Jiangong,ZHAO Qingbiao,BAI Zhongsheng,et al.Rapid holding and control for special large water inrush from sink hole in Dongpang Mine[J].Coal Science and Technology,2005,33(5):4-7.
[75] 邵红旗,王 维.双液注浆法快速建造阻水墙封堵突水巷道[J].煤矿安全,2011,42(11):40-43.
SHAO Hongqi,WANG Wei.Double-fluid grouting method is used to quickly build water-blocking wall to block water-inrush roadway[J].Safety in Coal Mines,2011,42(11):40-43.
[76] 岳卫振.平衡压力法在极松散煤巷注浆截流堵水中的应用[J].煤炭工程,2012(8):40-42.
YUE Weizhen.Balanced pressure method applied to grouting and water sealing of loose seam gateway[J].Coal Engineering,2012(8):40-42.
[77] 周 垒.浅谈导水陷落柱突水淹井综合治理[J].水力采煤与管道运输,2011(4):39-41.
ZHOU Lei.A brief discussion on comprehensive treatment of water inrush and inrush mine by water guide collapse column[J].Hydraulic Coal Mining & Pipeline Transportation,2011(4):39-41.
[78] 赵苏启,武 强,郭启文,等.导水陷落柱突水淹井的综合治理技术[J].中国煤炭,2004,30(7):27-29,6.
ZHAO Suqi,WU Qiang,GUO Qiwen,et al.Comprehensive control technology of water inrush and flood well by water guide collapse column[J].China Coal,2004,30(7):27-29,6.
[79] 郑士田,马培智.陷落柱中“止水塞”的快速建立技术[J].煤田地质与勘探,1998,26(3):52-54.
ZHENG Shitian,MA Peizhi.Rapid establishment of "stop plug" in collapse column[J].Coal Geology &Exploration ,1998,26(3):52-54.
[80] 冀中能源集团等课题组.华北型煤田隐伏含水陷落柱预探评价与快速治理理论及关键技术 [R].邢台:冀中能源集团,2010