全方位行走式超前液压支架研究

徐亚军1,2,张德生1,2,李丁一1,2

(1.天地科技股份有限公司 开采设计事业部,北京 100013;2.煤炭科学研究总院 开采设计研究分院,北京 100013)

摘 要:为了解决现有超前液压支架移架过程中反复支撑破坏巷道顶板和锚网支护系统问题,研制了基于螺旋推进器的全方位行走式超前液压支架,采用换位前移的方式进行移架,避免了现有超前液压支架顺序前移带来的反复支撑问题。分析了现有超前支架存在的问题,介绍了全方位行走式超前液压支架的移架方式,阐述了该种支架的具体结构特点,研究了其力学特性,建立了相关运动学方程,给出了具体算例,为全方位行走支架的行走参数确定提供了理论依据。结果表明:该型支架结构简单、操作方便、行走可靠,仅需改变左右侧螺旋推进器的旋转方式,即可实现前移、后退、侧移和旋转等移动功能,可以解决现有超前液压支架顺序前移带来的破坏巷道顶板和锚网支护系统难题。

关键词:液压支架;超前支护;反复支撑;超前巷道;螺旋推进器

0 引言

进入新世纪以来,随着煤炭开采技术的发展,越来越多的矿区开始采用超前液压支架进行巷道超前支护。超前液压支架的使用在一定程度上解决了单体支柱劳动强度大、回撤速度慢、生产效率低的难题,但在实际使用中发现现有的超前液压支架普遍存在一个问题:移动过程中反复支撑破坏巷道顶板和巷道锚网系统[1-3],沿空留巷的巷道甚至需要二次锚固[4]。如何解决超前液压支架对巷道顶板和锚网系统的破坏是当前巷道超前支护亟待解决的问题。文献[5]提出了“低初撑、高工阻”非等强支护设计理念,文献[6]设计了初撑减压装置,文献[7]研究了一种基于超前支架速度、压力的复合控制方法,文献[8]建立了一种基于液压油体积平均释放原则的迈步控制方法。上述方法操作复杂,实施难度大,实际使用效果均不理想。为了解决上述问题,笔者介绍了一种可全方位行走的新型超前支架,该支架采用螺旋推进器作为行走部,具有前进、后退、侧向平移和旋转等行走功能,改变了目前超前支架采用推移千斤顶顺序移动带来的反复支撑破坏巷道顶板问题,为上述问题的最终解决提供参考。

1 移架方式的确定

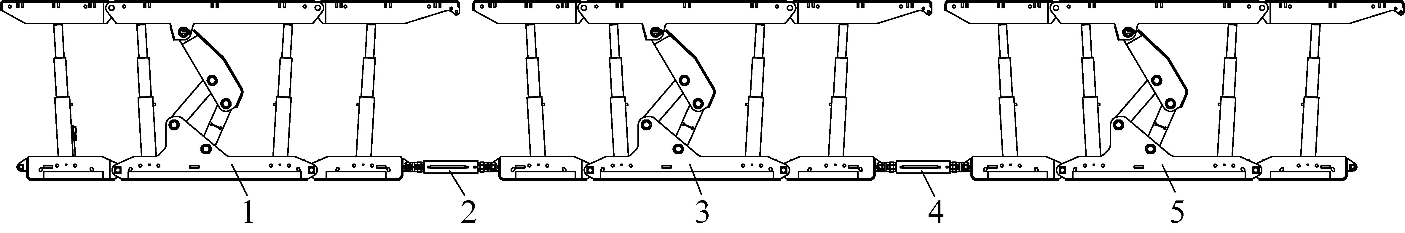
目前常用的超前支架结构如图1所示,众多的超前支架通过推移千斤顶组成超前支架组,超前支架是通过顺序前移的方式向前移动。具体移动过程如下:①第1架超前支架立柱收缩,顶梁离开巷道顶板,推移千斤顶2伸出,将第1架向前推移1个步距,第1架超前支架立柱伸出,顶梁接触巷道顶板承载受压;②第2架超前支架立柱收缩,顶梁离开巷道顶板,推移千斤顶2收缩,将第2架向前拉移1个步距,第2架超前支架立柱伸出,顶梁接触巷道顶板承载受压,期间推移千斤顶4随动伸出1个步距;③第3架超前支架立柱收缩,顶梁离开巷道顶板,推移千斤顶4收缩,将第3架向前拉移1个步距,第3架超前支架立柱伸出,顶梁接触巷道顶板承载受压。通过上述方式,超前支架组中的每个液压支架依次动作,完成全部动作后,超前支架组向前移动1个步距。若超前支护长度为20 m,推移行程为0.8 m,需反复升降25次才能走完全程。由于超前支架顺序前移过程中必须要不停升、降支架,进而对巷道顶板反复加载、卸压,易知现有超前支架顺序前移的移架方式是造成巷道顶板和锚网系统破坏的主要原因[9]

1、3、5—超前支架,2、4—推移千斤顶

图1 传统超前支架结构

Fig.1 Structure of traditional advanced support

如前所述,顺序前移是超前支架对巷道顶板反复加载、卸压的主要原因,因此要从根本上解决超前支架反复支撑破坏巷道顶板,关键在于改变目前超前支架顺序前移的行走方式。切实可行的方法是将超前支架顺序前移的移架方式变为图2所示换位前移的移架方式,即将最后一架超前支架直接移到超前支架组的前方,以解决目前超前支架移动时反复支撑破坏巷道顶板和锚网问题。换位前移的移架过程如下:超前支架由位置A侧向平移到位置B,然后沿巷道中心向前移动到位置C,再侧向平移到位置D。由于支架是直接移动到位,移动时没有反复升降,因而不存在反复支撑破坏巷道顶板和锚网问题。

图2 换位前移的移架方式

Fig.2 Moving support mode of displacement forward

2 传统超前支架存在的问题及解决方案

最早采用上述移动方式是单元式巷道超前支架(图3),该超前支架在巷道中依次布置,每个支架为独立的支护单元,各支架间不用推移千斤顶连接,超前支架采用换位前移的方式进行移动,通过钢丝绳牵引,将超前支架组中的最后一架超前支架直接拉到超前支架组的前方,变为第一架超前支架。该支架先后在新汶矿业集团龙固煤矿、淄博矿业集团唐口煤矿和新河煤矿应用。由于钢丝绳牵引需定期搬移回柱绞车,劳动强度大,加之牵引钢丝绳长度较长,安全性差,因而未能推广普及。

图3 单元式巷道超前支架

Fig.3 Advanced support unit in roadway

为了解决钢丝绳牵引的问题,在此基础上又研发了一种搬运式超前支架(图4),即通过专用的搬运车直接将最后一架超前支架搬运到超前支架组的前方。但是该方法存在2个问题:①对巷道条件要求较高,由于采用专用搬运车进行搬移,为了便于搬运车移动,要求巷道断面较大且巷道变形量较小;②需添置专用的支架搬运车,增加了生产和维护成本。

图4 搬运车示意

Fig.4 Traveling advanced support

为了解决上述问题,有些矿区选择采用单轨吊来搬运支架[10],其布置方式如图5所示。实际使用中发现单轨吊搬运也存在一些问题。①需要增加1个工种来拆装单轨吊,即定期将巷道后方单轨吊拆除,同时搬运到巷道前方安装固定;②支架侧向移动难度大,由于单轨吊只能沿轨道直线前移,需要采用单体支柱或特殊的工装将巷道支架搬移到单轨吊下方进行吊装;③对巷道变形量有一定要求,巷道顶板下沉量较大时,支架搬运过程中容易接触巷道底板,增加了搬移难度。

1、3—超前支架;2—单轨吊

图5 单轨吊车

Fig.5 Diagram of monorail crane

除此之外,上述3种方法都需要人工进行操作,无法实现自动搬移。不难发现,要实现超前支架变位前移,关键在于研发高效的行走机构,要求超前支架必须具有侧向平移功能,只有这样才能实现超前支架的快速移动。

3 全方位行走支架结构特点

研究表明,要实现超前支架侧向平移、前进、后退和旋转等行走功能,最好的方法是采用螺旋推进器行走部,其外形结构如图6所示。在超前支架两侧布置螺旋参数完全相同但旋向相反的螺旋推进器,当左右两侧螺旋推进器(行走部)转速相同但旋向相反时,超前支架前后移动;当左右两侧螺旋推进器转速相同且旋向相同时,超前支架侧向平移;当左右两侧螺旋推进器有一个转动另一个不动时,超前支架旋转。以左侧螺旋推进器为左旋、右侧螺旋推进器为右旋为例,当左侧螺旋推进器向左旋转,右侧螺旋推进器向右旋转时,超前支架向上移动(x轴的负轴方向);当左侧螺旋推进器向右旋转,右侧螺旋推进器向左旋转时,超前支架向下移动(x轴方向);当左侧螺旋推进器向左旋转,右侧螺旋推进器也向左旋转时,超前支架向左侧平移(y轴方向);当左侧螺旋推进器向右旋转,右侧螺旋推进器也向右旋转时,超前支架向右侧平移(y轴的负轴方向);当左、右侧螺旋推进器中有一个旋动,另一个不动时,超前支架旋转。该结构最大特点是操作简单,只需改变左右两侧螺旋推进器的转向即可实现前进、后退、侧向平移和旋转的全方位移动功能[11-12]。全方位行走支架的动作组合见表1。

图6 螺旋推进器行走部

Fig.6 Walking part of screw propeller

表1 全方位行走支架的动作组合

Table 1 Action combinations of advanced support with omni-directional walking

左行走部右行走部动作向左旋转向右旋转前进向右旋转向左旋转后退向左旋转向左旋转左侧平移向右旋转向右旋转右侧平侧向左旋转不动旋转不动向右旋转旋转

注:左螺旋推进器设计为左旋;右螺旋推进器设计为右旋。

要实现螺旋推进器的转动,必须要采用动力驱动部件。采用液压马达作为驱动部的全方位行走部实物样机如图7所示。由图7可知,其采用2个液压马达进行驱动,每个液压马达驱动1个行走部,通过左右马达转速和转向的组合来实现全方位行走的目的。

图7 全方位行走部实物样机

Fig.7 Prototype of omnidirectional walking part

全方位行走支架的三维模型如图8所示。由图可知,该支架由行走部和单元式支架2个部分组成,行走部主要完成支架的行走功能,支架主要完成支护功能。支架上设有行走部升降机构,具体结构如图8中4个立式套筒所示。行走部通过举升千斤顶伸缩完成行走部的升降。支架支护时,举升千斤顶收缩,行走部升起离开底板,以保护行走部;支架行走时,举升千斤顶伸出,行走部落下接触底板,支架开始行走。

图8 支架三维模型

Fig.8 3D model of powered support

全方位行走式超前支架有3个特点:①具有侧向平移行走功能,该功能解决了现有超前支架无法进行侧向移动的困境,结合其前进、后退和旋转功能,能够很好地解决现有超前支架反复支撑破坏巷道顶板难题;②操作简单,只需改变左右螺旋推进器的转向和转速即可实现平移、前进、后退和旋转行走功能,易于实现自动操作与远程控制;③对底鼓或软岩底板适应能力强,特别是遇水膨胀的泥岩底板,该型支架能够正常行走,可以解决巷道底板条件较差工作面超前支架支护难题。

4 全方位行走支架受力分析

4.1 行走器主要参数

全方位行走支架主要通过螺旋推进器行走,螺旋行走器的主要技术参数有螺旋升角α、螺旋导程L、螺旋螺距h、螺旋头数n、螺旋叶片大径d2、螺旋叶片小径d1、螺旋叶片中径d和旋向等。其中,相邻两螺旋槽之间的距离为螺距,沿螺旋槽旋转1周前进的距离为导程。对多头螺旋来说,螺旋导程L

L=nh

(1)

螺旋升角α[13]

tan α=L/(πd)

(2)

由式(1)和式(2)可知,螺旋螺距h和螺旋升角α存在下述关系[14]

tan α=nh/(πd)

(3)

4.2 行走部受力分析

全方位行走支架在巷道中行走需要满足2个条件:一是环向作用条件,二是轴向作用条件[15],前者通过液压马达产生的转矩来驱动,后者是由螺旋叶片内的矸石以及叶片边缘与巷道底板之间所产生的摩擦力共同作用的结果。螺旋推进器的受力条件可参考螺旋副的受力条件进行分析[16]。假定作用力集中在中径d(螺旋大径d2与小径d1的平均值),若螺旋头数为1,由式(2)可知,螺旋升角α=arctan L/(πd)。若螺旋推进器的环向作用力和轴向作用的合力分别为QP,摩擦力为Ff,摩擦角为φ(φ=arctan μμ为螺旋叶片与底板摩擦因数),由图9可知,P=Fsin(α+φ),Q=Fcos(α+φ),因而有:

tan(α+φ)=P/Q

(4)

图9 螺旋推进器受力示意

Fig.9 Force analysis of screw propeller

钢与岩石的摩擦因数为0.13~0.48(泥岩页岩、石英岩),摩擦角为7.4°~25.6°,易知螺旋推进器的螺旋升角应不小于25°。螺旋推进器的轴向力可用虚功原理进行确定,设螺旋推进器的力矩为M,轴向力为P,若螺旋推进器旋转角为δφ,螺旋推进器前进距离为δz,由虚功原理可知,得

δWF=-Pδz+Mδφ=0

(5)

多头螺旋推进器旋转1周,螺旋推进器前进距离为一个螺旋导程L,故有[17]

(6)

由式(5)和式(6)得

(7)

易知,相同条件下,多头螺旋推进器的轴向力要小于单头螺旋推进器。为了加工方便,实际使用中一般多采用双头螺旋。

5 全方位行走支架运动特性

5.1 螺旋推进器运动特性

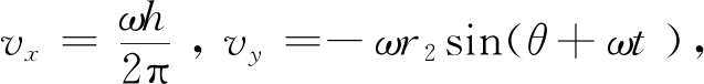
螺旋推进器有2个方向运动,一是绕螺旋推进器自身轴线等角速度旋转,二是沿自身轴线等速率运动。如图10所示,螺旋推进器角速度为ω,轴线方向为x轴,y轴和z轴位于C-C剖面,螺旋叶片大径为d2,螺距为h,由图10中C-C剖面可知,螺旋叶片上任意一点A(r2θ)的方程为(相对于xy平面转过一个角度θr2=d2/2):

图10 螺旋推进器坐标系

Fig.10 Coordinate system of screw propeller

(8)

若螺旋推进器的角速度为ωt时间后,由式(8)可知A点的运动方程为

(9)

A点求导,得A点的xz方向速度分别为[19]

vz=ωr2cos(θ+ωt)

(10)

螺旋推进器行走时会挤压底板,当底板破坏后,螺旋推进器会产生滑转。令滑动率为i,则x方向移动速度滑动率为[19]

(11)

由式(11)可知,当i=0,螺旋叶片上任意点的运动方向与其叶面平行,i=1,螺旋推进器x方向移动速度为零,螺旋叶片上任意点做圆周运动。

5.2 全方位行走支架运动特性

前面介绍了单个螺旋推进器的运行特性,如前所述,若将2个螺旋参数完全相同但旋向相反的螺旋推进器布置在超前支架的两侧,便可实现超前支架的全方位行走。若左右螺旋推进器角速度相等且滑动率i=0,当左右推进器角速度相等且旋向相反,如图11a所示,左右螺旋推进器y方向速度抵消,支架沿x方向运动(前进或后退);当左右推进器角速度相等且旋向也相同,如图11b所示,左右螺旋推进器x方向速度抵消,支架沿y方向运动(侧向平移);当左右推进器一个旋转另一个不旋转,如图11c所示,绕中心支架转动。不难发现,左右螺旋推进器运行速度的一致性是全方位行走支架运行平稳性的关键。

vxvy分别为螺旋推进器沿xy方向的运动速度

图11 超前支架行走方式示意

Fig.11 Moving mode of omnidirectional walking advanced powered support

6 具体算例

试验支架为ZX4000/20/38型全方位行走支架,工作阻力4 000 kN,最低结构高度2.0 m,最大结构高度3.8 m,采用2根ø250 mm缸径立柱,支护强度0.85 MPa。行走部主要参数如下:螺片中径400 mm,螺旋高度50 mm,,螺旋头数量为2个,螺距300 mm,由式(3)可知,导程L为600 mm,螺旋升角25.5°,大于25°,满足螺旋升角不低于25°要求。螺旋推进器实物照片如图13所示。地面测试结果表明:螺旋推进器转速为10 r/min,因而角速度ω=2πn=20π,将其代入式(10),得出在不考虑滑动率的条件下水平移动速度为3 m/min。

7 结论

针对现有超前支架顺序前移带来的反复支撑破坏巷道顶板难题,对全方位行走支架结构特点、力学特性、运动性能进行了研究。

1)全方位行走支架是通过左、右螺旋推进器的不同旋转组合,来获得前进、后退、侧向平移和旋转等移动功能,实现全方位行走。

2)螺旋推进器的螺旋升角应不小于25°,多头螺旋推进器的轴向力要小于单头螺旋推进器,实际使用中一般采用双头螺旋。

3)要实现全方位行走支架平稳运行,必须确保左右螺旋推进器运行速度相互一致。

4)后续有必要研制橡胶轮式螺旋推进器,以适应硬化底板或硬度较高的砂岩底板,减小对底板的破坏,扩大该型支架的使用范围。

参考文献( References) :

[1] 任怀伟,杜毅博,侯 刚.综采工作面液压支架-围岩自适应支护控制方法[J].煤炭科学技术, 2018, 46(1): 150-155,191.

REN Huaiwei, DU Yibo, HOU Gang. Self adaptive support control method of hydraulic support-surrounding rock in fully-mechanized coal mining face[J].Coal Science and Technology, 2018, 46(1): 150-155,191.

[2] 鲁德丰,马 力.循环式巷道超前支护支架在复杂条件综采面的应用[J].能源技术与管理,2016,41(3):66-68.

LU Defeng,MA Li.Application of circulating roadway powered support in complex fully-mechanized mining face[J].Energy Technology and Management,2016,41(3):66-68.

[3] 王根盛,宋淑光,曹连民,等. 垛式超前支架在大采高巷道支护中的应用研究[J]. 煤炭科学技术, 2017, 45(8):159-163,169.

WANG Gensheng, SONG Shuguang, CAO Lianmin,et al.Study on stack type advanced powered support applied toroof support of high cutting gateway[J]. Coal Science and Technology, 2017, 45(8):159-163,169.

[4] 李明忠,张德生,刘 壮,等.8.2m大采高综采工作面超前支护技术研究及应用[J].煤炭科学技术,2017,45 (11):32-36.

LI Mingzhong,ZHANG Desheng,LIU Zhuang,et al.Research and application of advance supporting technology for 8.2m large mining height fully-mechanized face[J].Coal Science and Technology,2017,45 (11):32-36.

[5] 王国法,牛艳奇.超前液压支架与围岩耦合支护系统及其适应性研究[J].煤炭科学技术,2016,44(9):19-25.

WANG Guo,NIU Yanqi.Study on advance hydraulic powered support and surrounding rock coupling support system and suitability[J].Coal Science and Technology,2016,44(9): 19-25.

[6] 马端志.新源煤矿回风巷强力超前液压支架的研究设计[J].矿山机械,2019,47(1):10-13.

MA Duanzhi.Research and design of powerful advanced hydraulic support in tailentry of Xinyuan colliery[J].Mining Machinery,2019,47(1):10-13.

[7] 栾丽君,赵慧萌,谢 苗,等.超前支架速度、压力稳定切换控制策略研究[J].机械强度,2017,39(4):747-753.

LUAN Lijun,ZHAO Huimeng,XIE Miao,et al.Study on switching control strategy for speed and pressure stability of advanced support[J].Mechanical Strength,2017,39(4):747-753.

[8] 谢 苗,刘治翔,鲁启通,等.超前支架迈步过程稳定控制方法研究[J].中国安全科学学报,2015,25(3): 54-59.

XIE Miao,LIU Zhixiang,LU Qitong,et al.Study on method for controlling stability of advanced support in step process[J].China Safety Science Journal,2015,25(3): 54-59.

[9] 蒲忠辉.新型无反复支撑超前去护及搬运成套设备的设计[J].煤矿机械,2019,40(2):14-16.

PU Zhonghui.Design mechanical strength of new type equipment for advanced removal and handling without repeated supporting[J].Coal Mine Machinery,2019,40(2):14-16.

[10] 刘新华.采煤工作面沿空巷道无反复支撑超前支护技术[J].煤炭工程,49(11):38-40.

LIU Xinhua.Advance support technology of gob side entry without support in coal mining face[J].Coal Engineering,49(11):38-40.

[11] 郭晓林,刘 杰,赵 炎,等.螺旋推进车研究现状概述[J].农业装备与车辆工程,2014,52(4):14-17.

GUO Xiaolin,LIU Jie,ZHAO Yan,et al.Summarization of research on screw-propelled vehicle[J].Agricultural Equipment & Vehicle Engineering,2014,52(4):14-17.

[12] 郭晓林,刘 杰,孙 伟,等.螺旋推进车转向运动学分析[J].农业装备与车辆工程,2014,52(10):20-24.

GUO Xiallin,LIU Jie,SUN Wei,et al.Analysis on Steering Kinematics of screw-driven Vehicle[J].Agricultural Equipment & Vehicle Engineering,2014,52(10):20-24.

[13] 钱鸣高,王庆康.采煤工艺学[M].徐州:中国矿业大学出版社,1992:79-80.

[14] 郭晓林,刘 杰,孙 伟,等.螺旋推进器在湿软地面推进力的仿真分析[J].装甲兵工程学院学报,2014,28(3):47-50.

GUO Xiaolin,LIU Jie,SUN Wei,et al.Simulation analysis of propulsion of screw propeller on wet and soft ground[J].Journal of Academy of Armored Force Engineering,2014,28(3):47-50.

[15] 朱宁宁.螺旋驱动掘进机螺旋参数的研究[D].北京:北京工业大学,2013:21.

[16] 孙 恒,傅则绍.机械原理[M].北京:高等教育出版社,1991:135-138.

[17] 哈尔滨工业大学理论力学教研室.理论力学(下册)[M].北京:高等教育出版社,1991:244-245.

[18] 赵玉凡,陈 军,万 剑,等.一种特殊行走机构:一种螺旋推进器的研究[C]//中国农业机械学会成立40周年庆典暨2003年学术年会论文集,北京,2003:1049-1056.

[19] DUGOFF H,EHLICH I R.Model tests of bouyant screw rotor configurations[J].Journal of Terramechanics,1967,4(3):9-22.

Study on advanced powered support with omni-directional walking function

XU Yajun1,2,ZHANG Desheng1,2,LI Dingyi1,2

(1.Coal Mining Technology Department, Tiandi Science and Technology Co., Ltd., Beijing 100013,China;2.Mining Design Institute,China Coal Research InstituteBeijing 100013,China)

Abstract:In order to solve problem of repeated support and damage to roof of roadway and bolt-mesh support system during the moving process of the existing advanced hydraulic support, omni-directional walking advanced powered support (OWAPS) based on auger was developed, and the shifting was carried out by means of transposition and forward movement. The problem of repeated support caused by the sequential advancement of the existing advanced hydraulic support was avoided. This report described the moving pattern and the structural characteristics of OWAPS and analyzed its mechanical characteristics. Meanwhile, the kinematics equation was concluded and a specific example was given, providing the theoretical basis for determining the walking parameters of the OWAPS. The results show that the OWAPS is easy to operate and can realize the moving functions such as forward, backward, lateral and rotating only by changing the rotation mode of left and right screw propellers. OWAPS meets requirements of easy operation and high reliability. It can solve problem of destroying the roadway roof and anchor net support system caused by the sequential advancement of the existing advanced hydraulic support.

Key words:powered support; forward supporting; repeated supporting; advance roadway;screw propeller

中图分类号:TD353

文献标志码:A

文章编号:0253-2336(2019)10-0161-06

移动扫码阅读

徐亚军,张德生,李丁一.全方位行走式超前液压支架研究[J].煤炭科学技术,2019,47(10):161-166.doi:10.13199/j.cnki.cst.2019.10.021

XU Yajun,ZHANG Desheng,LI Dingyi.Study on advanced powered support with omni-directional walking function[J].Coal Science and Technology,2019,47(10):161-166.doi:10.13199/j.cnki.cst.2019.10.021

收稿日期:2019-03-02

责任编辑:赵 瑞

基金项目:国家重点研发计划资助项目(2017YFC0804305);天地科技创新创资金专项资助项目(2018-TD-MS020,2018-TD-QN026)

作者简介:徐亚军(1971—),男,安徽枞阳人,研究员,博士。Tel:010-84262987,E-mail:bjxuyz@126.com