文志杰1,2,3,景所林1,宋振骐1,蒋宇静1,汤建泉1,赵仁乐3,肖庆华3,张同俊4,王洪涛5,赵洪宝6,孙国权7,张桐桐1,孔 超8
(1.山东科技大学 矿山灾害预防控制省部共建国家重点实验室培育基地,山东 青岛 266590;2.山东大学 岩土与结构工程研究中心,山东 济南 250061;3.临沂矿业集团有限责任公司,山东 临沂 276017;4.淄博矿业集团有限责任公司 亭南煤矿,陕西 长武 713600;5.淄博矿业集团有限责任公司 邵寨煤矿,甘肃 灵台 744400;6.中国矿业大学(北京) 资源与安全工程学院,北京 100083;7.中钢集团马鞍山矿山研究院有限公司,安徽 马鞍山 243000;8.山东爱拓软件开发有限公司,山东 泰安 271000)
摘 要:基于社会对煤炭行业安全生产的重视,煤矿灾害事故控制研究显得愈发重要,尤其现阶段煤矿灾害事故多发,安全形势愈发严峻。为了有效控制预防煤矿动力灾害事故,提出了采场空间结构模型;探讨了采场空间结构模型中应力分布和结构发育的力学特征,以及采动时上覆岩层的运动变化规律和矿压显现特征;以采场空间结构模型和采动应力孕育力学特征为基础,提出了采场顶板、巷道顶板控制、冲击地压、顶板水害,以及地表沉陷等煤矿灾害事故致灾条件及其控制措施,构建了相关采场灾害控制结构力学模型。建立的采场空间模型解释了“裂断拱”和“应力拱”结构演化规律以及采动应力与覆岩空间结构演化的相关性;指出了导水裂隙带高度与“裂断拱”高度范围基本一致,是顶板水害治理依据;建立了基于"应力拱"拱外岩梁下沉预测地表沉陷的方法;提出了对直接顶采取“给定载荷”控制方式,对基本顶采取“给定变形”和“限定变形”控制方式的支护方案;预测了冲击地压可能发生位置并提出了控制措施;提出了透水判据和不发生透水事故的合理工作面长度和开切眼位置的计算方法;建立了以开采工作面长度和覆岩裂断步距相关性为核心的采动沉陷模型,从力学的角度解释并计算分析了地表沉陷范围。实践证明,正确建立决策模型是实现煤矿灾害事故控制的基础,模型的建设有效实现了煤矿灾害事故控制从定性到定量的发展,可为煤矿灾害事故的有效预测和科学控制提供指导。
关键词:采场空间结构;动力灾害;决策模型;应力场
中图分类号:TD325
文献标志码:A
文章编号:0253-2336(2019)01-0052-10
文志杰,景所林,宋振骐,等.采场空间结构模型及相关动力灾害控制研究[J].煤炭科学技术,2019,47(1):52-61.
doi:10.13199/j.cnki.cst.2019.01.007
WEN Zhijie,JING Suolin,SONG Zhenqi,et al.Study on coal face spatial structure model and control related dynamic disasters[J].Coal Science and Technology,2019,47(1):52-61.
doi:10.13199/j.cnki.cst.2019.01.007
收稿日期:2018-09-01;
责任编辑:杨正凯
基金项目:国家重点研发计划资助项目(2016YFC0600708);青岛市源头创新计划资助项目(18-2-2-68-jch);山东省高校科研计划(科技类)重点资助项目(J18K2010);山东省自然科学基金资助项目(ZR2018MEE001);国家重点实验室开放基金资助项目(SHGF-18-13-30,JYBSYS2018206)
作者简介:文志杰(1982—),男,山东平度人,副教授,博士生导师。E-mail:sdust0532@gmail.com
通讯作者:宋振骐(1935—),男,湖北汉阳人,中国科学院院士,博士生导师。
WEN Zhijie1,2,3,JING Suolin1,SONG Zhenqi1,JIANG Yujing1,TANG Jianquan1,ZHAO Renle3, XIAO Qinghua3,ZHANG Tongjun4,WANG Hongtao5,ZHAO Hongbao6, SUN Guoquan7,ZHANG Tongtong1,KONG Chao8
(1.State Key Laboratory of Mining Disaster Prevention and Control Co-founded by Shandong Province and Ministry of Science and Technology, ShandongUniversity of Science and Technology, Qingdao 266590, China;2.Geotechnical and Structural Engineering Research Center, Shandong University,Jinan 250061, China;3.Linyi Mining Group Co., Ltd.,Linyi 276017, China;4. Tingnan Coal Mine,Zibo Mining Group Co.,Ltd,Changwu 713600, China; 5 Shaozhai Coal Mine, Zibo Mining Group Co.,Ltd, Lingtai 744400, China;6.Faculty of Resources and Safety Engineering, China University of Mining and Technology, Beijing 100083, China;7.Sinosteel Ma’anshan Iinstitute of Mining Research Co., Ltd, Ma’anshan 243000, China;8.Shandong aitopo software development Co., Ltd., Tai’an 271000, China)
Abstract:Based on the attention paid by the society to the safety of coal industry, the research on control of mining accident becomes more and more important, especially recently, the disaster accident occurs frequently, the safety form is more and more severe. Aiming at controlling dynamic disaster accidents in coal mine, a spatial structure model was modeled. The evolution of stress distribution and structure development in the spatial structure model, as well as the movement of overlying strata and the characteristics of strata behaviors during mining were revealed. Based on the spatial structure model and the mining-induced mechanical characteristics, the causing conditions of dynamic disaster accidents in coal mine, such as roof control, roadway roof control, rock burst, roof water inrush and surface subsidence, and related measures were analyzed, and the quantitative control-decision model of related dynamic disaster accidents was established.In the model, the evolution of “broken arch” and “stress arch” and the correlation between mining-induced stress and overlying strata movement were introduced. The height of the water flowing fractured zone is consistent with that of the “fractured arch”, which is the basis of roof water inrush control, and the method of surface subsidence prediction based on the strata stress model of out-arch was established. The support project of “given load” mode for the direct roof and "given deformation" and "limited deformation" mode for the basic roof were proposed. The possible location of rock burst and the measures were put forward. The criterion of water inrush and the calculation method of the reasonable length of working face and the position of presplitting blasting were presented. A mining-induced subsidence model based on the correlation between working face length and overlying strata fracture length was established, and the range of subsidence was calculated by mechanics.The results showed that the correct establishment of control-decision model was the basis of controlling disaster accident in coal mine. The construction of model realized the development on the control of dynamic disaster accidents in coal mine from qualitative to quantitative and provided a guidance for effective forecast and control of dynamic disaster accidents in coal mine.
Key words:coal face spatial structure;dynamic disaster;decision model;stress field
采动引起上覆岩层大范围移动和应力重新分布,特别是采场周围煤岩体的破坏变化。长期以来,采场周围煤岩体的破坏和应力演化规律一直是采矿学科的重点研究内容[1]。煤层开采引起采场覆岩破断移动,并伴随着周围煤岩体应力发展变化,进一步诱发采场动力灾害事故。在煤炭开采过程中,顶板、冲击地压、透水等重大灾害事故没有从根本上得到有效控制,严重影响煤矿生产高效安全[2]。
近年来,国内外学者针对采场覆岩空间结构和采动应力演化规律开展了广泛研究,并取得了一定的成果。现有的覆岩结构研究假说主要分为“拱”、“梁”、“板”三类。宋振骐院士[3-5]提出了传递岩梁的概念,创立了“实用矿山压力控制理论”;钱鸣高院士[6-7]提出了“砌体梁”结构模型,以及“关键层理论”,为我国矿山压力与岩层控制的研究奠定了基础;苏联学者库兹涅佐夫提出了铰接岩梁假说;王崇革等[8]论述了采场上覆岩层的运动规律和裂隙拱的形成和发展变化过程;姜福兴等[9-10]根据基本顶的坚硬程度分别提出了类拱、拱梁、梁结构,并将采场覆岩空间结构分为“θ” 型、“O” 型、“S” 型和“C”型4类;文志杰等[11]针对大采高工作面建立了大采高采场结构力学模型;黄庆享等[12]针对浅部煤层建立了厚砂土层“拱梁”结构模型;左建平等[13-14]提出了充分采动下覆岩破坏呈现“类双曲线”型;文献[15-16]提出了近远场的概念,并建立了覆岩“O-X”型破断结构模型;谢广祥等[17-18]认为综放工作面围岩中存在宏观应力壳结构。国内外学者在上覆岩层结构和控制理论上做出了巨大贡献,为煤矿灾害事故控制提供了理论基础和技术支撑,使得煤矿灾害事故在一定程度上得到了有效控制;同时,依然存在现有煤矿灾害事故的控制以传统的“统计经验决策条例管理模式”为主,灾害事故发生力学机理不明确,还没有突破在正确的事故控制理论指导下实现对煤矿灾害事故的有效控制。
鉴于此,笔者详细介绍了“实用矿山压力控制理论”相关学术进展,提出了采场空间结构模型和采动应力孕育力学特征,以此为基础构建了相关采场灾害控制结构力学模型,并对煤矿采场重大灾害事故致灾和控制机理进行了分析,以期为采场重大灾害事故预防控制研究提供参考。
为了有效控制煤矿灾害事故,国内外学者先后提出了诸多经典采场覆岩空间结构假说模型,并各自解释了一定的现象,但构建模型主要以静态模型为主。姜福兴[10]指出覆岩空间结构的概念中有2个含义:一是指采场周围岩体破裂边缘的形状特征;二是指破裂区内部岩层形成的运动结构;谢广祥等[19-20]研究发现巷道开挖后围岩中存在高应力组成的应力壳结构,并进一步研究了不同岩性条件下采场围岩应力壳的力学特征。在已有学者研究基础上,文章构建了描述采场覆岩空间结构孕育的动态空间结构模型(图1)。该采场覆岩空间结构模型是指描述不同开采深度和岩层结构等既定条件的煤层,在不同采动条件(包括采高、工作面长度及开采程序等)下覆岩运动破坏和采动应力大小、分布及其随采场推进发展规律的模型[21]。从应力场分布和结构发育的角度分析采场空间结构模型的组成,在垂直于工作面推进方向上:① 纵向上形成“应力拱”和“裂断拱”;② 横向上形成“内、外应力场”和传递岩梁。

S1—内应力场;S2—内应力场
图1 采场空间结构模型
Fig.1 Coal face spatial structure model
煤层上方岩层结构可分为覆岩空间结构和覆岩空间结构外两部分,覆岩空间结构外部分是指“裂断拱”外未产生明显运动的岩层,覆岩空间结构是由对采场矿压有直接影响的“裂断拱”内运动岩层结构组成的。
随着工作面推进,采场悬露空间不断加大,上覆岩层连续裂断,裂断位置由下而上依次内错,形成“裂断拱”;同时,空间结构围岩中应力重新分布,原来由工作面采动煤体承担的上覆岩层载荷加载到两侧煤(岩)体上,此时两侧一定范围内的煤(岩)体承受的载荷来源于两部分:①“裂断拱”外上覆岩层自重在煤(岩)体内产生的应力;②采场“裂断拱”内裂断岩梁传递给煤(岩)体上的应力。若煤(岩)体所承受的总应力超过其强度,则发生破坏,采动应力高峰向外侧转移。每一层岩梁裂断皆伴随这一过程,形成由“裂断拱”外各岩层采动应力高峰组成的“应力拱”,其范围在开采走向和倾向上的垂直平面内以抛物线形状不断向上扩展(图2)。
“裂断拱”是采场覆岩发生明显下沉或破坏的区域边界形状,拱外围岩承载能力增强,形成拱形承载结构;“应力拱”是指采场覆岩中拱形载荷传递路径,是围岩内应力集中,传递路线发生偏移而形成的一种拱形应力分布区[22]。

图2 采场“双拱结构”模型示意
Fig.2 The “Two-arch” structure model of coal face
1.1.1 “裂断拱”结构演化规律
“裂断拱”内岩层对采场矿压显现起主导作用,研究“裂断拱”结构演化有助于分析采场结构稳定。
工作面开采过程分两个阶段:①非充分采动阶段,即工作面推进距离小于工作面宽度;②充分采动阶段,即工作面推进距离大于工作面宽度。
开采条件一定时,“裂断拱”高度主要是由工作面宽度决定的。当工作面推进距离小于工作面宽度时,“裂断拱”发育高度与工作面推进长度有关,“裂断拱”高度随工作面推进总体上呈线性发展,裂隙向上发展高度约为采空区短边跨度的1/2。当工作面推进距离达到工作面宽度后,“裂断拱”发育高度约为工作面宽度的1/2,即在采空区区域“见方”之前,“裂断拱”发育高度随工作面推进而增大,当采空区区域“见方”后,“裂断拱”发育高度达到最大。
“裂断拱”在采场推进过程中,推进方向不断向前发展,垂向上发展到极限高度后基本保持稳定。
1.1.2 “应力拱”结构演化规律
“应力拱”内岩层承担并传递上覆岩层载荷,是最主要的承载体,“裂断拱”结构位于“应力拱”内卸压区。
假设采场覆岩结构共有岩层k层,第n+1层为支托层,“裂断拱”内第i层岩梁裂断后,原作用在其上的载荷传递到“裂断拱”外侧。如图3所示,“裂断拱”外第i层岩梁单位长度上承担的载荷为
qi=q1(k-i)+q2(k-i)=γHiLi+γHi=γHi(1+Li)
(1)
式中:q1(k-i)、q2(k-i)分别为“裂断拱”内、外第i层岩梁承受载荷,MPa;Hi为第i层岩梁埋深,m;Li为第i层岩梁裂断长度,m;γ为岩层容重,N/m3。

图3 拱外岩梁应力计算模型
Fig.3 The strata stress model of out-arch
上覆岩层在垂直方向分为4个区,即垮落区、裂断区、基岩裂隙区、弯曲下沉区。垮落区岩层破坏形式以破碎为主,裂断区岩层破坏形式以裂断为主,两区破坏形式与“裂断拱”对应岩层破坏形式一致,且“裂断拱”范围与垮落区和裂断区两区高度范围基本一致;裂断区岩层由一系列同时运动(或近乎同时运动)且在推进方向上始终能保持传递力联系的“传递岩梁”组成,基岩裂隙区和弯曲下沉区由“裂断拱”两侧和顶部处于沉陷运动状态的全部岩层组成,“应力拱”由各岩层采动应力高峰区域组成,可将“应力拱”作为基岩裂隙区和弯曲下沉区的分界线;导水裂隙带高度与“裂断拱”高度范围基本一致,是顶板水害治理依据;“应力拱”拱外岩梁下沉计算是地表沉陷预测依据。
“实用矿山压力控制理论”将采场推进过程中分布在采动空间四周煤壁上的压力定义为“采动应力”[5]。“实用矿山压力控制理论”从安全高效生产和相关事故灾害控制的实际需要出发,将采场推进过程中分布在四周煤壁上的采动应力分为2个部分:煤壁已经在压力作用下发生塑性破坏,其受力由相应采动条件下形成的“裂断拱”内裂断岩梁决定的“内应力场”和“裂断拱”内、外参与运动的岩层决定的“外应力场”。
随采动影响,推进方向上采动应力与采场结构演化过程如图4所示。在推进长度小于工作面长度时,“裂断拱”高度随工作面推进总体上呈线性发展,在推进方向上不断向前发展,在空间上不断向上发展,空间结构高度约为采空区短边跨度的1/2。工作面宽度一定时,采场向前推进过程中,当推进长度与工作面等长时,“裂断拱”逐渐发育最大并趋于稳定阶段,“裂断拱”高度不再发生变化。图5为采场四周采动应力分布发展变化规律,采动初期,工作面煤壁出现应力集中,随着工作面推进,煤壁发生塑性变形破坏,应力高峰向煤壁前方转移,“内、外应力场”明显出现,当推进长度与工作面宽度等长时应力分布趋于稳定。此后,岩梁以传递岩梁的方式向前方煤壁传递采动应力,应力场分布形态基本不变。

L1、L2、L3—不同推进长度;L0—工作面宽度
图4 推进方向上采动应力与采场结构演化过程
Fig.4 The evolution process of mining-induced stress and stope structure in advancing direction

图5 采场四周采动应力分布发展变化规律
Fig.5 The evolution law of mining-induced stress distribution
针对具体采动条件科学正确的建立结构模型并确定相关结构参数是实现工作面推进过程中灾害事故控制的基础。“实用矿山压力控制理论”指出,无论是“矿山压力”还是“矿山压力显现”都是在不断发展变化的,这种变化是有规律可循的,并且是由岩层运动决定的。
顶板事故、冲击地压、顶板透水、地表沉陷等煤矿重大灾害事故均与采场推进过程中参与运动的岩层范围及其采动应力分布状态直接相关。
因此,掌握以岩层运动为中心的实用矿山压力控制理论,研究不同采动条件下推进的采掘工作面岩层运动范围和采动应力分布发展变化规律,有助于相关灾害事故控制定量决策模型的建设。
采场“支架-围岩”关系,包括支架对直接顶的控制方式和对基本顶的控制方式两部分。其中对直接顶采取“给定载荷”控制方式,对基本顶采取“给定变形”和“限定变形”控制方式。
2.1.1 直接顶控制设计
直接顶稳定时的位置状态由支架支撑情况确定。支架阻抗能力及其力学特性必须保证对直接顶裂断时来压的绝对控制,即当直接顶在煤壁附近切断时,支架必须完全承担其全部作用力,支架必须保证在直接顶裂断来压所“给定载荷”下安全工作。结构模型如图6所示。满足此要求的支架阻抗力计算公式为
PA=MZγZfZ
(2)
(3)
式中:PA为直接顶来压时的支架阻抗力,Pa;MZ、γZ分别为直接顶厚度及平均容重,N/m3;fZ为考虑支架合力作用点位置和采空区悬顶的力矩系数;l为支架合力作用点距煤壁距离,m;lK为控顶距,m;lS为悬顶距,m。

ME—基本顶厚度
图6 直接顶“给定载荷”结构力学模型
Fig.6 “Given load” structural mechanics model of immediate roof
2.1.2 基本顶控制设计
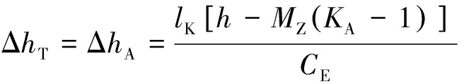
基本顶岩梁来压时,支架可以在岩梁裂断处沉降触矸时的“给定变形”条件下工作,也可以在阻止岩梁沉降至裂断处触矸的“限定变形”条件下工作。
1)“给定变形”工作状态。基本顶裂断处触矸且稳定时的位置状态由岩梁强度及两端的支撑情况决定,在基本顶岩梁由端部裂断到沉降至最终位态的运动过程中,支架只能在一定范围内降低岩梁运动速度,但不决定岩梁的最终位态。顶板下沉量ΔhT由岩梁自由沉降至裂断处触矸的位置状态所“给定”。
(4)
式中:ΔhT为顶板下沉量,m;ΔhA为采场支架在“给定变形”条件下的采场顶板下沉量,m;h为采高,m;CE为基本顶岩梁裂断来压步距,m;KA为岩梁触矸处冒落岩石的碎胀系数。
2)“限定变形”工作状态。基本顶岩梁裂断处未触矸且运动稳定时的位置状态由支架的阻抗力所限定(图7)。此时,顶板下沉量ΔhT应小于采场支架在“给定变形”条件下的采场顶板下沉量ΔhA。
ΔhT<ΔhA
(5)
建立支架阻力与取得平衡的基本顶位态之间的力学关系方程,即在基本顶下沉量为ΔhT时所受顶板压力,包括基本顶岩梁作用力和直接顶岩梁作用力两部分。
(6)
(7)
式中:PT为顶板下沉量为ΔhT时的支架阻抗力,Pa;K为位态常数;γE为平均容重,N/m3;KT为岩重分配系数。

图7 基本顶“限定变形”结构力学模型
Fig.7 “limited deformation” structural model of main roof
“给定变形”定缩量,即缩量能够完全满足基本顶裂断处触矸时的采场顶板最大下沉量;“限定变形”定载荷,即支架阻抗力应把基本顶下位岩梁来压时的岩梁下沉值控制到足以排除基本顶上位岩梁来压时出现冲击地压的可能性。
2.1.3 “支架-顶板”控制设计实践
某矿8204工作面煤层平均厚度5.6 m,采用大采高综采工艺开采,采高5.5 m。直接顶为厚11.2 m的细砂岩和砂质泥岩,基本顶为厚10.2 m的中粗砂岩,上覆岩梁比较坚硬。工作面基本顶初次来压步距64.69 m,周期来压步距41 m,工作面采用ZZ13000/28/60型支撑掩护式液压支架,支架控顶距5.889 m,额定工作阻力为1 3000 kN,最大缩量为3.2 m。
工作面推进50 m时发生初次来压,因支架阻力不够,工作面中部顶板岩层沿煤壁切落,且架前冒矸严重,部分支架损坏、立柱胀裂,需要重新对支架进行选型。
1)基本顶初次来压期间。支架支护阻力为RT1≥PT1Sz=[M1γ1+MZγZ+MEγECE1/(2lK)]Sz=16 974 kN>13 000 kN。
2)基本顶周期来压时。支架支护阻力为RT2=PT2Sz=[M1γ1+MZγZ+MEγECE0/(2lK)]Sz=11 973 kN<13 000 kN。
支架缩量为ε=ΔhA=lK[h-MZ(KA-1)]/CE=0.76<3.2。
其中:RT1为基本顶初次来压时的支架阻抗力,Pa;PT1为基本顶初次来压时的单位面积上支架阻抗力,Pa;SZ为基本顶初次来压时的支架支护面积,m2;M1、γ1分别为煤层厚度及平均容重,N/m3;CE1为基本顶初次来压步距,m。RT2为基本顶周期来压时的支架阻抗力,Pa;PT2为基本顶周期来压时的单位面积上支架阻抗力,Pa;CE0为基本顶周期来压步距,m。分析可知,支架支护强度在基本顶初次来压阶段过大,初步选用的支架支护阻力不满足生产要求。因此建议增大液压支架工作阻力,最终选用ZZ18 000/25.5/50型四柱支撑掩护式支架,现场应用效果良好。
以岩层运动为中心的“实用矿山压力控制理论”指出:在任何采深条件下,明显影响矿压及显现的上覆岩层范围是有限的、可知的、可变的,可控的[2,5];同时,修正了通过留设工作面煤柱和断层煤柱来控制相关灾害事故的传统认识,实现了无煤柱开采理论和技术的重大突破。
图8和图9分别为有煤柱和无煤柱开采时岩层运动和应力分布示意。

图8 有煤柱开采时岩层运动和应力分布
Fig.8 Strata movement and stress distribution with pillar mining
留煤柱开采时,巷道围岩应力的主要来源是“裂断拱”内裂断岩梁传递的应力和上覆岩层的重力,即覆岩“大、小结构”内产生的力,巷道布置于“内应力场”范围内煤体中;无煤柱开采时,巷道围岩应力的主要来源是上覆岩层的重力,无煤柱开采技术切断了围岩应力传递路径,原有“内、外应力场”向煤壁深处转移。实践证明,采场推进超过工作面宽度时,受采动影响参与运动和受到破坏的覆岩范围以及重新分布的应力场的范围是有限的,可控的。由于岩石的碎胀作用,切落的直接顶破碎后可以有效地支撑上覆岩层重力,使基本顶之上的岩层不发生裂断。因此,采用切顶留巷的方式对巷道顶板进行支护处理,是一种技术上的革新和发展。

图9 无煤柱开采时岩层运动和应力分布
Fig.9 Strata movement and stress distribution with non-pillar mining
冲击地压是采动空间周边煤岩体在矿山压力作用下以煤岩突出为特征的矿山压力显示现象[23],对煤矿安全生产造成巨大隐患,有必要深入研究冲击地压事故发生原因,实现灾害有效控制。

图10 推进阶段冲击地压发生规律
Fig.10 The rockburst occurrence law in advancing stage
图10为正常推进阶段冲击地压发生的规律,上覆岩层裂断部位位于“裂断拱”和“应力拱”之间,采动引起采场上覆岩梁内错裂断。冲击地压发生分为2种情况:①岩梁开始显著运动前,煤壁采动应力将达到高峰,“冲击段”为应力高峰形成到内应力场形成之间的阶段。进入正常推进的平稳阶段后,有足够宽度的内应力场缓冲,工作面很难出现冲击地压;②悬露坚硬顶板破断也可能会诱发冲击。
从采场空间结构模型分析,“裂断拱”内裂断岩层对矿压显现有着主导作用,“应力拱”内岩层承担并传递上覆岩层载荷,是主要的承载体。“裂断拱”为“应力拱”的卸压区,当“应力拱”内覆岩结构失衡时,便有发生冲击地压的危险[24]。
采动围岩中储存的高强度压缩弹性能,包括煤岩体中的压缩弹性能和采动空间覆岩弯曲弹性能,是冲击地压发生的主动力;开采深度愈大,覆岩强度愈高,受压煤层储存聚集的高强度压缩弹性能的可能性将愈大。从根本上解决应力集中,应提前将储存的弹性能释放掉,基于构建的力学模型,在“应力拱”高峰区域进行顶板预裂可有效释放弹性能。
实现含水层下煤层安全开采对于解放我国“三下”压煤具有重要意义。现有研究主要包括顶板透水机理、影响因素、预测预报等方面。武强等[25]提出了解决煤矿顶板涌(突)水条件定量评价的“三图-双预测法”;伍永平等[26]运用尖点突变理论对顶板透水原理进行了分析;靳德武等[27]介绍了顶板水害预测及监测预警方法,建立了基于“三探”、“三测”和“五原则”的防治水技术体系框架;张文泉等[28]利用层次分析法分析了影响顶板涌水量的因素。上述研究主要集中于预测方法建立,基于覆岩空间结构模型的顶板透水判据尚未提及。
工作面在推进过程中,“裂断拱”不断向上发育,当“裂断拱”波及到含水岩层,特别是原有构造破坏的富水区域,将会诱发透水事故。因此,研究不同采动条件下的透水判据对预测和控制透水事故有重要意义。
随采场推进,“裂断拱”与水量富集的含水层沟通包括进入含水岩层和直接接触(图11)两种情况:
在既定开采条件下,当含水层与煤层平行时,判断透水可能性的模型和相关判据如图12所示。推进长度和工作面等长时,上覆岩层破坏范围不再继续增加,“裂断拱”高度达到最大。如果该工作面长度条件下形成的“裂断拱”沟通上部含水层,顶板透水事故便不可避免。在此基础上建立透水可能性预测模型(图13),并在分析顶板透水可能性预测模型的基础上提出透水判据(表1)。

H′—含水层高度;B—含水层宽度;
L0—工作面长度;L—工作面推进长度
图11 “裂断拱”与含水层空间关系
Fig.11 Spatial relation between broken arch and aquifer

h′—裂断拱高度;
拱中心至开切眼距离;
LB—含水层至开切眼距离;Li—工作面推进距离
图12 顶板透水预测结构
Fig.12 Prediction structure of roof water inrush

LA—交汇点A至开切眼的距离
图13 顶板透水可能性预测模型
Fig.13 Prediction model of roof water inrush possibility
表1 顶板透水判据
Table 1 The criterion of roof water inrush possibility


图14 工作面合理长度计算模型
Fig.14 Calculation model of working face reasonable length
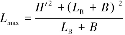
在透水模型和判据的基础上,可计算得出不发生透水事故的合理工作面长度和开切眼位置。图14中A点为裂断拱边缘线与含水层富水区地板曲线的交汇点。若含水层与煤层在推进方向上基本平行,中间所含岩层强度差异不大且赋存平稳。
含水层底板曲线方程为
y=ax+B=H′
(8)
裂断拱边缘曲线方程为
y2=h′2-(h′-x)2,y>0
(9)
当裂断拱波及含水层(h′≥H′)时,其交汇点A至开切眼的距离LA可以联立解得:
(10)
(11)
当含水层富水区宽度为B的情况下,开切眼距富水区边缘的最小距离LB,min为
LB,min=LA-B
(12)
同样,当已知开切眼距离含水层富水区位置的距离,则可以反求出不出现透水事故的最大允许工作面长度为
(13)
目前,我国开采沉陷计算广泛采用刘宝琛院士的概率积分法[29],概率积分法由随机介质理论发展而来,国内学者基于概率积分法对地表沉陷方面进行了深入研究,但概率积分法对岩层移动力学机理的解释存在不足,未反应采动力学过程;崔希民等[30]分析了开采沉陷的影响因素并指出开采沉陷预计参数存在预计误差。地下开采引起的地表沉陷是一个十分复杂的力学变化过程。由于开采沉陷过程中存在着诸多变化,实地测量数据存在偏差,参数误差的存在必然会影响地表沉陷计算精度,基于统计学概率积分法分析岩层和地表移动的方法要进一步修正[31]。
“实用矿山压力控制理论”区别于根据采高和开采煤层厚度确定“三带”高度和采用概率积分拟合确定地表沉陷范围的传统理论和方法,在研究煤矿采场空间结构模型的基础上,从力学的角度出发,正确的建立了以开采工作面长度和覆岩裂断步距相关性为核心的地表沉陷控制决策模型。通过不同开采条件下地表沉陷实测分析研究,抽象建立采动沉陷预测控制结构力学模型对地表沉陷范围进行计算分析(图15)。

图15 采动沉陷预测控制结构力学模型
Fig.15 Subsidence predictive control structural model
在既定工作面长度L0条件下的地表最大沉陷值ωmax为
(14)
式中:
为裂断拱两侧煤壁压缩量,m;δ0为裂断拱上部岩层最大挠曲沉陷值,m;ερ为表土含水层水位下降后压缩沉陷值,m。
上述公式近似计算可表示为
(15)
(16)
式中:QTS为沉陷岩层面积,m2;H为开采深度,m;θ为沉陷岩层边界移动角,(°);S为采场采动应力分布范围,m;γp为沉陷岩层平均容重,N/m3;GS煤层抗压刚度,Pa。
裂断拱上岩层挠曲沉陷值可用下式近似计算:
(17)
式中:E为岩层弹性模量,Pa;C0为岩梁初次来压步距,m。
既定采深H和工作面长度L0条件下的沉陷范围Sb为
Sb=(L0+2S+2Hcot θ)
(18)
1)采场空间结构模型是以应力分布和结构发育规律,以及采动时覆岩的运动破坏规律和矿压显现特征为核心的,是实现工作面推进过程中事故灾害控制的重要基础,特别是实现煤矿动力灾害的控制,主要包括裂断拱、应力拱和内、外应力场。
2)在采场空间结构模型基础上构建了灾害控制决策模型,从应力场分布和覆岩运动的角度认识了采场支护、冲击地压、顶板水害及地表沉陷等煤矿动力灾害事故,提出了煤矿相关动力灾害事故发生的机理,有助于实现煤矿事故控制从定性发展到定量和事故更加有效的控制。
3)以开采工作面长度和覆岩裂断步距相关性为核心的采动沉陷预测与控制模型,分析提出了覆岩基本顶裂断位置和裂断步距及其运动发展规律,从力学的角度解释并计算分析了地表沉陷范围。
参考文献:
[1] 谢和平,周宏伟,刘建锋,等.不同开采条件下采动力学行为研究[J].煤炭学报,2011,36(7):1067-1074. XIE Heping,ZHOU Hongwei,LIU Jianfeng,et al.Mining-induced mechanical behavior in coal seams under different mining layouts[J].Journal of China Coal Society,2011,36(7):1067-1074.
[2] 宋振骐.安全高效智能化开采技术现状与展望[J].煤炭与化工,2014,37(1):1-4. SONG Zhenqi.Intelligent safe and efficient mining technology present situation and prospect[J].Coal & Chemical Industry,2014,37(1):1-4.
[3] 宋振骐.实用矿山压力控制[M].中国矿业大学出版社,1988.
[4] 宋振骐,蒋金泉.煤矿岩层控制的研究重点与方向[J].岩石力学与工程学报,1996,15(2):128-134. SONG Zhenqi,JIANG Jinquan.The current research situation and developing orientation of strata control in coal mine[J].Chinese Journal of Rock Mechanics and Engineering,1996,15(2):128-134.
[5] 宋振骐,蒋宇静,刘建康.“实用矿山压力控制”的理论和模型[J].煤炭科技,2017(2):1-10. SONG Zhenqi,JIANG Yujing,LIU Jiankang.Theory and model of “practical method of mine pressure control”[J].Coal Science & Technology Magazine,2017(2):1-10.
[6] 钱鸣高,朱德仁,王作棠.基本顶岩层断裂型式及对工作面来压的影响[J].中国矿业学院学报,1986,15(2):9-18. QIAN Minggao,ZHU Deren,WANG Zuotang.The fracture types of main roof and their effects on roof pressure in coal face[J].Journal of China University of Mining & Technology,1986,15(2):9-18.
[7] 钱鸣高,缪协兴,何富连.采场“砌体梁”结构的关键块分析[J].煤炭学报,1994,19(6):557-563. QIAN Minggao,MIAO Xiexing,HE Fulian.Analysis of key block in the structure of voussoir beam in longwall mining[J].Journal of China Coal Society,1994,19(6):557-563.
[8] 王崇革,宋振骐,石永奎,等.近水平煤层开采上覆岩层运动与沉陷规律相关研究[J].岩土力学,2004,25(8):1343-1346. WANG Chongge,SONG Zhenqi,SHI Yongkui,et al.Study on the relation between stratum movement and subsidence of flat seam mining[J].Rock & Soil Mechanics,2004,25(8):1343-1346.
[9] 姜福兴,宋振骐,宋 扬.老顶的基本结构形式[J].岩石力学与工程学报,1993,12(4):366-379. JIANG Fuxing,SONG Zhenqi,SONG Yang.Basic structure forms of mine-roof[J].Chinese Journal of Rock Mechanics and Engineering,1993,12(4):366-379.
[10] 姜福兴.采场覆岩空间结构观点及其应用研究[J].采矿与安全工程学报,2006,23(1):44-47. JIANG Fuxing.Viewpoint of spatial structures of overlying strata and its application in coal mine[J].Journal of Mining & Safety Engineering,2006,23(1):44-47.
[11] 文志杰,汤建泉,王洪彪.大采高采场力学模型及支架工作状态研究[J].煤炭学报,2011,36(S1):42-46. WEN Zhijie,TANG Jianquan,WANG Hongbiao.Study on mechanical model and hydraulic support working state in mining stope with large mining height[J].Journal of China Coal Society,2011,36(S1):42-46.
[12] 黄庆享,张 沛,董爱菊.浅埋煤层地表厚砂土层"拱梁"结构模型研究[J].岩土力学,2009,30(9):2722-2726. HUANG Qingxiang,ZHANG Pei,DONG Aiju.Mathematical model of "arch beam" of thick sandy soil layer movement in shallow seam[J].Rock and Soil Mechanics,2009,30(9):2722-2726.
[13] 左建平,孙运江,钱鸣高.厚松散层覆岩移动机理及“类双曲线”模型[J].煤炭学报,2017,42(6):1372-1379. ZUO Jianping,SUN Yunjiang,QIAN Minggao.Movement mechanism and analogous hyperbola model of overlying strata with thick alluvium[J].Journal of China Coal Society,2017,42(6):1372-1379.
[14] 左建平,孙运江,王金涛,等.充分采动覆岩"类双曲线"破坏移动机理 及模拟分析[J].采矿与安全工程学报,2018,35(1):71-77. ZUO Jianping,SUN Yunjiang,WANG Jintao,et al.Mechanical and numerical analysis of “analogous hyperbola”movement of overlying strata after full mining extraction[J].Journal of Mining & Safety Engineering,2018,35(1):71-77.
[15] 于 斌,朱卫兵,高 瑞,等.特厚煤层综放开采大空间采场覆岩结构及作用机制[J].煤炭学报,2016,41(3):571-580. YU Bin,ZHU Weibing,GAO Rui,et al.Strata structure and its effect mechanism of large space stope for fully-mechanized sublevel caving mining of extremely thick coal seam[J].Journal of China Coal Society,2016,41(3):571-580.
[16] 朱卫兵,于 斌.大空间采场远场关键层破断形式及其对矿压显现的影响[J].煤炭科学技术,2018,46(1):99-104. ZHU Weibing,YU Bin.Breakage form and its effect on strata behavior of far field key stratum in large space stope[J].Coal Science and Technology,2018,46(1):99-104.
[17] 谢广祥.综放工作面及其围岩宏观应力壳力学特征[J].煤炭学报,2005,30(3):309-313. XIE Guangxiang.Mechanical characteristics of fully mechanized top-coal caving face and surrounding rock stress shell [J].Journal of China Coal Society,2005,30(3):309-313.
[18] XIE Guangxiang,CHANG Jucai,YANG Ke.Investigations into stress shell characteristics of surrounding rock in fully mechanized top-coal caving face[J].International Journal of Rock Mechanics and Mining Sciences,2009,46(1):172-181.
[19] 谢广祥,李传明,王 磊.巷道围岩应力壳力学特征与工程实践[J].煤炭学报,2016,41(12):2986-2992. XIE Guangxiang,LI Chuanming,WANG Lei.Mechanical characteristics and practical application on stress shell of roadway surrounding rock[J].Journal of China Coal Society,2016,41(12):2986-2992.
[20] 谢广祥.采场围岩应力壳力学特征的岩性效应[J].煤炭学报,2013,38(1):44-49. XIE Guangxiang.Lithologic effect on the mechanical characteristics of mining-induced stress shell[J].Journal of China Coal Society,2013,38(1):44-49.
[21] 宋振骐,崔增娣,夏洪春,等.无煤柱矸石充填绿色安全高效开采模式及其工程理论基础研究[J].煤炭学报,2010,35(5):705-710. SONG Zhenqi,CUI Zengdi,XIA Hongchun,et al.The fundemental theoretial and engineering research on the green safe no coal pillar mining model by mainly using coal gangue backfill[J].Journal of China Coal Society,2010,35(5):705-710.
[22] 冯军发,周 英,李回贵,等.试论近水平煤层采场的3种基本结构形式[J].煤炭学报,2016,41(10):2576-2587. FENG Junfa,ZHOU Ying,LI Huigui,et al.Three kinds of basic structures of working face in near horizontal coal seam[J].Journal of China Coal Society,2016,41(10):2576-2587.
[23] 宋振骐,汤建泉,刘建康.我国冲击地压研究现状及发展方向[J].煤炭与化工,2015,38(5):1-4. SONG Zhenqi,TANG Jianquan,LIU Jiankang.Study on impact ground research status and development direction[J].Coal & Chemical Industry,2015,38(5):1-4.
[24] 文志杰,蒋宇静,宋振骐,等.沿空留巷围岩结构灾变系统及控制力学模型研究[J].湖南科技大学学报:自然科学版,2011,26(3):12-16. WEN Zhijie,JIANG Yujing,SONG Zhenqi,et al.Study on mechanical model and surrounding rock catastrophe system of Gob-side retaining entry[J].Journal of Hunan University of Science & Technology,2011,26(3):12-16.
[25] 武 强,黄晓玲,董东林,等.评价煤层顶板涌(突)水条件的"三图-双预测法"[J].煤炭学报,2000,25(1):60-65. WU Qiang,HUANG Xiaoling,DONG Donglin,et al.“Three maps two predictions” method to evaluate water bursting coditions on roof coal[J].Journal of China Coal Society,2000,25(1):60-65.
[26] 伍永平,杨永刚,解盘石.尖点突变理论在顶板突水规律研究中的应用[J].煤炭科学技术,2007,35(3):41-44. WU Yongping,YONG Yonggang,XIE Panshi.Application of cusp catastrophe theory to research of mine water inrush law from roof[J].Coal Science and Technology,2007,35(3):41-44.
[27] 靳德武,刘英锋,刘再斌,等.煤矿重大突水灾害防治技术研究新进展[J].煤炭科学技术,2013,41(1):25-29. JIN Dewu,LIU Yingfeng,LIU Zaibin,et al.New progress of study on major water inrush disaster prevention and control technology in coal mine[J].Coal Science & Technology,2013,41(1):25-29.
[28] 张文泉,俞海玲.应用层次分析法确定矿井顶板涌水影响因素的权值[J].矿业安全与环保,2006,33(2):50-52. ZHANF Wenquan,YU Hailing.Analytic hierarchy process to determine weights of influence factors of mine roof water[J].Mining Safety & Environmental Protection,2006,33(2):50-52.
[29] 左建平,孙运江,文金浩,等.岩层移动理论与力学模型及其展望[J].煤炭科学技术,2018,46(1):1-11. ZUO Jianping,SUN Yunjiang,WEN Jinhao,et al.Theoretical and mechanical models of rock strata movement and their prospects[J].Coal Science and Technology,2018,46(1):1-11.
[30] 崔希民,邓喀中.煤矿开采沉陷预计理论与方法研究评述[J].煤炭科学技术,2017,45(1):160-169. CUI Ximin,DENG Kazhong.Research review of predicting theory and method for coal mining subsidence[J].Coal Science and Technology,2017,45(1):160-169.
[31] 宋振骐,卢国志,崔洪明,等.矿区开采地表沉陷的模型研究[J].西北煤炭,2005,3(1):7-10. SONG Zhenqi,LU Guozhi,CUI Hongming,et al.The research on model of sinking of the earth surface in minefield[J].Northwest Coal,2005,3(1):7-10.