全部
标题
作者
关键词
摘要
DOI
栏目
地址
基金
中图分类号
PACS
EEACC
高级检索
首页
关于期刊
期刊介绍
期刊主编
编辑团队
期刊荣誉
评价指标
数据库收录
获奖
期刊在线
网络首发
当期目录
过刊浏览
下载排行
阅读排行
引用排行
学术中心
精品专题
虚拟专题
专题征稿
学术讲座
学术会议
编委协办
编委会
协办单位
投稿须知
版权和许可信息
同行评审
开放获取声明
出版规范&伦理
投稿指南
下载中心
煤炭行业知识服务平台
联系我们
English
所有
标题
作者
关键词
摘要
DOI
栏目
地址
基金
中图分类号
首页
关于期刊
期刊介绍
期刊主编
编辑团队
期刊荣誉
评价指标
数据库收录
获奖
期刊在线
网络首发
当期目录
过刊浏览
下载排行
阅读排行
引用排行
学术中心
精品专题
虚拟专题
专题征稿
学术讲座
学术会议
编委协办
编委会
协办单位
投稿须知
版权和许可信息
同行评审
开放获取声明
出版规范&伦理
投稿指南
下载中心
煤炭行业知识服务平台
联系我们
English
下载:
全尺寸图片
幻灯片
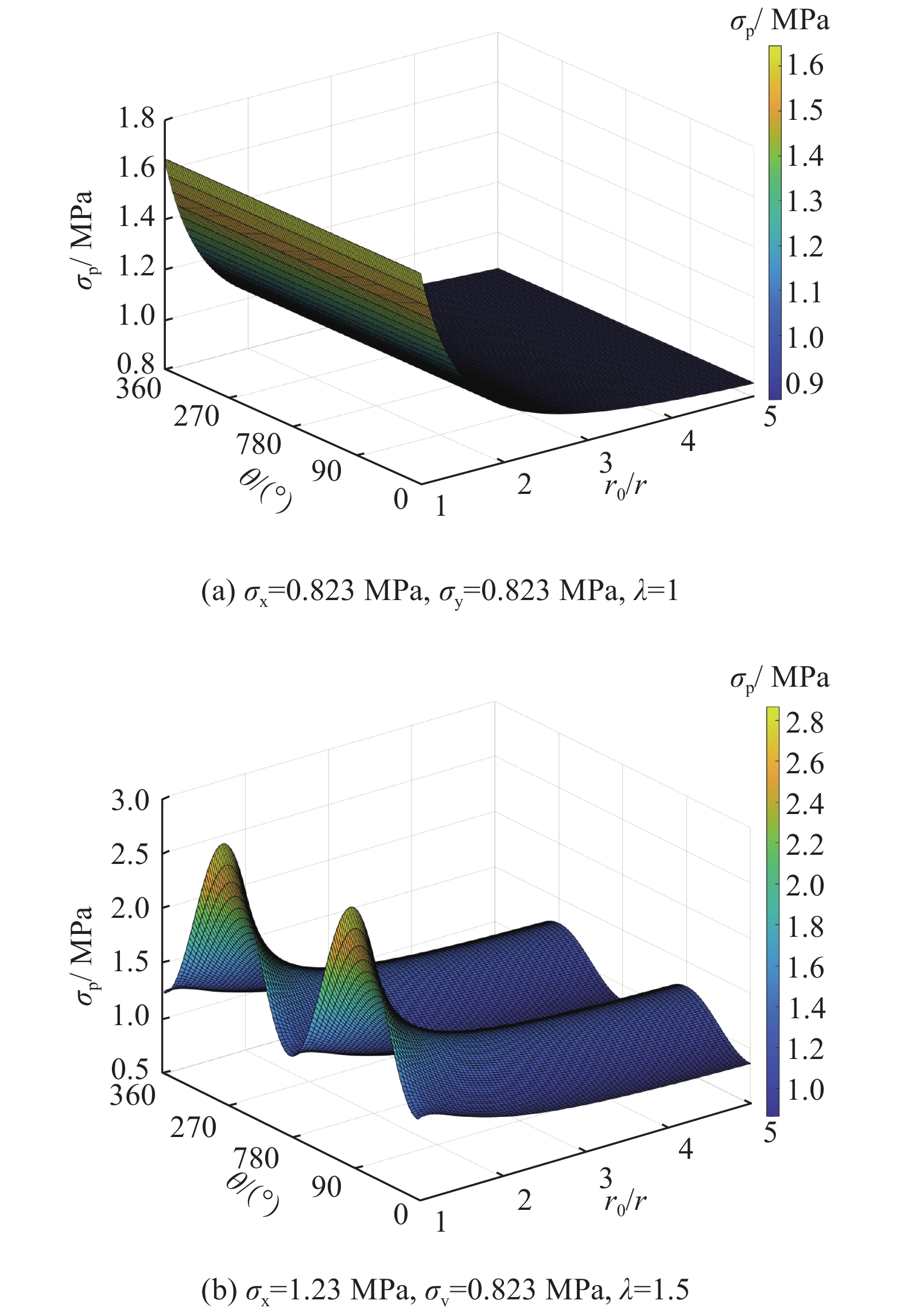
不同侧压系数下炮孔周围环向应力分布
2024, 52(7): 89-100.
深部高瓦斯煤层爆破致裂增透裂纹扩展规律研究 .
本文全文图片
钻孔周围单元应力分布
爆破试验箱体示意
方案试块模型
试块制作过程
爆破试验系统和数据检测系统
不同地应力状态下孔壁环向应力分布
不同侧压系数下炮孔周围环向应力分布
试验模型裂纹扩展
爆破试验测点应力变化曲线
爆破数值计算模型
24.7 MPa应力初始化结果
无地应力下爆破裂纹扩展结果
不同侧压系数下爆破裂纹扩展情况
爆破孔沿竖直方向布置爆破裂纹扩展情况(
λ
=1.5)
不同侧压系数裂纹密度分布的变化
裂纹长度拟合曲线
×
Close
导出文件
文件类别
RIS(可直接使用Endnote编辑器进行编辑)
Bib(可直接使用Latex编辑器进行编辑)
Txt
引用内容
引文——仅导出文章的Citation信息
引文和摘要——导出文章的Citation信息和文章摘要信息
×
Close
引用参考文献格式