高级检索

对旋轴流通风机叶轮内能量传递过程与演变特性

Energy transfer process and evolution characteristics in impeller of contra-rotating axial fan

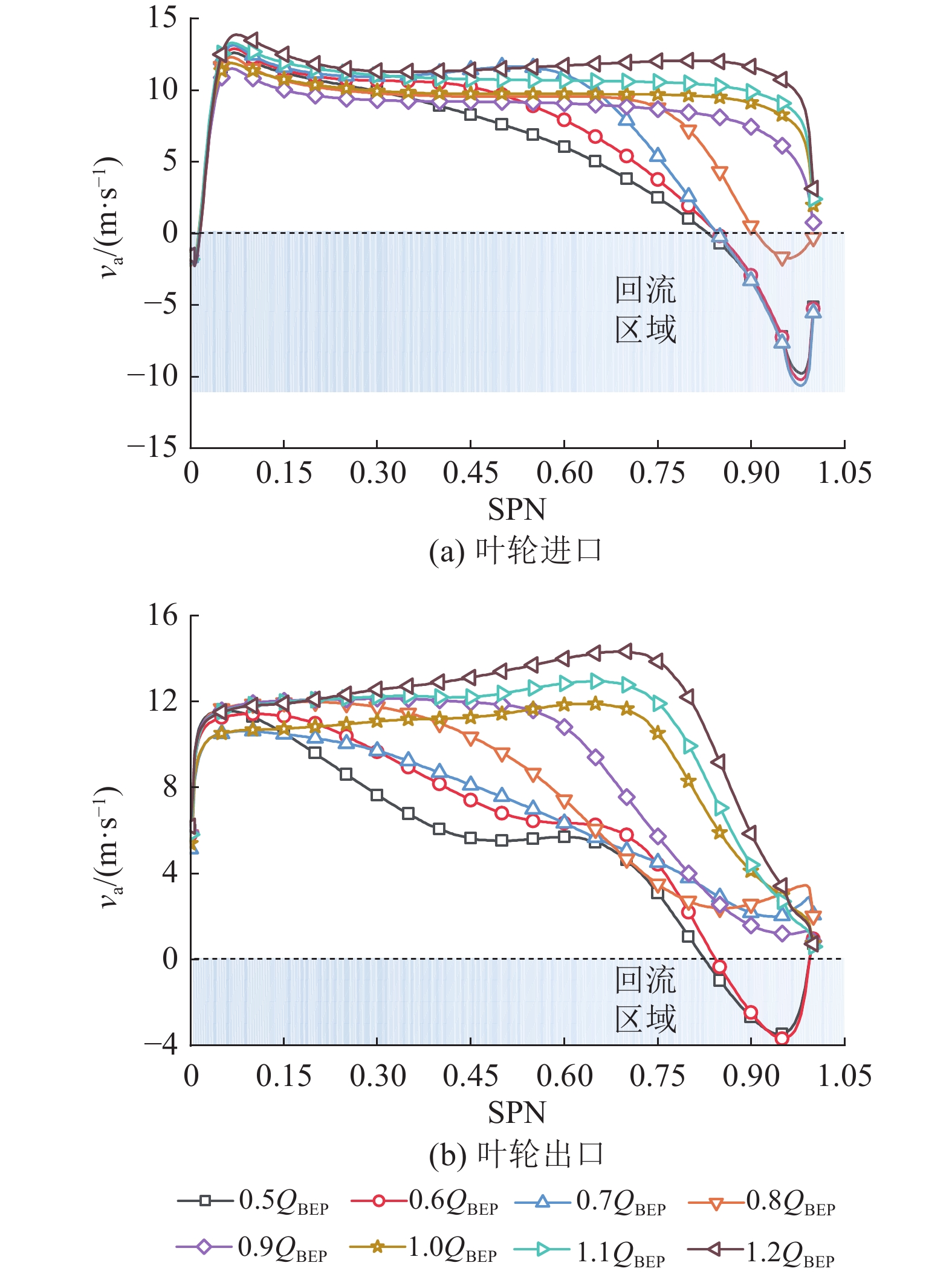
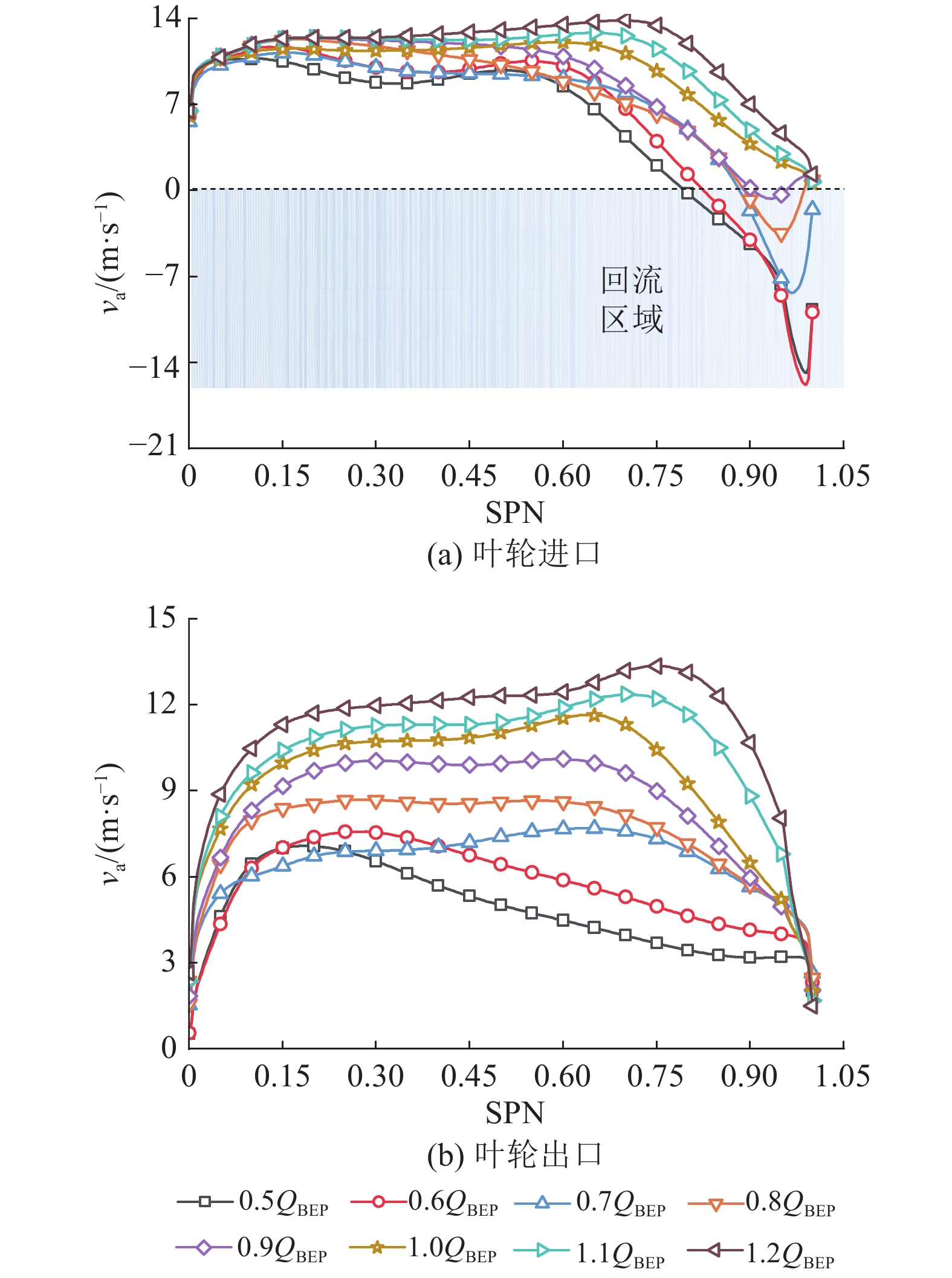
  • 摘要: 叶轮旋转将能量传递给风流,如何实现能量高效转化是工程领域内关键问题,掌握叶轮内能量传递过程是实现能量高效转化的前提与基础。为明确通风机叶轮内能量传递机理,以对旋轴流通风机为研究对象,采用数值模拟和试验方法获得了叶轮内部流场。基于叶轮机械能量转换理论,探明了叶轮内风流流动角、轴向速度和叶轮局部理论全压升等参数演变规律,揭示了叶轮内能量演变特性和流动损失过程。结果表明:当流量大于0.7 QBEPQBEP为最高效率工况)时,前级叶轮效率明显高于后级,在最高效率工况,两级叶轮效率差值约26.5%,当流量等于1.22 QBEP时,效率差值高达66.6%,表明后级叶轮效率偏低是导致通风机整机效率降低的主因;在流动方向,后级叶轮流动损失集中在STL=0~0.3(STL为流动方向叶轮进口到出口的距离),降低该区域的流动损失是提升后级叶轮效率的关键;实际风流全压升曲线驼峰特性是叶轮理论全压升和流动损失共同作用的结果,但主要与前级叶轮出口和后级叶轮入口理论全压有关;流动角在叶展方向急剧减小或增大将引起轴向速度显著减小,进而导致前级叶轮进出口和后级叶轮进口在SPN=0.8~1.0产生回流(SPN为叶展方向轮毂至机壳的距离),最终影响叶轮内理论全压升的大小,因此流动角和轴向速度共同作用并改变叶轮内能量演变规律;两级叶轮局部理论全压升均在叶轮中部区域获得较大提升,而在叶轮进出口区域变化甚微,局部理论全压升增长率是决定叶轮理论全压升大小的关键因素。

     

    Abstract: Energy is transferred to the airflow during the rotation of impeller. In engineering, the efficient energy conversion is a key issue. Mastering the energy transfer process in impeller is the premise and basis for realizing efficient energy conversion. In order to clarify the energy transfer mechanism in impeller of contra-rotating axial fan, the internal flow field in impeller was obtained by numerical simulation and experiment. Based on the turbomachine energy conversion theory, the evolution characteristics of parameters such as flow angle, axial velocity and local theory total pressure rise were analyzed, and the laws of energy distribution and flow loss process in impeller were clarified. The results show that the efficiency of front impeller is significantly higher than that of the rear impeller when the flow rate is greater than 0.7 QBEP (QBEP is flow rate at the best efficiency point). When Q=1.0 QBEP, the efficiency difference between the two-stage impellers is about 26.5%, and the efficiency difference is as high as 66.6% when the flowrate increases to 1.22 QBEP, which indicate that the low efficiency of the rear impeller is the main reason for the efficiency reduction of the fan. In the streamwise location, the flow loss of the rear impeller is concentrated within STL=0−0.3 (STL represents the dimensionless distance from the inlet to outlet of the impeller in the flow direction), and reducing the flow loss in this region is the key to improve the efficiency of rear impeller. The hump characteristic of actual total pressure rise curve is the result of the combined effect of theory total pressure rise and flow loss, but mainly related to the theory total pressure rise at the outlet of front impeller and inlet of rear impeller. The sharp decrease or increase in flow angle at the spanwise direction is the main cause of a significant decrease in axial velocity, which in turn leads to backflow in the inlet and outlet of the front impeller and inlet of the rear impeller within SPN=0.8−1.0 (SPN represents the dimensionless distance from the hub to shroud of the impeller in the spanwise direction), and ultimately affects the theory total pressure rise in impeller. Therefore, the flow angle and axial velocity jointly affect the energy evolution law in impeller. The local theory total pressure rise is greatly improved in the middle region of the impeller, while the change in the inlet and outlet region is negligible. The significant increase growth rate of local theory total pressure rise is the key factor determining the theory total pressure rise of the impeller.

     

/

返回文章
返回