高级检索

多滚刀协同破岩过程数值模拟与滚刀布置规律研究

Numerical simulation of cooperative breaking rock by multi-cutter and research on the layout law of disc cutter on cutterhead

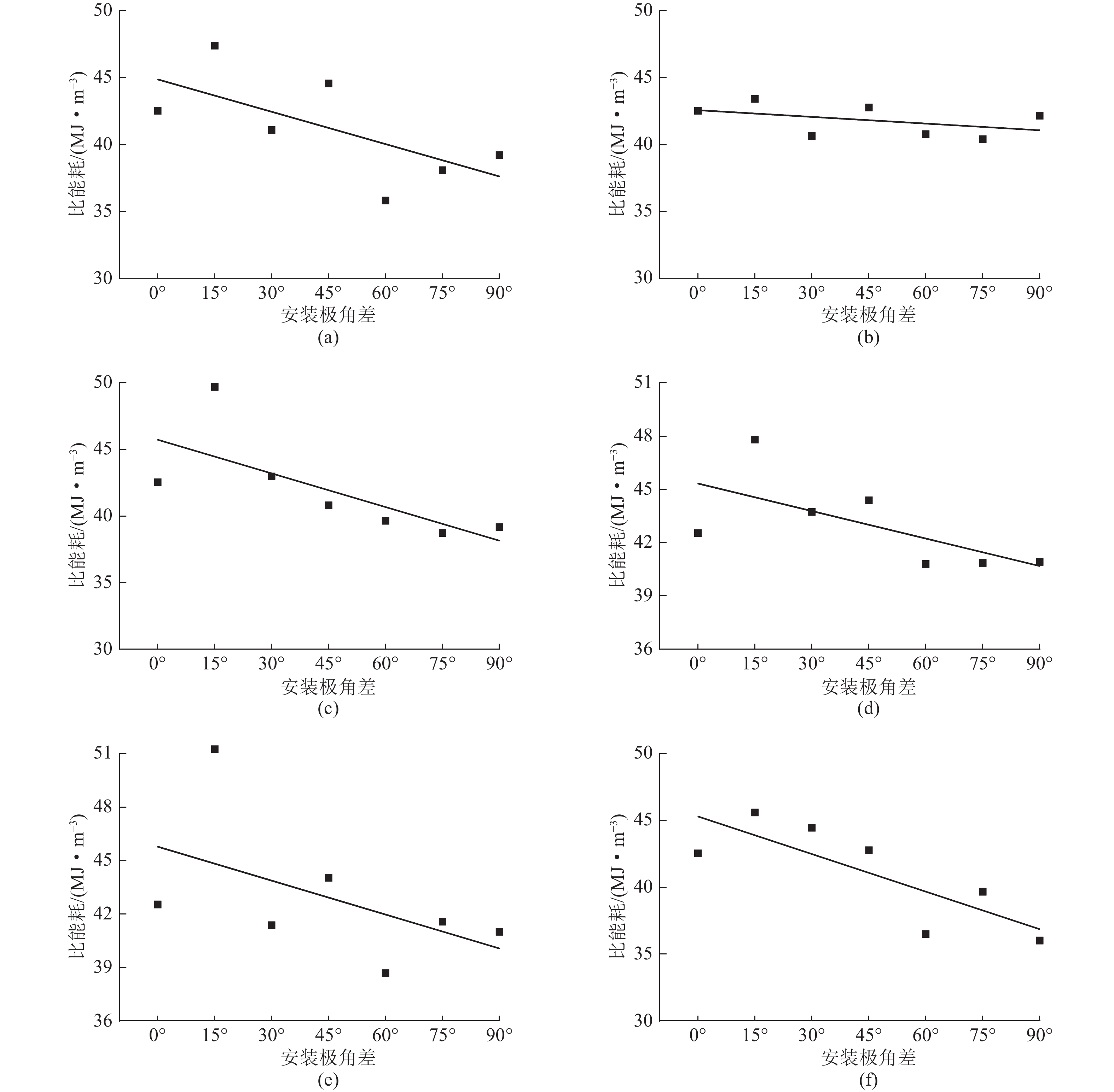
  • 摘要: 刀盘是全断面隧道掘进机(Tunneling Boring Machine,简称TBM)实现隧道挖掘功能的关键部件之一。刀盘持续破岩是滚刀群共同作用下的岩石破坏过程。滚刀作为实现刀盘破岩功能直接工具,在刀盘上的布置方式将直接影响滚刀破岩载荷和能耗等破岩性能指标。围绕多滚刀协同破岩模式下滚刀安装参数对破岩载荷和破岩比能耗的影响规律问题,首先分析了TBM掘进时刀盘上滚刀破岩的特点以及相邻滚刀回转破岩过程中产生协同效应的方式。抓住刀盘上多把滚刀绕刀盘中心回转、缓慢侵入岩石的运动特征,建立了包括滚刀位移加载方式、以及适用于模拟掘进中岩石单元损伤失效形式的岩石本构模型和岩石失效分离准则等技术环节的三滚刀回转破岩有限元模型。模拟了多把滚刀螺旋侵入岩石的破岩过程,通过有限元仿真计算分析了刀间距、相邻滚刀安装极角差和切削顺序三个主要刀盘布置参数对破岩载荷、破岩比能耗等破岩性能指标的单因素影响规律,并设计正交试验分析了多因素交互作用下上述参数对破岩总载荷影响规律及显著性。分析结果表明,刀间距和安装极角差对滚刀破岩性能的影响最为显著。其中,刀间距影响相邻切削路径间侧向裂纹的贯通情况,随着刀间距的增大,相邻切削路径间的侧向裂纹贯通逐渐困难,相邻滚刀沿刀盘径向协同破岩的效果也有所减弱;安装极角差影响侧向裂纹与倾斜临空面的贯通情况,随着安装极角差的增大,与倾斜临空面贯通的侧向裂纹变长,相邻滚刀沿刀盘环向协同破岩的效果有所增强。分析了多滚刀协同破岩工况中,滚刀的布置方式与滚刀破岩性能的关系,为刀盘滚刀合理布置提供参考依据。

     

    Abstract: The cutterhead was one of the key parts of the Tunneling Boring Machine to achieve tunnel mining. Cutterhead’s continuous breaking rock was the rock destruction process under the cutter group. The cutter of cutterhead was used as a direct tool for rock breaking, and the arrangement of the cutter would directly affect the breaking performance such as the force of cutter and energy consumption. This paper mainly explores the influence of cutter installation parameters on the rock breaking force and specific energy in the multi-cutter collaborative rock breaking mode. Firstly, the characteristics of rock breaking during the cutter excavation and the way of multi-cutter collaborative effects created by the adjacent cutter during the rotation are analyzed. Using the motion characteristics of multi-cutter around the center of the cutterhead rotation and slow penetrating into the rock on the cutterhead, a rock constitutive model including the cutter’s displacement loading method and the form suitable for simulating the damage of rock element in the excavation was established, a finite element model of three cutters rotary rock breaking for techniques such as rock failure separation criteria was introduced. This paper simulates the rock breaking process of multiple cutters spiral intrusion rocks. Then, the single-factor influence of three main cutterhead arrangement parameters, cutter spacing, cutter installation polar angle difference and cutting sequence, on the rock breaking performance indicators such as rock breaking force of cutter and specific energy is analyzed by finite element simulation calculation. Finally, an orthogonal experiment is designed to analyze the influence of the above parameters on the total force of rock breaking under the interaction of multiple factors. The results show that the cutter spacing and installation polar angle difference have the most significant influence on the rock breaking performance of the cutter under the cooperative breaking rock conditions. The cutter spacing affects the penetration of lateral cracks between adjacent cutting paths. With the increase of the tool spacing, the lateral crack penetration between adjacent cutting paths is gradually difficult, and the weaker the effect of adjacent cutter radial collaborative rock breaking. The installation polar angle difference affects the penetration of lateral cracks and inclined free surface. With the increase of the installation polar angle difference, the lateral crack connected to the inclined free surface becomes longer, and the cooperative rock breaking effect of by adjacent cutter in the circumferential direction of the cutterhead has been enhanced.This work analyzes the relationship between the arrangement of the cutter and the rock breaking performance of the cutter in the multi-cutter collaborative breaking rock condition, which provides a reference for the reasonable layout of the cutterhead cutter.

     

/

返回文章
返回