高级检索

延长石油CO2捕集与封存技术及实践

Technology and practice of CO2 capture and storage from Yanchang Petroleum

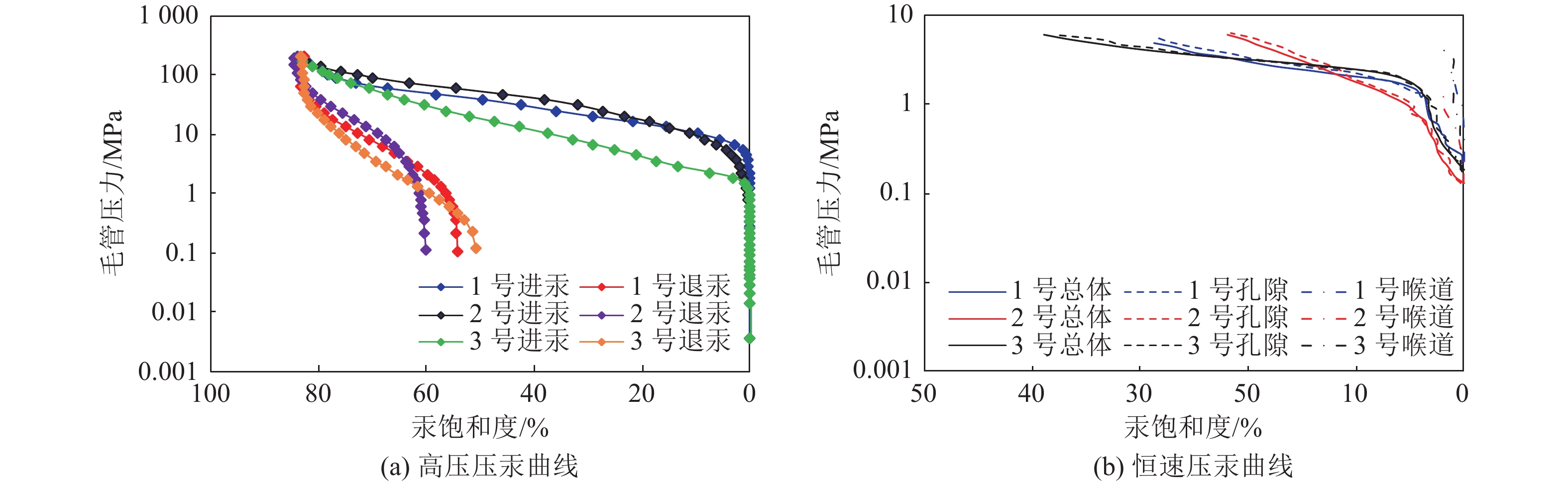
  • 摘要: 延长石油创新将煤化工CO2捕集与油藏CO2封存相结合,实现了煤炭清洁利用、碳减排和原油增产等多重效益,探索形成了一条煤化工产业低碳发展的新路径。系统阐述了延长石油CCUS全流程一体化技术及矿场实践,形成了煤化工低温甲醇洗低成本CO2捕集技术,捕集成本105元/t,捕集示范规模30万t/a;建立了CO2封存选址及潜力评价方法,评价油田CO2理论封存量为8.84×108 t,封存适宜区主要分布在油田西部;揭示了跨时间尺度油藏CO2封存状态演变规律,水气交替注入情景下CO2封存10年和100年对应的构造、束缚、溶解和矿化封存量占比分别为24.38%、27.19%、48.38%、0.05%和15.09%、38.65%、45.77%、0.49%;创建了盖层封闭性评价方法,明确化子坪CO2封存试验区长4+5盖层主要为Ⅰ、Ⅱ类;构建了“三位一体”CO2安全监测体系,监测未发现CO2地质泄漏,封存安全等级为Ⅰ级,矿场实现CO2安全有效封存10.12×104 t。煤化工CO2捕集与油藏CO2封存矿场实践取得了良好的碳减排与原油增产效果,相关创新技术应用前景较为广阔。

     

    Abstract: Through the innovative combination of CO2 capture in the coal chemical industry and oil reservoir CO2 storage, Yanchang Petroleum has realized multiple benefits such as clean utilization of coal, carbon emission reduction, and crude oil production increase, and explored a new path for low-carbon development of coal chemical industry. The whole process integration technology and field practice of carbon capture, utilization, and storage (CCUS) from Yanchang Petroleum are systematically presented. For CO2 capture, the low-temperature methanol washing and low-cost CO2 capture technology of the coal chemical industry has been formed. The CO2 capture cost is 105 yuan/t, and the capture demonstration scale is 300000 t/a. For CO2 storage, the storage site selection and potential evaluation methods are established. The evaluation results showed that the theoretical CO2 storage capacity of the oilfield is 8.84×108 t, and the suitable storage area is mainly distributed in the west of the oilfield. In addition, the evolution laws of CO2 storage state across the time scale of storage are revealed. Under the water-gas alternation scenario, the proportions of CO2 storage capacity for structure, residual, solubility and mineral trapping corresponding to 10 years and 100 years is 24.38%, 27.19%, 48.38%, and 0.05%; and 15.09%, 38.65%, 45.77% and 0.49%, respectively. Then the sealing evaluation methods of the caprocks are created. It is specified that the Chang 4+5 cap layer in the Huaziping CO2 sequestration test area mainly belongs to type Ⅰ and type Ⅱ. Finally, a “Trinity” CO2 safety monitoring system is established. The results of safety monitoring show that, there is no CO2 geological leakage in the test area and the safety level of CO2 storage is Ⅰ. The safe and effective storage capacity of CO2 is 10.12×104 t in the field application. The technology of CO2 capture in the coal chemical industry and reservoir CO2 storage has achieved good effects of carbon reduction and crude oil production increase in field practice.

     

/

返回文章
返回