高级检索

基于RSM的超细水泥注浆材料配比及性能优化模型

Based on Box-Behnken method superfine cement grouting material ratio andperformance optimization model

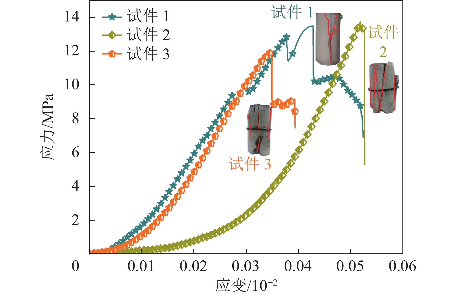
  • 摘要: 注浆堵水技术已成为水害措施防范向工程治理不可缺少的技术之一,超细材料的研究也成为了目前注浆材料发展的新方向。为了解决矿井水害注浆治理工程中注浆材料优选和配比优化问题,采用单因素试验与响应曲面法(RSM)相结合的方法进行超细水泥注浆材料优化配比研究。首先通过单因素试验对不同水灰比、硅灰(SF)掺量及高效聚羧酸减水剂(PCS)掺量条件下浆液黏度、泌水率及7 d单轴抗压强度进行分析,以确定RSM最佳基准水平,其次构建以浆液黏度、泌水率及7 d单轴抗压强度为响应目标的二次多项式预测模型,结合方差、残差及响应曲面分析各响应变量对响应目标的影响规律,确定注浆材料最优配比。通过单因素试验结果对比分析,发现最优水灰比、SF掺量及PCS掺量分别为1∶1、35%及0.3%。通过RSM研究发现,浆液黏度、泌水率及7 d单轴抗压强度不仅受单一因素影响,且存在多因素交互作用。根据建立的二次多项式响应面回归预测模型可知,当水灰比、SF掺量及PCS掺量分别为0.7∶1、38%及0.2%时,注浆材料性能最优,其回归模拟预测浆液黏度、泌水率及7 d单轴抗压强度分别为210.82 mPa·s、1.0%及12.22 MPa。通过室内试验,其结果与预测模型结果吻合度较高,进一步验证了模型的可靠性,证明了该模型能够用于注浆材料优化配比设计研究。

     

    Abstract: Grouting water plugging technology has become one of the indispensable technologies for water damage prevention to engineering treatment, and research on ultrafine materials have has also become a new direction for the development of grouting materials. In order to solve the problem of optimal selection and ratio optimization of grouting materials in mine water damage grouting treatment project, the method of single factor test combined with response surface method (RSM) was used to study the optimal ratio of superfine cement grouting materials. The slurry viscosity, bleeding rate and 7-day uniaxial compressive strength of slurry with different water-cement ratio, silica fume (SF) content and highly efficient polycarboxylate water reducer (PCS) content were analyzed through single factor test, and the optimal reference level of RSM was determined. Secondly, a quadratic polynomial prediction model with slurry viscosity, bleeding rate and 7-day uniaxial compressive strength as the response target was constructed, combination with variance, residual and response surface analyzed the influence of each response variable on the response target, and the optimal ratio of grouting materials was determined. Through comparative analyze of single factor test results, the optimal water-cement ratio, SF content and PCS content were 1∶1, 35% and 0.3%, respectively. Through RSM study, it was found that slurry viscosity, bleeding rate and 7-day uniaxial compressive strength were not only affected by a single factor, but also by multi-factor interaction. According to the established quadratic polynomial response surface regression prediction model, the optimal grouting material properties were achieved when the water-cement ratio, SF content and PCS content were 0.7∶1, 38% and 0.2%, respectively. The regression simulated prediction of slurry viscosity, bleeding rate and 7-day uniaxial compressive strength was 210.82 MPa·s, 1.0% and 12.22 MPa, respectively. The laboratory verification test results showed a high degree of consistency with the predicted model results, which further verifying the reliability of the model, and the model can be used to optimize the proportion of grouting materials.

     

/

返回文章
返回