高级检索

高温高压条件下含瓦斯煤解吸−自燃演化特性研究

Study on evolutionary characteristics of desorption-spontaneous combustion of gas-bearing coal under high temperature and pressure conditions

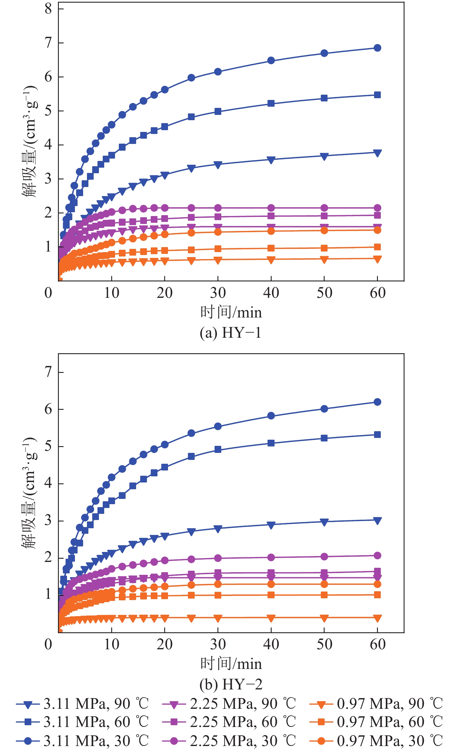
  • 摘要: 随着矿井开拓水平的延深,煤岩赋存环境呈现出高瓦斯压力、高地温特征,而温度、压力是影响含瓦斯煤吸附−解吸−氧化特性的重要因素。为了探究高温高压下遗煤中瓦斯解吸特征及自燃特性的变化,选用高瓦斯易自燃矿井不同埋深的煤样作为试验对象,设计不同温度和压力下煤中甲烷解吸的正交试验,并对原煤样和解吸煤样进行孔隙及表面积测试、TG-FTIR联用、程序升温试验。结果表明:在整个解吸试验过程中,温度的抑制都显著大于压力的促进作用;高温高压环境主要改变了煤中的微孔结构,致使煤体的比表面积和总孔容都出现增加;解吸后,标高320 m和标高343 m煤样的温度突变点提前了8.7%和4.9%,同时虽然煤中的官能团种类相同,但含量出现了不同程度的降低;标高320 m和标高343 m解吸煤样和原煤样CO生成的交叉温度点分别为78 ℃和74 ℃,C2H4、C2H6的浓度始终低于原煤样;同时解吸煤样的耗氧量在相同煤温下出现了下降,在170 ℃时差距最大,标高320 m和标高343 m解吸前后煤样的氧气含量为9.3%、13.1%和10.3%、14.3%,两者的耗氧量最大相差42.3%、41.2%。综合分析表明,煤体经过高温、高压解吸后煤样在氧化初期更易自燃,产生更多的CO,可以选择CO作为指标气体,而在高温阶段反应剧烈程度有所降低。此外推导出了煤中甲烷解吸对采空区气体环境的实时变化公式,并以1304综采工作面为模型,对“高瓦斯压力、高地温”特征下采空区遗煤中瓦斯解吸影响下的“氧化带”区域进行了更细致的划分,将范围缩小了63.5%。研究成果可为高瓦斯易自燃煤层瓦斯与火耦合灾害防控提供基础支撑。

     

    Abstract: With the deepening of mine development level, the coal rock storage environment shows high gas pressure and high ground temperature characteristics, and temperature and pressure are important factors affecting the adsorption-desorption-oxidation characteristics of gas-bearing coal. In order to investigate the changes of gas desorption and spontaneous combustion characteristics in relic coal under high temperature and pressure, coal samples with different burial depths in high gas and prone spontaneous combustion mines were selected as test objects, and orthogonal tests for methane desorption from coal under different temperatures and pressures were designed, and pore and surface area tests, TG-FTIR coupling and programmed temperature rise tests were carried out on the original and desorbed coal samples. The results shown that, the inhibition of temperature was significantly greater than the promotion of pressure throughout the desorption experiments. The high temperature and pressure environment mainly changed the microporous structure of the coal, resulting in an increase in the specific surface area and total pore volume. After desorption, the temperature breakpoints of the 320 m and 343 m coal samples were advanced by 8.7% and 4.9%, while the same types of functional groups were present in the coals, but with different decreases in content. The cross-temperature points of CO generation in the desorbed and original coal samples from 320 m and 343 m were 78 ℃ and 74 ℃, respectively, and the concentrations of C2H4 and C2H6 were consistently lower than those in the original coal samples. Meanwhile, the oxygen consumption of desorbed coal samples decreased at the same coal temperature, and the difference was the largest at 170 ℃. The oxygen contents of coal samples before and after desorption at 320 m and 343 m were 9.3%, 13.1% and 10.3%, 14.3% respectively, and the maximum difference between the two oxygen consumption was 42.3% and 41.2%. The comprehensive analysis shown that, coal samples after high temperature and high pressure desorption were more prone to spontaneous combustion at the initial stage of oxidation and produce more CO, which can be selected as the indicator gas, while the reaction intensity was reduced at the high temperature stage. In addition, the formula of the real-time change of gas environment in the mining area by methane desorption in coal was introduced, and the “oxidation zone” area under the influence of gas desorption in coal left in the mining area under the characteristics of “high gas pressure and high ground temperature” was delineated in more detail using 1304 comprehensive mining face as a model, and the scope was reduced by 63.5%. The research results can provide basic support for the prevention and control of gas-fire coupling disasters in high gas-spontaneous combustion prone coal seams.

     

/

返回文章
返回