高级检索

基于神经网络补偿的液压支架群推移系统直线度控制方法

Straightness control method of hydraulic support group pushing system based on neural network compensation

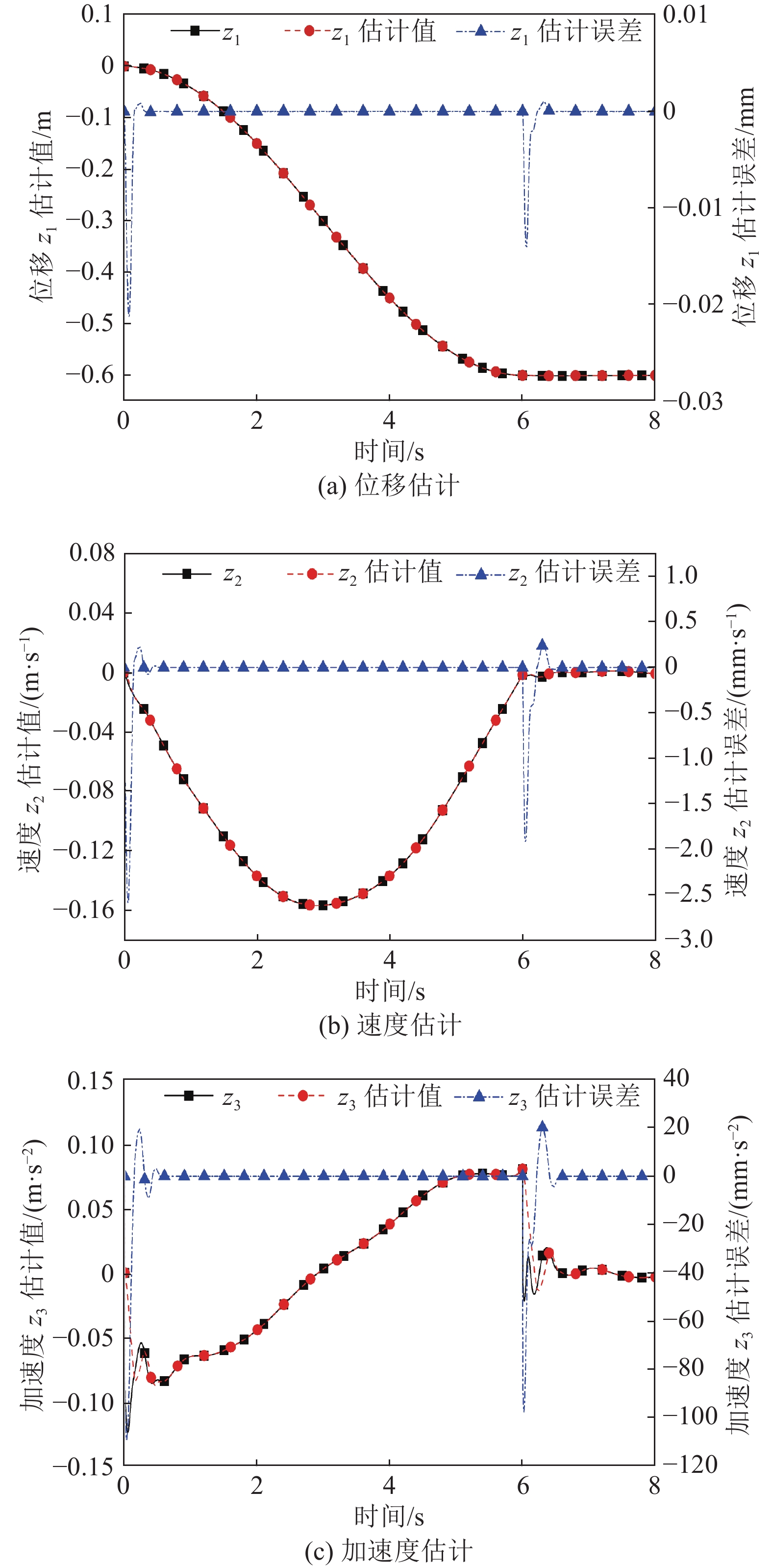
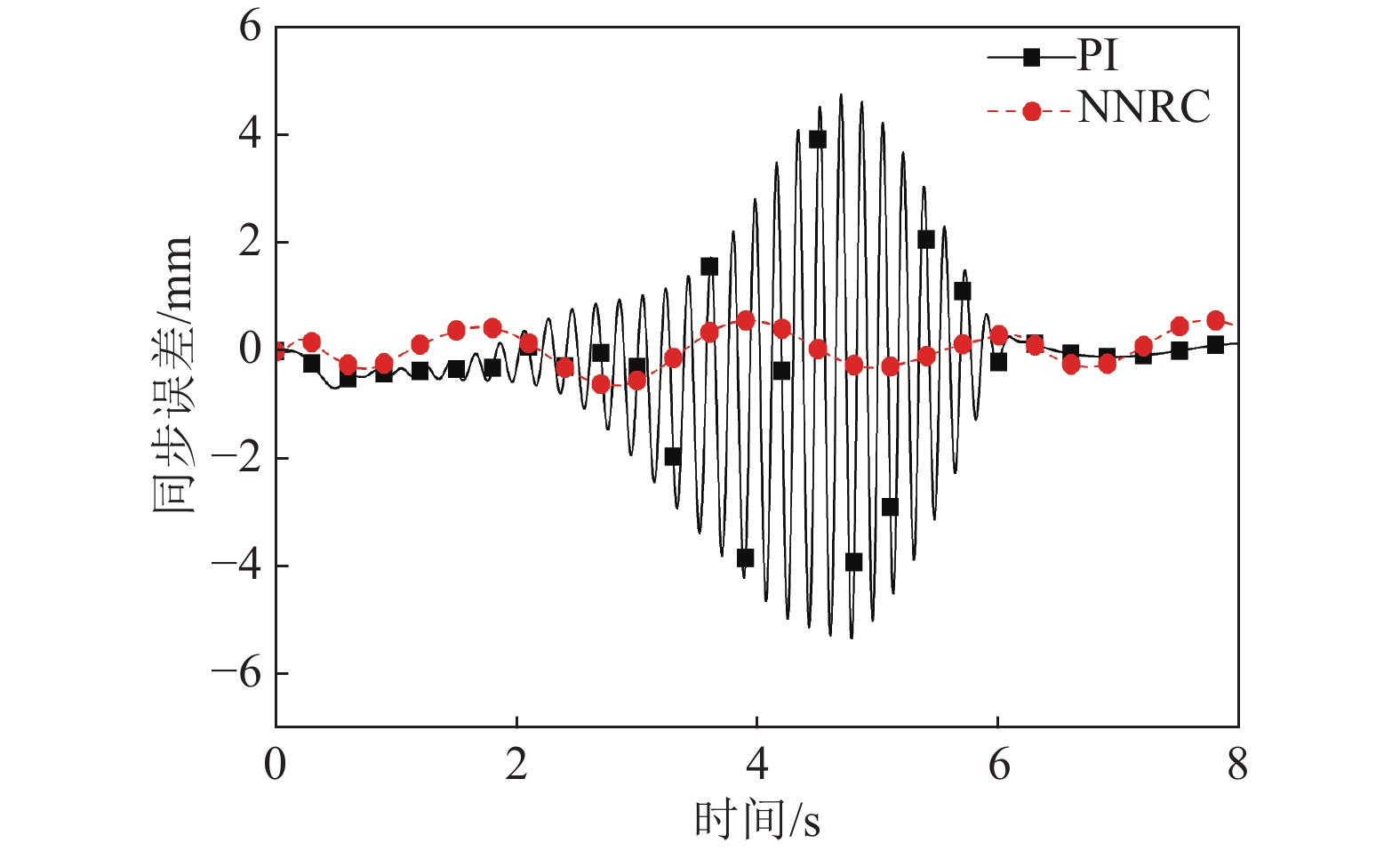
  • 摘要: 煤矿综采工作面的直线度控制是实现智能化开采的关键技术之一,液压支架推移油缸的位置控制性能直接影响着工作面直线度水平,但推移油缸电液系统的参数不确定性、建模误差和未知外部干扰等因素增加了液压支架推移系统的位置控制难度。针对此问题,首先,建立了液压支架推移油缸电液系统的数学模型,考虑到推移油缸仅有位置信息可测的实际工况,将其转化成Brunovsky标准型的形式。其次,设计了高阶滑模状态观测器利用可测的位置信息估计系统其他难以直接测量状态信息,同时,以系统状态信息为学习数据,设计了一种基于径向基神经网络的扰动观测器实时估计和补偿系统的未知扰动力。再次,结合反步设计原理,针对液压支架推移油缸拉架过程提出了一种鲁棒输出反馈控制器,并利用Lyapunov理论对整个闭环控制系统进行了稳定性验证。然后,基于ZY3200/08/18D液压支架推移油缸的实际物理参数建立了仿真模型,通过仿真测试发现所设计的鲁棒输出控制器的最终位置精度较传统比例积分控制器提高了77.19%,神经网络补偿器针对不同油缸载荷的估计精度分别为64.41%和75.38%。最后,为了进一步验证新型控制器的有效性,搭建了一个液压支架群多缸控制系统试验台,并开展了推移油缸拉架过程的模拟实验,实验结果表明:鲁棒输出反馈控制器较比例积分控制器的平均跟踪精度提高了47.23%,最终位置精度提高了75.00%,相邻推移油缸的平均同步误差提高了47.08%。研究结果为液压支架推移系统的动力学分析和直线度控制提供了一种思路。

     

    Abstract: Straightness control of fully mechanized mining face is one of the key technologies to realize intelligent mining, and the position control performance of the hydraulic support push cylinder directly affects the straightness level of the mining face, but the parameter uncertainty, the modeling error and the unknown external disturbances of the push cylinder electro-hydraulic system have increased the difficulty of the position control of the hydraulic support push system. Firstly, the mathematical model of the electro-hydraulic system of the hydraulic support push cylinder is established, which is transformed into Brunovsky standard form taking into account the actual working condition that the push cylinder has only measurable position information. Secondly, a high-order sliding mode state observer is designed to estimate other system states using the measurable position information, while a radial-based neural network-based disturbance observer is designed to estimate and compensate the unknown disturbance forces of the system in real time with using the estimated system state information as the learning data. Thirdly, an output feedback robust controller is proposed for the hydraulic support push cylinder with Backstepping design principle, and the stability of the whole closed-loop control system is verified by Lyapunov theory. Fourthly, a simulation model is established based on the actual physical parameters of the ZY3200/08/18D hydraulic support push cylinder, and the simulation results show that the final position accuracy of the designed controller is improved by 77.19% compared with traditional PI controller, and the estimation accuracy of the neural network compensator for the loads of different cylinders are 64.41% and 75.38%, respectively. Finally, to further verify the effectiveness of the proposed controller, a hydraulic support group multi-cylinder control system test rig is built and the pulling process experiments are carried out. The experimental results showed that the average tracking accuracy of the new controller is improved by 47.23%, the final position accuracy is improved by 75.00% and the average synchronization error of adjacent cylinders is improved by 47.08% compared with the PI controller. The research results provide an idea for the dynamic analysis and straightness control of hydraulic support pushing system.

     

/

返回文章
返回