高级检索

有效应力对孔周破裂煤体渗透率演化规律的影响

Effect of effective stress on the evolution of permeability patterns in perforated fractured coal bodies

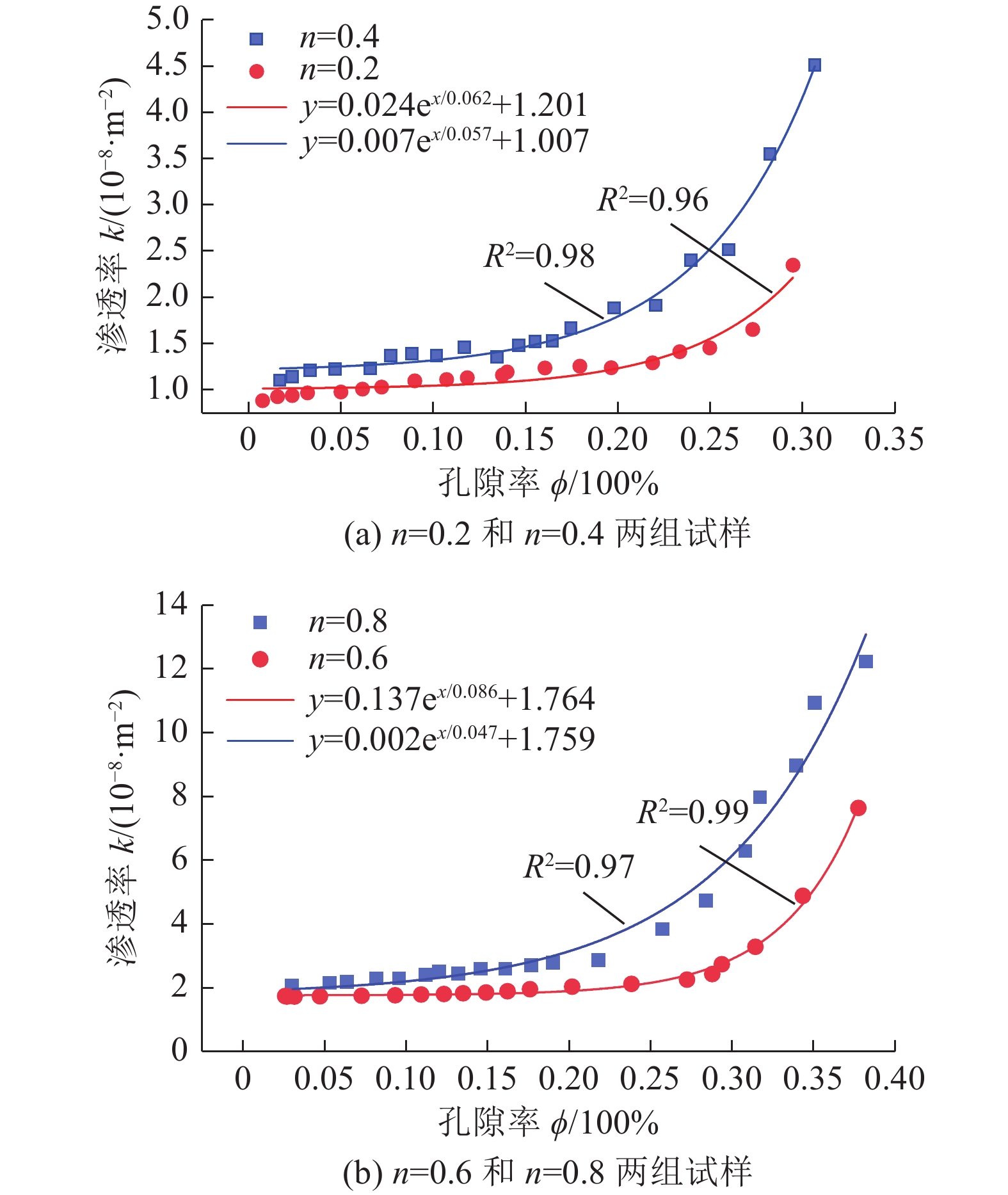
  • 摘要: 有效应力是影响煤体渗流特性的主要原因。为研究瓦斯预抽过程中钻孔周围破裂煤体的渗透特性演化,基于Ergun方程,利用多孔介质有效应力理论,开展4种不同级配混合粒径破碎煤体的渗流试验,研究了在三轴应力作用下不同孔隙结构煤体孔隙结构特征,得到了有效应力对孔隙结构煤体渗流的作用机制。研究结果表明:① 在三轴应力下破碎煤体内部渗流状态贴近于非Darcy渗流,当围压一定时,轴向压力越大,其非线性拟合的现象更加显著。② 粒径级配和孔隙率等骨架状态参数影响破碎煤体渗透性能,基于Ergun方程推导出孔隙率与渗透率和非Darcy流因子之间的函数关系式,得到破裂煤样孔隙结构变化与渗透率和非达西流因子的变化规律符合指数函数拟合。③ 在三轴作用下,在有效应力加载到0.55~0.75 MPa区间情况下,煤样的渗透率急剧减小,特别是在n=0.8的情况下,渗透率减小幅度最大,而在有效应力加载超过0.75 MPa的情况下,渗透率减小速度越来越小,渗透率随有效应力演化的规律可用 k=a \rme^b \sigma_e+c 公式表示。综合以上结果,在孔周煤体受到外部应力(地应力)和内部应力(孔隙压力)共同作用时,破裂煤体的渗流规律与骨架变形和孔隙结构变化密切相关,结合有效应力变化与孔隙渗透率之间的内在联系,可以准确计算出瓦斯预抽过程中孔周煤体渗透性能演变历程,对破裂煤体渗流规律的研究可作为瓦斯抽采设计实施与效果评估的重要参考依据。

     

    Abstract: The effective stress is the main reason affecting the percolation characteristics of the coal body. In order to study the evolution of percolation characteristics of fractured coal bodies around boreholes during gas pre-pumping, based on the Ergun equation and using the theory of effective stress in porous media, seepage tests of four different grades of mixed grain size fractured coal bodies were carried out to study the pore structure characteristics of different pore structure coal bodies under the action of triaxial stress, and the mechanism of the effective stress on the seepage of pore structure coal bodies was obtained. The test results show that: ① under triaxial stress, the internal seepage state of broken coal is close to non Darcy seepage. When the confining pressure is constant, the deviation from linear fitting is more obvious with the increase of axial pressure. ② The skeletal state parameters such as particle size gradation and porosity affect the permeability performance of fractured coal bodies. Based on the Ergun equation, a functional relationship between porosity and permeability and non-Darcy flow factor was derived, and the change in pore structure of fractured coal samples was obtained to fit the exponential function with the change in permeability and non-Darcy flow factor. ③ In the triaxial action, when the effective stress is loaded to the interval of 0.55-0.75 MPa, the permeability decreases sharply, especially when n=0.8, the permeability of the coal sample decreases the most, when the effective stress is greater than 0.75 MPa, the permeability decrease rate becomes smaller and smaller, the law of permeability evolution with effective stress can be expressed by expressed by the equation k=a \rme^b \sigma_e+c . Based on the above results, external stress is applied around the hole (σ) When combined with internal stress (pore pressureP), the seepage law of broken coal is closely related to skeleton deformation and pore structure change. Combined with the internal relationship between effective stress change and pore permeability, the evolution process of coal permeability around the hole in the process of gas drainage can be accurately calculated. The research on the seepage law of broken coal can be used as an important reference for the implementation of gas drainage design and effect evaluation.

     

/

返回文章
返回