高级检索

方位电磁波仪器PeriScope水平井煤岩边界探测特性研究

Exploration characteristics of coal and rock boundary in horizontal well with Azimuth electromagnetic wave instrument PeriScope

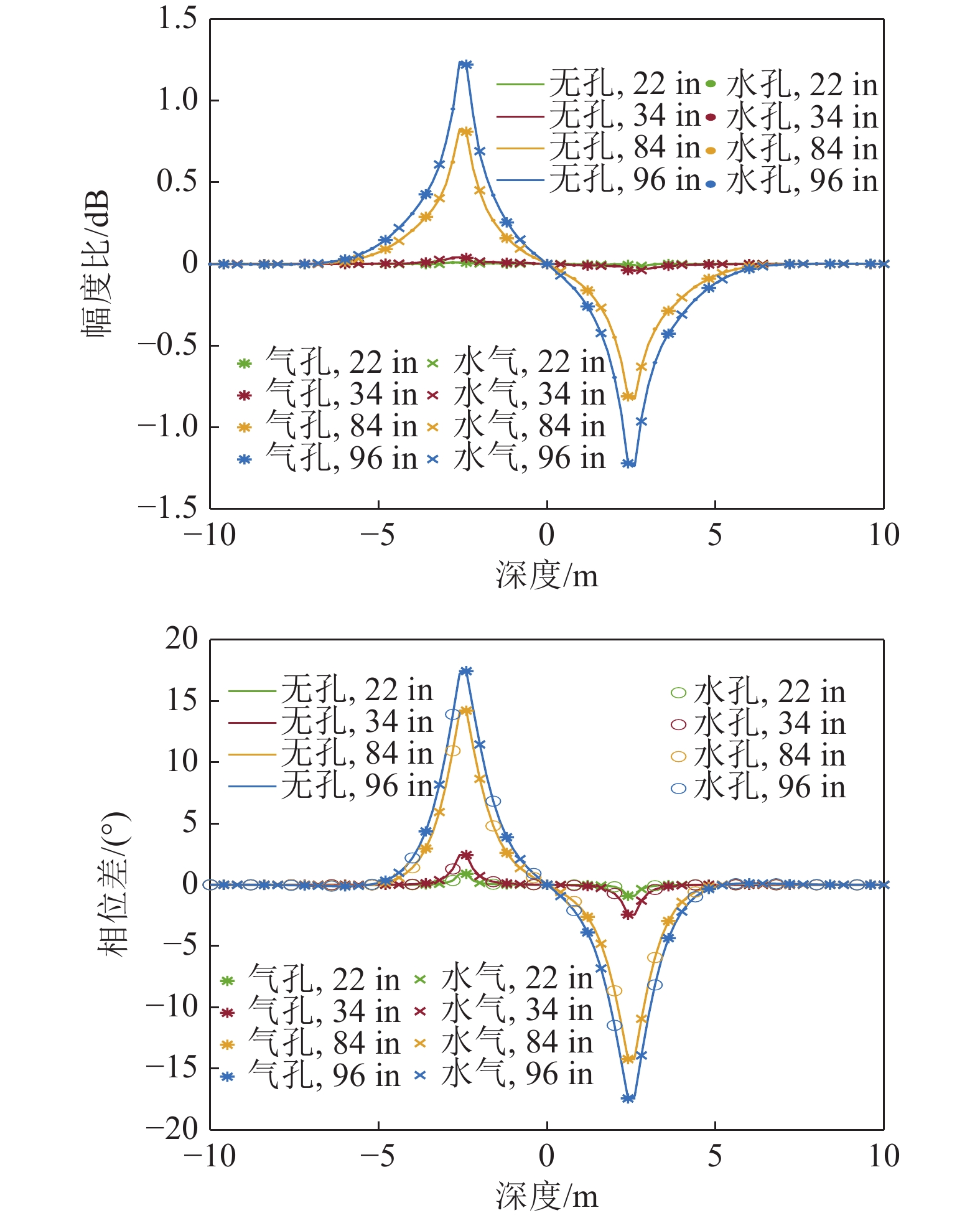
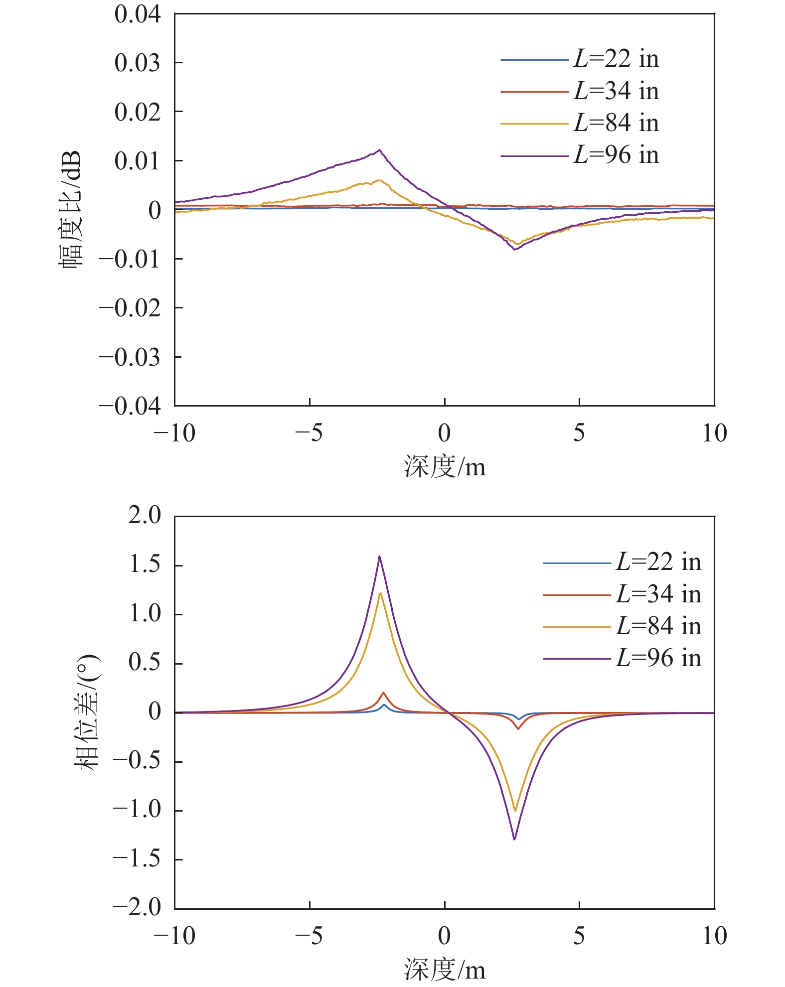
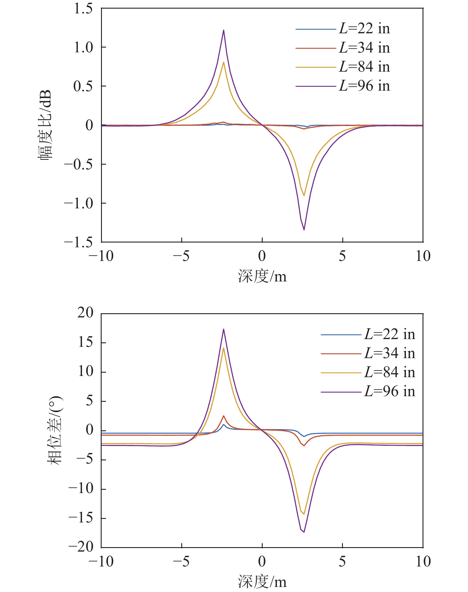
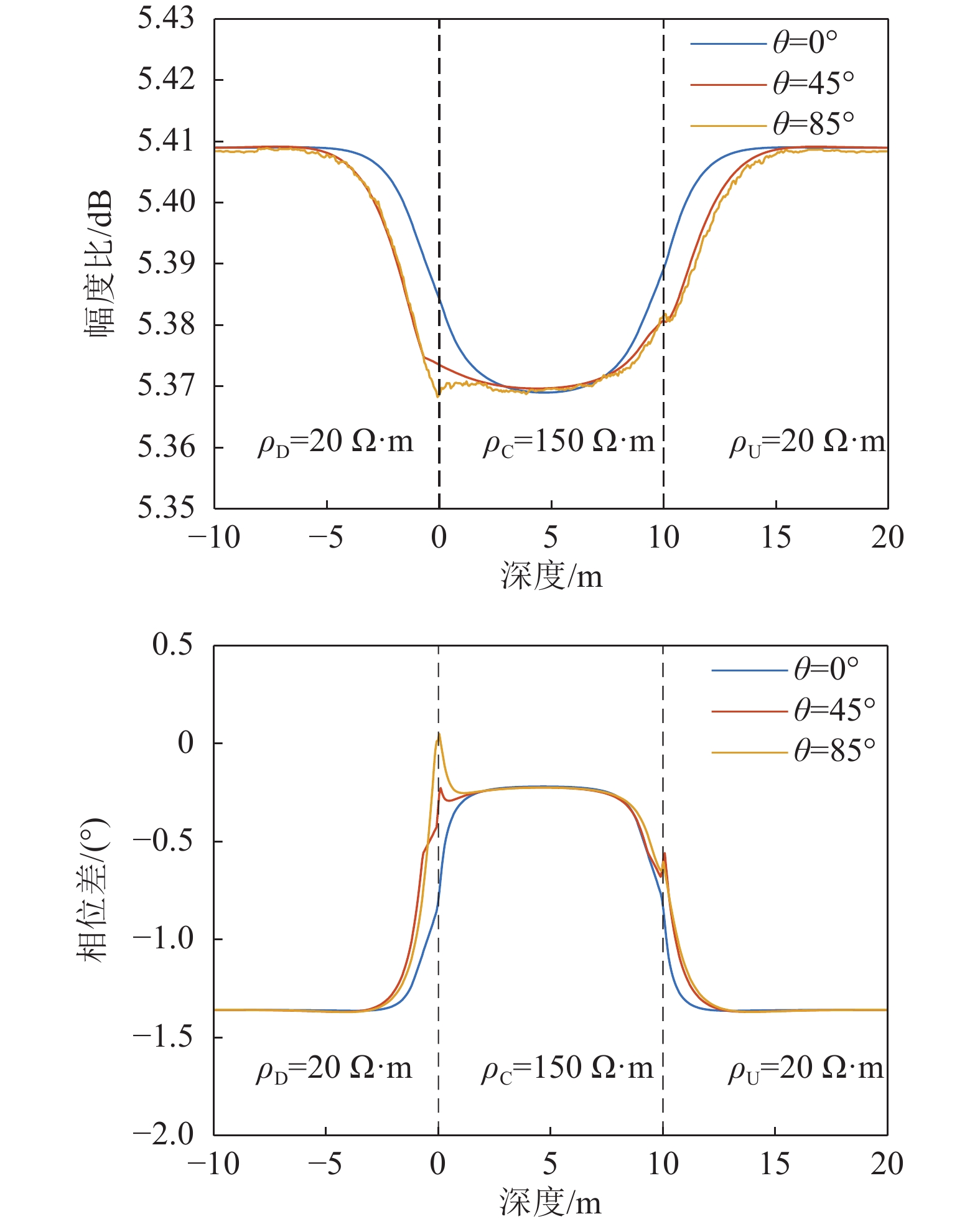
  • 摘要: 在煤矿生产中,预先、精准识别煤岩界面能够提高采出率、降低开采风险,是实现煤炭智能化开采的卡脖子技术之一。方位电磁波测井仪器具有较大探测深度和方位分辨能力,其在煤岩界面测井方法中具有一定优势,为了研究油田方位电磁波仪器PeriScope在煤田测井中的适用性,建立了煤矿测井水平分层地层模型,使用广义反射系数法和有限元数值模拟方法,以方位电磁波仪器PeriScope为例,考察了其对煤层边界的探测特性。应用PeriScope仪器的发射频率和源距组合,设置其仪器半径为煤矿钻杆的常用半径,模拟结果显示,地质信号在界面处的响应符合典型特征,地质信号随仪器旋转角变化具有周期性响应规律,频率和探边距离非简单正相关关系,源距和探边距离具有正相关关系,地质信号幅值随煤层层厚的增加而增加,但层厚增加到一定值后地质信号不再随层厚变化,偏心距较大时地质信号受偏心距影响,方位电磁波测量响应能够反映采空区的电阻率变化。结果表明,地质信号对煤岩边界的探测能力受频率、源距、电阻率对比度、层厚等多种因素影响,方位电磁波仪器PeriScope的地质信号具有方位分辨能力,能够用于探测模型设置的煤岩分界面和识别采空区,但对于围岩和煤层电阻率均较高的情况,需要增加仪器的源距或选取合适的发射频率,以满足测量信号强度要求。

     

    Abstract: In coal mine production, advance and precise identification of coal-rock interface can improve recovery and reduce mining risk, which is one of the bottleneck technologies to realize intelligent coal mining. Azimuth electromagnetic wave logging instrument has larger detecting depth and the azimuth resolution ability, which has a certain advantage in coal-rock interface detection, in order to study the oil the applicability of the azimuth electromagnetic wave instrument Periscope in coalfield well logging, coal log level layered formation model was established, using the generalized reflection coefficient method and finite element numerical simulation method, Taking Periscope as an example, the detection characteristics of coal seam boundary are investigated. Application of Periscope instrument transmitting frequency and spacing, set its instrument radius drill pipe radius of the commonly used for coal mine, the simulation results show that the geological response in line with the typical characteristics of signals in the interface, geological signal change with instrument rotation Angle with periodic response, frequency and delineation of distance is not a simple positive correlation, spaced and offset distance have positive correlation, The geological signal amplitude increases with the increase of coal layer thickness, but when the thickness increases to a certain value, the geological signal does not change with the thickness. When the eccentricity is large, the geological signal is affected by the eccentricity, and the azimuth electromagnetic wave measurement response can reflect the resistivity change of the goaf. Results show that the geological signal detection ability of the coal rock boundary by frequency resistivity contrast, layer thickness, spacing, and a variety of factors, such as electromagnetic wave instrument Periscope bearing geological signal has the azimuth resolution, can be used to set of coal rock interface detection model and identification of mined-out area, but in the case of surrounding rock and coal seam resistivity are high, It is necessary to increase the source distance of the instrument or select the appropriate transmission frequency to meet the requirements of the measurement signal intensity.

     

/

返回文章
返回