高级检索

线圈耦合距对坑道瞬变电磁场的影响与校正方法

Effect of coil coupling distance on roadway transient electromagnetic field and its correction method

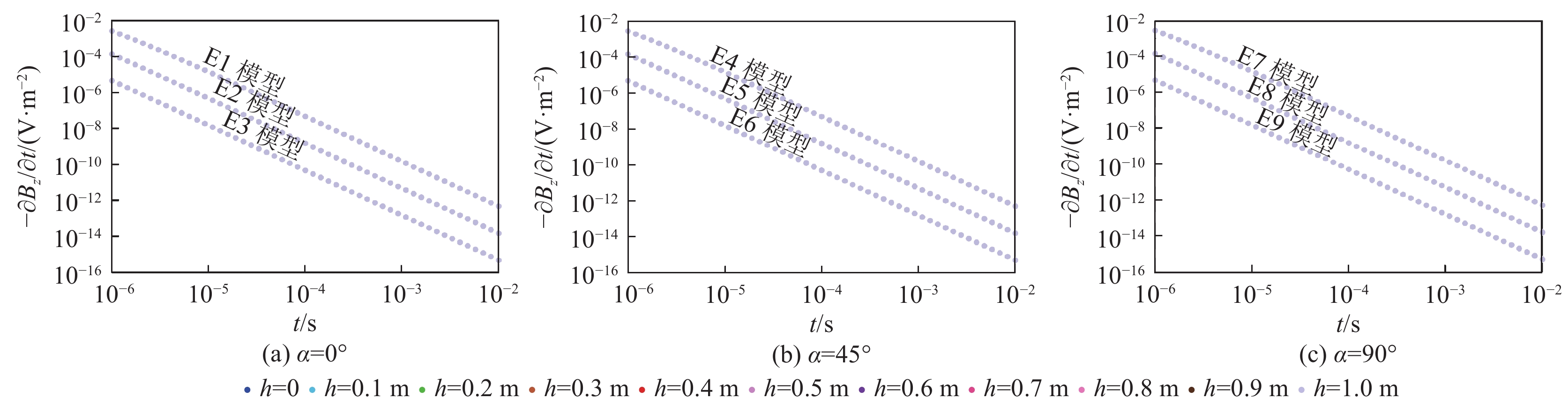
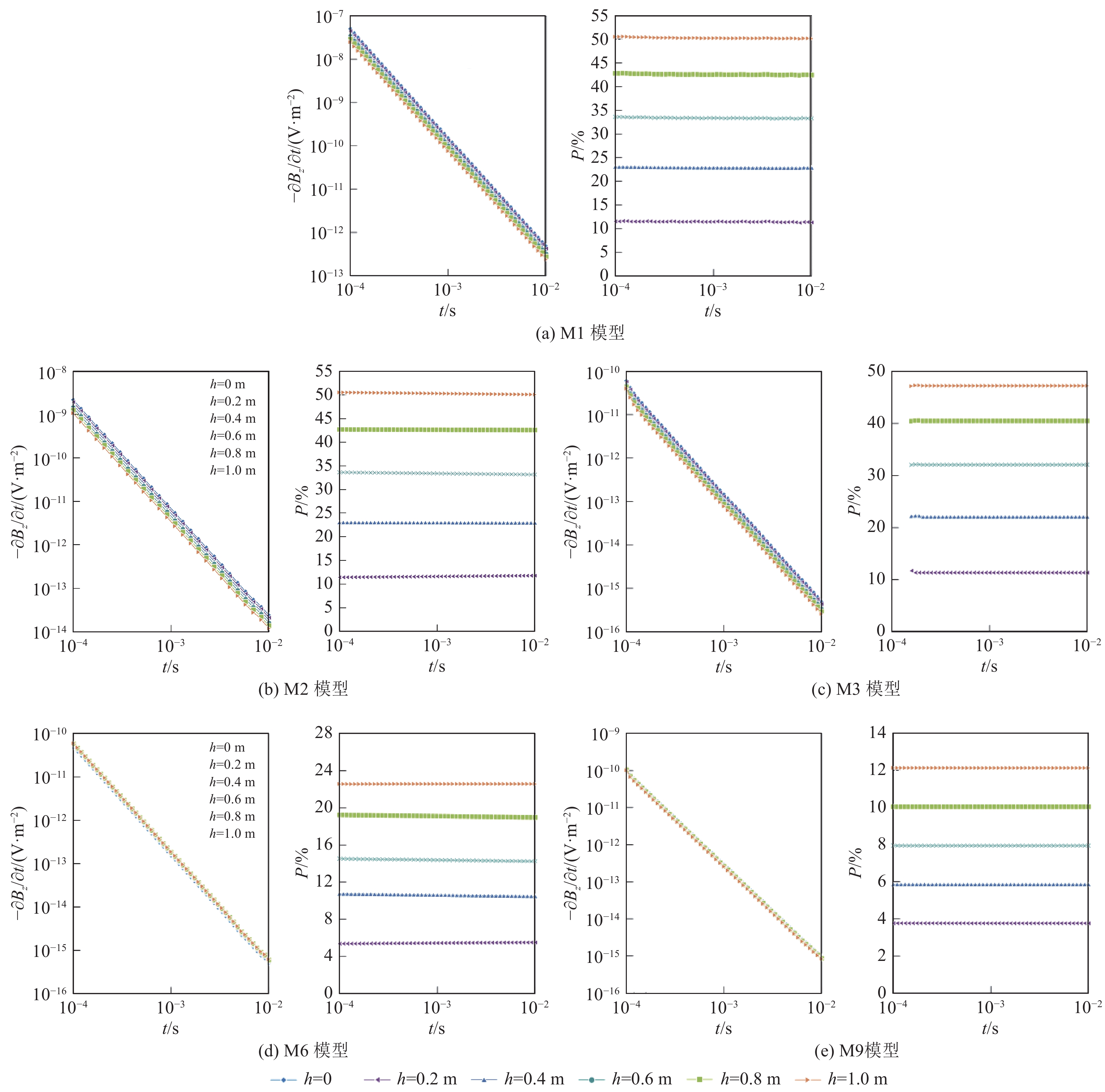
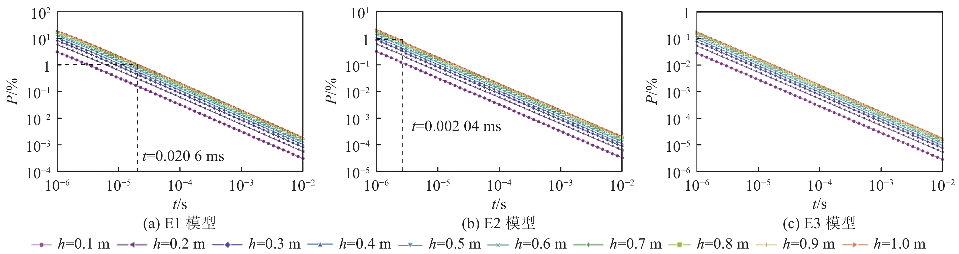
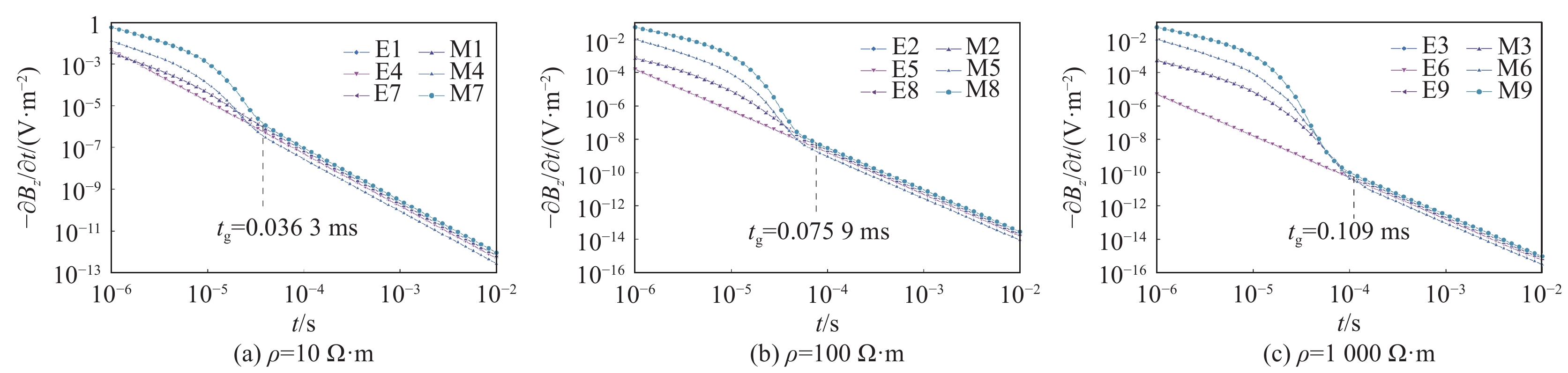
  • 摘要: 水害是我国煤层开采面临的主要灾害之一,坑道瞬变电磁方法作为一种有力的坑道水害探测手段,近年来已广泛应用于我国各大煤矿区,但受坑道空间限制,线圈与围岩表面存在不等的耦合距,导致不同测点观测的瞬变场存在差异,进而影响岩层富水性的判定精度。为此,基于数值仿真技术研究了坑道内有和无金属支护条件下耦合距对瞬变场的影响,其结果表明:①坑道内无金属支护时,耦合距对瞬变场的影响主要集中在早期,且随瞬变场时间延迟而快速减小,对实测瞬变场数据的影响基本可以忽略。②坑道内存在金属支护时,瞬变场曲线存在明显的拐点,其对应时间因围岩电阻率增大而延长;与无金属支护的瞬变场相比,拐点前瞬变场响应幅值受金属影响显著增大且无明显规律;拐点后瞬变场幅值有较大变化,但衰减趋势一致;耦合距对瞬变场响应的影响大,尤其是坑道掘进正前方观测点,其对耦合距的变化更为敏感;不同探测方位不同围岩电阻率及不同耦合距条件下获得的瞬变场曲线相关系数趋向于1,曲线之间具有对数平移特性。据此提出了瞬变场晚期数据平移校正方法,并针对坑道掘进前方低阻球状模型进行了数值验证,与校正前的数据对比表明,校正后的瞬变场数据对低阻体的判定精度更高,有效降低了耦合距对瞬变场观测的影响。现场试验进一步佐证了该方法的可靠性,可为坑道水害防治提供技术支撑。

     

    Abstract: Water damage is one of the major disasters in deep coal mining in China. As a powerful method of water damage detection, the roadway transient electromagnetic method (RTEM) has been widely used in major coal mining areas in China in recent years. However, due to the limitation of roadway space, an unequal coupling distance exists between the coil and the surrounding rock surface, resulting in differences in the RTEM field observed at different measuring points, which in turn affects the determination accuracy of the water abundance of the rock strata. Based on the numerical simulation, the effect of coupling distance on the observed RTEM field with and without metal support in the roadway is studied. The results show that:①When there is no metal support in the roadway, the effect of coupling distance on the RTEM field is mainly concentrated in the early stage. It decreases rapidly with the time delay of the RTEM field, and the effect on the measured RTEM field data can be ignored. ②When there is metal support in the roadway, there is an obvious inflection point in the RTEM field curve, and the corresponding time is prolonged due to the increase of the surrounding rock resistivity; Compared with the RTEM field without metal support, the RTEM field response amplitude before the inflection point is significantly increased by metal's influence, and there is no apparent decay law; After the inflection point, the RTEM field amplitude changes significantly, but the decay trend is consistent; The coupling distance greatly influences the observation of the RTEM field, especially at the observation point directly in front of the roadway excavation, which is more sensitive to the change in the coupling distance; The correlation coefficients of the RTEM field curves obtained under different detection directions, different resistivity of the surrounding rock and different coupling distances tend to be 1, with logarithmic translation between the curves. Accordingly, a translation correction method for the RTEM field data in the late stage is proposed, and numerical verifications are carried out for the model with the low-resistance spherical body in front of roadway excavation. The comparison with the data before the correction shows that the corrected RTEM field data can determine the low-resistance body more accurately, and the influence of the coupling distance on the RTEM field observation is effectively eliminated. The field test further supports the method's reliability, which can provide technical support for preventing and controlling water damage in the roadway.

     

/

返回文章
返回