高级检索

应力对含瓦斯煤解吸特征影响的试验研究

Study on influence of stress on desorption characteristics of coal containing gas

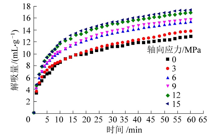
  • 摘要: 深部开采时地应力的升高和剧烈开采的扰动,容易在采掘工作面形成应力集中区,从而导致应力主导型的突出事故和冲击-瓦斯复合动力灾害发生。为了探索深部开采时应力对含瓦斯煤解吸及涌出特征的影响规律,提高矿井瓦斯灾害治理的精准性,以焦作矿区九里山矿无烟煤为研究对象,利用煤岩三轴渗流-吸附-解吸试验装置进行了不同应力状态下煤样的等温解吸试验和恒吸附压力下的应力解吸响应试验,分析了应力作用对煤的解吸涌出特征的影响规律。研究结果表明:应力直接影响含瓦斯煤的解吸能力,决定应力集中区煤层瓦斯的涌出特征;在吸附等量瓦斯气体的情况下,煤的瓦斯解吸累积量、解吸初始速率均随着应力增加逐渐增大,解吸速率衰减指数随应力增加变化不大但呈现逐渐减小趋势,应力作用促进了煤样的瓦斯解吸;通过恒吸附压力下煤样对不吸附性气体(He)和吸附性气体(CH4)应力解吸响应的对比试验,验证了应力作用会明显诱导煤样的解吸行为,导致相同条件下煤样的吸附能力降低;研究结果阐明了应力对含瓦斯煤解吸涌出特征的影响,揭示了应力对煤基质瓦斯解吸的诱导作用,对深部开采煤层瓦斯灾害的防治和煤层气的开采具有理论和工程实践意义。

     

    Abstract: The rise of in-situ stress and severe mining disturbances during deep mining can easily form stress concentration areas on the mining face,leading to the stress-dominant outburst accidents and shock-gas compound dynamic disasters. In order to improve the accuracy of gas disaster management,the coal sample of Jiulishan Mine in Jiaozuo was used as the research objective to explore the influence of stress on the desorption and emission characteristics of gas-containing coal during deep mining. The isothermal desorption and constant-pressure desorption experiments of loading coal samples were carried out by using a triaxial seepage-adsorption-desorption device. Then,the influence of stress on the desorption characteristics was analyzed. Results showed that,the gas emission in stress-dominant areas are controlled by the stress because the stress dominates the gas desorption capacity. The cumulative amount of gas desorption and the initial desorption rate gradually increase with the growing stress when they have the same quantity of gas adsorption,while the desorption rate attenuation index reduces slightly with the rising stress,showing that the stress effect promotes the gas desorption capacity the coal sample. Compared with the stress-response desorption capacity of He and CH4,the conclusion that the stress improves the gas desorption and reduce the adsorption capacity was validated. This work clarified the influence of stress on the desorption and emission characteristics of gas-containing coal,and revealed the inducing effect of stress on gas desorption in coal matrix,which is of a great significance to the prevention and control of gas disasters and coalbed methane in deep coal mining.

     

/

返回文章
返回