高级检索

大采高综采异常矿压影响因素及支架适应性研究

Study on factors affecting abnormal mine pressure of large mining height fully-mechanized mining and support adaptability

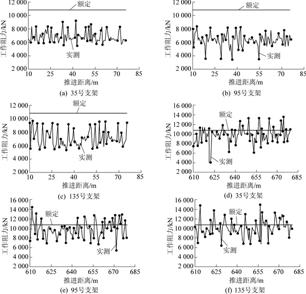
  • 摘要: 为确定神东矿区大采高综采矿压显现规律及支架适应性,通过支架工作阻力和宏观矿压显现现场实测,基于支架“支、护、采”3个主要作用,运用模糊数学方法通过隶属度的计算对支架适应性进行定量评价。结果表明:神东矿区大采高综采有2种不同矿压类型,补连塔煤矿和榆家梁煤矿周期来压步距分别为14.3、11.4 m,片帮冒顶一般小于100 mm,支架超限比例约1%,支架适应性定量计算为良;布尔台煤矿周期来压强度大(支架超限比例51.6%)、来压频率高(周期来压步距7.8 m)、片帮和冒顶范围大于1 000 mm,支架适应性定量评价为极差,必须将大采高采煤法更换为放顶煤开采。将支架适应性定量评价为极差,必须改变采煤方法的矿压定义为异常矿压。破碎顶板、开采布局、采空区“孤岛”煤柱和复杂地质构造是异常矿压的主要成因。

     

    Abstract: In order to determine law of large mining height and adaptability of support in Shendong Mining Area, the field measurement was carried out by the working resistance of support and macroscopic mine pressure. Based on three main functions of support, protection and mining, the fuzzy mathematics method was used to quantitatively evaluate the support adaptability. The results show that there are two different types of mining pressure in the large mining height of Shendong mining area. The pressure step distance of Bulianta coal mine and Yujialiang Coal Mine is 14.3 m and 11.4 m respectively, and the rib spalling distance is generally less than 100 mm. The support overrun ratio is about 1%, the quantitative calculation of the adaptability of the support is good; the periodical pressure of the Bultai coal mine is high (the overrun ratio is 51.6%), the frequency of the pressure is high (the periodical roof weighting distance is 7.8 m), and the range of the rib spalling and the roof caving is greater than 1 000 mm, the quantitative evaluation of the adaptability of the support is extremely poor, and so the large mining height coal mining method must be replaced with the top coal mining. Quantitative evaluation of the adaptability of the support is extremely poor, and the mine pressure must be changed as abnormal mine pressure. Broken roof, mining layout, “isolated island” coal pillars and complex geological structures in the gob are the main causes of abnormal mine pressure.

     

/

返回文章
返回