高级检索

煤堆粒径对煤堆自燃风速的影响

Effect of coal pile particle size on the spontaneous combustion velocity of coal pile

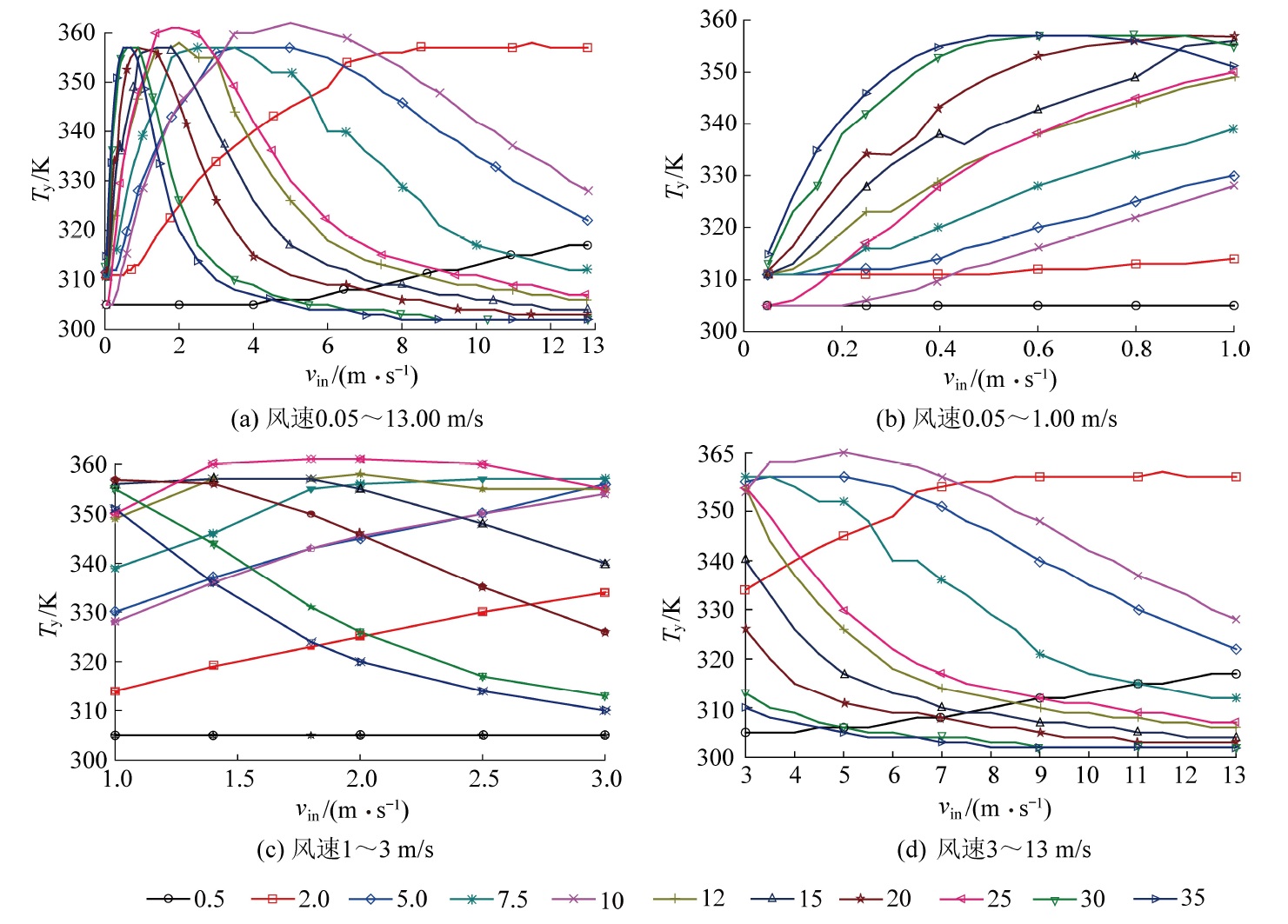
  • 摘要: 针对煤矿露天煤堆自热-自燃问题,为研究煤堆粒径对煤堆自燃的影响,运用多孔介质、传热传质、流体力学等理论,以某煤堆为原型建立了煤堆的自热-自燃二维模型。利用COMSOL软件对不同风速(0.05~13.00 m/s)条件下不同粒径(0.5~35.0 mm)煤堆的内部温度、氧化耗氧速率及漏风速度规律进行模拟分析,得到了不同粒径煤堆在不同风速下最高温度的变化曲线,对不同粒径下煤堆的自燃风速范围进行了划分,并得到了不同粒径下煤堆的最小、最大、最易自燃风速随煤堆粒径的变化规律。研究结果表明:除粒径0.5、2.0 mm的煤堆外,其他粒径煤堆内部最高温度均随风速增加呈现“快速增加—达到最大值—快速下降—稳定在一个相对较低值”的变化规律,区别在于随煤堆粒径的不同,其温升、温降的速率表现不同,较高风速条件下所能达到的稳定温度也不同。当自燃风速低于1 m/s时,在相同风速条件下煤堆平均粒径越小煤堆内部最高温度越低;当自燃风速大于1 m/s时,在相同风速条件下平均粒径小于10 mm的煤堆温度更高。当煤堆平均粒径<0.5 mm时,一般不会发生自燃;当煤堆粒径≥1 mm时,在不同风速范围内,均存在着不同程度的自燃现象。当煤堆平均粒径≤10 mm,在自燃风速≤1 m/s时,粒径越小,煤堆最高温度越低;当自燃风速>1 m/s时,粒径越小,煤堆的温度越高。

     

    Abstract: Aiming at the problem of self-heating and spontaneous combustion problem for coal mine open-pit coal piles, in order to study the influence of coal particle size on the spontaneous combustion of coal,the theory of porous media, heat transfer, fluid mechanics and other theories was usedto establish a coal pile’s self-ignition based on a coal pile as a prototype, a two-dimensional model of self-heating and spontaneous combustion of the coal pile was established. Using COMSOL software to simulate and analyze the internal temperature, oxidation oxygen consumption rate and air leakage rate law of coal piles with different particle sizes (0.5~35.0 mm) under different wind speeds (0.05~13.00 m/s), according to the simulation results, the change curve of the maximum temperature of coal piles of different particle sizes under different wind speeds was obtained.Then the range of spontaneous combustion wind speed of coal pile with different particle size were divided, and the minimum, maximum, and maximum temperature of coal piles of different particle sizes were obtained. The results show that in addition to the particle size of 0.5 mm and 2.0 mm of coal, the maximum temperature inside the coal piles with other particle sizes shows a “rapid increase-maximum value-rapid decline-stable at a relatively low value” as the wind speed increases.The difference is that with the particle size of the coal pile, the rate of temperature rise and temperature drop is different, and the stable temperature that can be reached under higher wind speed conditions is also different.When the natural wind speed is less than 1 m/s, the smaller the average particle size of the coal pile is under the same wind speed, the lower the maximum temperature inside the coal pile.When the natural wind speed is greater than 1 m/s,the average particle size is smaller than under the same wind speed. The 10 mm coal pile has a higher temperature. When the average particle size is 0.5 mm, spontaneous combustion generally does not occur; when a pile of coal particle size≥1 mm, there were different degree of spontaneous combustion in different wind speed ranges. When the average particle size of the coal pile≤10 mm and when the spontaneous combustionJP3 wind speed≤1 m/s, the smaller the particle size, the lower the maximum temperature of the coal pile;when the natural wind speed>1 m/s, the smaller the particle size,JP the higher the temperature of the coal pile.

     

/

返回文章
返回