高级检索

基于优化时间函数的走向主断面动态预计模型与算法

Dynamic prediction model and algorithm of strike main section based on optimized time function

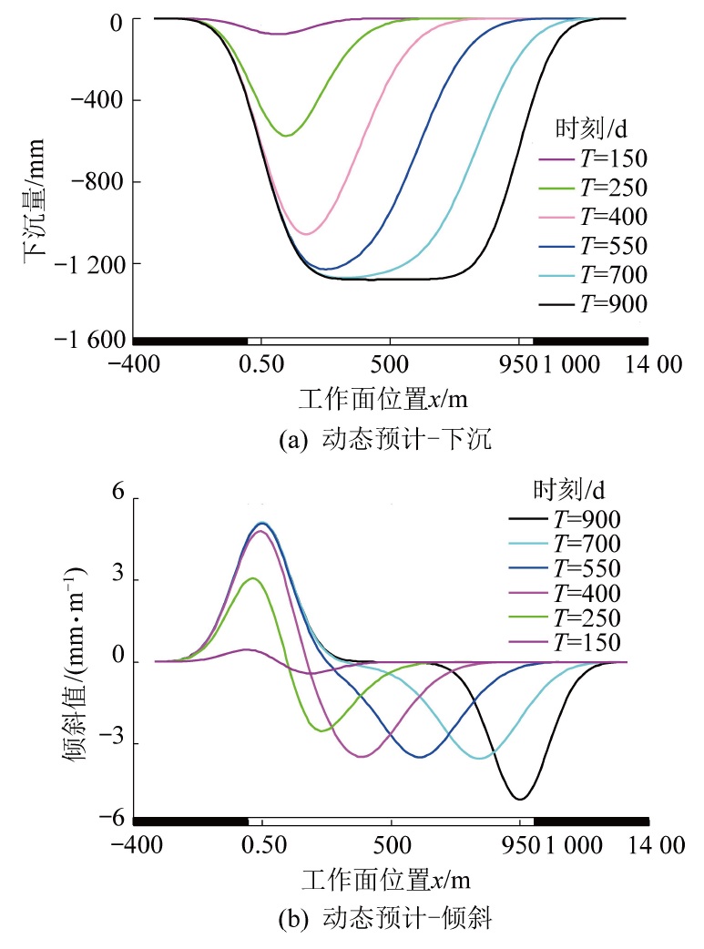
  • 摘要: 针对现有开采沉陷动态预计精度较低的问题,为了提高预计精度,使动态预计成果能够真正在指导矿区生产及采空区土地利用中发挥重要作用,笔者提出以静态预计概率积分模型为基础,采用优化后的分段Knothe时间函数,构建了走向主断面动态沉陷预计理论模型并设计了相应的计算机编程算法,该模型时间函数各参数意义明确,求取方便,不需借助其他监测数据。具体包括:研究确定了在任意给定的预计时刻各动态开采单元时间函数值的计算方法;结合各单元时间函数值,推导了不同开采速度下地表动态移动变形计算公式;给出了时间函数及地表移动的计算步骤和编程算法。采用笔者提出的模型及算法编制了预计程序,并将其应用到预计实践中。结果表明:当给定的预计时间足够长,动态下沉预计与静态预计结果相一致,并且在拐点偏移距处所对应的倾斜值达到了理论最大值,这与理论揭示完全吻合,这表明,采用该模型同样可以进行地表移动稳定后的静态预计,由于算法的差异,相比而言则需要花费更多的时间,但实现了动静态预计一体化的计算设想;另外,通过对官地煤矿29401工作面开采进行动态预计,并抽样对比、统计预计结果和实测数据,得出其走向主断面上点的动态预计相对精度在6%以内,证明了模型和算法的可靠性。

     

    Abstract: In view of the existing low accuracy of dynamic prediction in mining subsidence and in order to improve the prediction accuracy and make the dynamic prediction results play an important role in guiding the production of the mining area and the land use of the goaf,the theoretical model and the corresponding programming algorithm of dynamic prediction is developed for the strike main section,both of which are based on the the probability integral method and optimized segmented Knothe time function. The parameters of the time function of the model have clear meaning and are easy to be obtained without any other monitoring data.Specifically,first,the calculation method of the time function value of each dynamic mining unit is studied and determined at the predicted time; second,the calculation model of the surface dynamic movement and deformation is derived based on the time function value of each unit under different mining speeds ; third,the calculation steps and programming algorithm of the time function and the surface movement are given according to the model.Using the model and algorithm in this paper,the prediction program is compiled and applied to the prediction practice,the prediction practice shows that when the given prediction time is long enough,the prediction of dynamic subsidence is consistent with that of static prediction,and at the inflection point,the corresponding tilt value is maximized and it is completely consistent with the measured results. That is to say,the model can also be used for static prediction after the surface movement is stable. Due to the difference of algorithm,it will take more time than before,but it realizes the calculation assumption of dynamic and static prediction integration. In addition,through the dynamic prediction of mining in No.29401 working face of Guandi mine,and sampling comparison,statistical prediction results and measured data,the relative accuracy of the dynamic prediction of the points on the strike main section is within 6%,which proves the reliability of the model and algorithm.

     

/

返回文章
返回