高级检索

接种AMF对西部煤矿区紫穗槐根系分布和水分利用效率的影响

Effect of AMF inoculation on root distribution and water use efficiency of Amorpha fruticosa L in western coal mining area

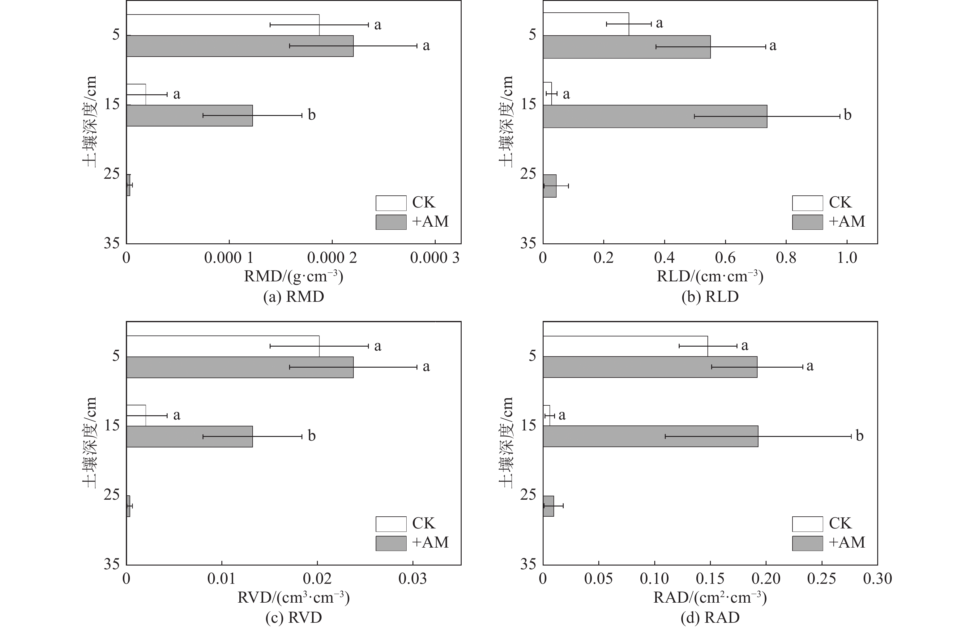
  • 摘要: 西部干旱半干旱煤矿区井工开采导致了大面积采煤沉陷区的出现,矿区生态复垦难度较大,利用菌根微生物技术进行生态修复已经成为当前的研究热点。为探究接种丛枝菌根真菌(Arbuscular mycorrhizal fungi,AMF)对紫穗槐根系分布特征和水分利用效率(Water Use Efficiency,WUE)的影响,研究通过室内土柱试验,设置了对照不种植紫穗槐幼苗(CK1)、种植紫穗槐幼苗(CK)、种植紫穗槐幼苗并接种AMF(+AM)3组试验处理,并对植物生长指标和土壤水分等进行了测定。结果表明:①接种AMF有效促进了紫穗槐的生长,其株高、SPAD(Soil and plant analyzer development)值、地上生物量和地下生物量相较CK处理分别提升38.5%、27.5%、11.1%、69.4%;②接菌改变了紫穗槐的根系分布,使总根系长度和根尖数分别增加329.0%和586.1%,平均根直径显著减小22.9%,2 mm以下细根根长比例提升370.1%。同时,接菌影响了土壤水分分布和紫穗槐的水分利用模式,使0~20 cm的土壤含水率较CK处理分别提高8.9%、7.8%,20~50 cm的含水率又分别降低16.8%、4.0%、11.6%;接菌增加了紫穗槐对表层5 cm以下土壤的水分利用比例,在5~30、30~50 cm分别提升15.4%、9.9%;③接菌使紫穗槐植株的WUE增加了27.5%,主成分分析结果表明,紫穗槐根系中的细根长(0.50~1.00 mm)和根尖数是干旱胁迫下接种 AMF对土壤水分高效利用的关键根系特征。综上,接菌可对紫穗槐幼苗有明显的促生作用,通过对紫穗槐细根根系特征参数的显著改善,促进了对土壤水分的吸收及再分配能力,进而使紫穗槐植株表现出较高的WUE,该研究结果可为西部采煤沉陷区生物联合修复技术提供科学指导和技术支持。

     

    Abstract: Coal mining in arid and semi-arid areas has led to the emergence of large areas of coal mining subsiding areas. The ecological reclamation of mining areas is hard, and the mycorrhizal microbial technology for ecological restoration has become a current research hotspot. To investigate the effects of arbuscular mycorrhizal fungi (AMF) inoculation on the root distribution characteristics and water use efficiency (WUE) of Amorpha fruticosa L. Three experimental treatments were set up: control without planting A fruticosa L seedlings (CK1), planting A fruticosa L seedlings (CK), planting A fruticosa L seedlings and inoculated with AMF (+AM). The plant growth indicators and soil moisture were measured, and the results showed that: ① AMF inoculation effectively promoted the growth of A fruticosa L. Compared with CK treatment, the plant height, SPAD value, aboveground biomass and aboveground biomass increased by 38.5%, 27.5%, 11.1% and 69.4%, respectively; ② Inoculation changed the root distribution of A fruticosa L and increased the total root length and the number of root tips by 329.0% and 586.1%, respectively. Besides, reduced the average root diameter by 22.9%, and increased the proportion of fine roots below 2 mm by 370.1%. At the same time, inoculation affected soil water distribution and water use pattern of A fruticosa L. Compared with CK treatment, the soil water content of 0-20 cm increased by 8.9% and 7.8%, and the soil water content of 20−50 cm decreased by 16.8%, 4.0% and 11.6%, respectively. The water use ratio of A fruticosa L to soil below 5 cm was increased by 15.4% and 9.9% at 5-30 cm and 30-50 cm, respectively; ③ Inoculation increased the WUE of A fruticosa L by 27.5%. The results of principal component analysis showed that fine root length (0.5−1.00 mm) and root tip number in the roots of A fruticosa L were the key root characteristics for the efficient use of soil water by AMF inoculation under drought stress. In conclusion, inoculation with mycorrhizal fungi can significantly promote the growth of A fruticosa L seedlings, promote the absorption and redistribution ability of soil water through the significant improvement of the fine root characteristic parameters of A fruticosa L, and then make A fruticosa L plants show a high WUE. The results of this study can provide a scientific guidance and technical support for the biological combined remediation technology in the western coal mining settlement area.

     

/

返回文章
返回