高级检索

原生层理结构影响下煤岩组合体超声波及CT扫描分析

Ultrasonic and CT scanning analysis of coal-rock mass under the primary bedding structure

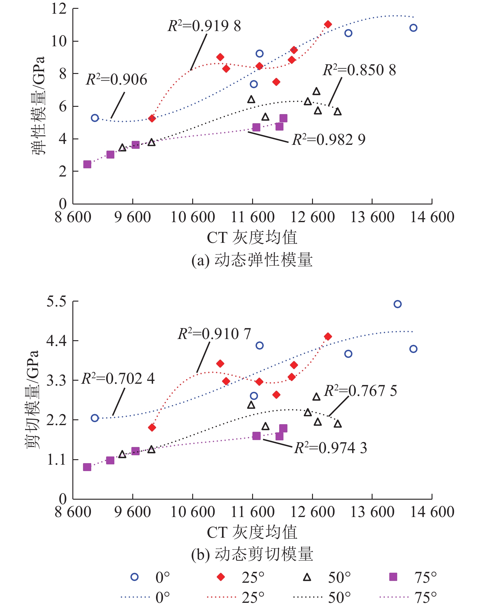
  • 摘要: 为研究原生层理结构对煤岩组合体波速及力学性质的影响,并提升室内获取煤岩波速及力学参数的精确性、快速性及便捷性,在室内对不同原生层理倾角的煤岩组合体开展了多层位多方位的超声波及CT扫描测试。基于超声波测试数据,获取了原生层理结构影响下煤岩组合体不同层位的波速及波速比变化特征;结合CT扫描及三维重构技术,应用煤岩灰度分布频数数据,提出了不同层位CT灰度均值的计算方法,获得了不同原生层理倾角下煤岩组合体不同层位灰度及煤岩含量的变化规律,建立了煤岩CT灰度均值与波速、力学参数的关系;构建了考虑层理倾角与煤岩含量效应的煤岩组合体纵波波速计算模型,并应用测试数据进行了对比验证。结果表明:①含原生层理的煤岩组合体波速及波速比与层理倾角线性相关,随层理倾角增加,组合体的纵波波速近似线性减小,而波速比的分布范围增大;②不同层理倾角下组合体的CT灰度均值与波速线性相关,随CT灰度均值增高,煤岩组合体波速线性增加;③煤岩组合体的密度随CT灰度均值增加线性增高,其动态弹性模量及剪切模量则与CT灰度均值均呈三阶多项式关系,并随CT灰度均值增高趋于增大;④层理倾角与煤岩含量相比,组合体波速对煤岩含量的敏感性更高,煤岩含量相近则波速受层理倾角响变化最大。

     

    Abstract: In order to study the influence of the primary bedding structure on wave velocity and mechanical properties of coal-rock mass, multilayer and multi-directional ultrasonic and CT scanning tests were carried out in laboratory. It also aims to improve the accuracy, rapidity and convenience of obtaining the wave velocity and mechanical parameters of coal-rock mass in laboratory. Based on the ultrasonic test, the characteristics of wave velocity and wave velocity ratio at different layers of coal-rock mass under the primary bedding dip angle were obtained. Combined with CT scanning and 3D reconstruction technology, the calculation method of CT gray mean value in different layers was proposed by using the data of the gray frequency of coal and rock. And the variation law of gray value and coal and rock content of coal-rock mass in different layers under different primary bedding dip angle was obtained. Meanwhile, the relationships between CT gray mean value and wave velocity, mechanical parameters of coal-rock mass were established. Considering the effect of bedding dip angle and the content of coal and rock, the calculation model of longitudinal wave velocity of coal-rock mass was constructed. Then the correctness of the model is verified by comparing the test data. The results show that: ① the wave velocity and wave velocity ratio of coal-rock mass with primary bedding are linearly related to bedding dip angle; with the increase of bedding dip angle, the longitudinal wave velocity of coal-rock mass decreases linearly, while the distribution range of wave velocity ratio expands; ② the mean wave velocity of CT is linearly correlated under different bedding dip angles, and the wave velocity of coal-rock mass increases linearly with the increases of CT gray mean value; ③ the density of coal-rock mass increases linearly with the increase of CT gray mean value, the dynamic elastic modulus and shear modulus of coal-rock mass have third order polynomial relationships with the mean value of CT gray level, and they tend to increase with the increase of the mean value of CT gray level; ④ compared with the bedding dip angle, the wave velocity of coal-rock mass is more sensitive to the coal and rock content, and the wave velocity changes largest during the content of coal and rock similar.

     

/

返回文章
返回